The Spatial Hydrodynamic Attractor: Resurgence of the Gradient Expansion

Far-from-equilibrium kinetic systems collapse onto a hydrodynamic attractor, traditionally approximated by a gradient expansion. While temporal gradient series are non-Borel summable and require transseries completions, the analytic structure of the …

Authors: Mahdi Kooshkbaghi

The Spatial Hydrodynamic Attractor: Resurgence of the Gradient Expansion
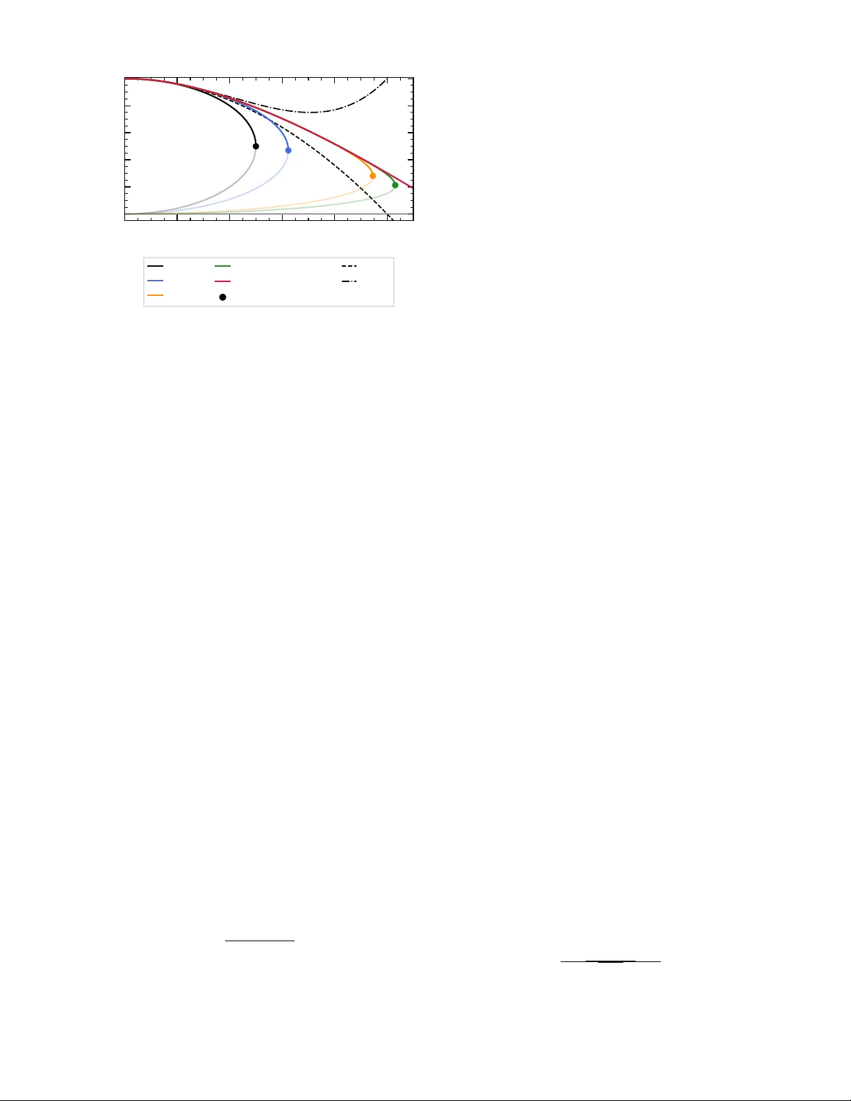
The Spatial Hydro dynamic A ttractor: Resurgence of the Gradien t Expansion Mahdi Ko oshkbaghi ∗ Indep endent R ese ar cher, Princ eton, New Jersey 08540, USA F ar-from-equilibrium kinetic systems collapse on to a hydrodynamic attractor, traditionally ap- pro ximated b y a gradien t expansion. While temp oral gradient series are non-Borel summable and require transseries completions, the analytic structure of the spatial expansion has remained elusive. Here, we derive exact closed-form Chapman–Enskog co efficien ts at all orders via Lagrange inv ersion and pro ve that the non-relativistic spatial gradient series, though factorially divergen t, is strictly Borel summable. F urthermore, w e show that this div ergence originates from unbounded Galilean v elo cities; enforcing relativistic causality yields a conv ergent spatial hydrodynamic expansion with finite radius. Intr o duction.— The classical treatmen t of non- equilibrium systems in kinetic theory relies on a system- atic gradien t expansion of the distribution function, trun- cated at finite order to yield macroscopic fluid dynamics. The v alidity of this expansion is controlled b y the Knud- sen num b er, the ratio of microscopic kinetic scales to the macroscopic scales o f the coarse-grained hydrodynamic description. In relativistic systems, gradients of macro- scopic fields normalized by the local temp erature play an analogous role. Ho wev er, it is w ell established that the resulting gradien t expansion is purely asymptotic and di- v erges factorially [1]. Despite this formal div ergence, n umerical [2] and exp erimen tal [3] evidence has sho wn that far-from- equilibrium systems can still b e quantitativ ely describ ed b y hydrodynamics, suggesting the existence of a hydro- dynamic attractor. Therefore, the divergen t nature of the gradient expansion do es not rule out the existence of suc h a stable manifold. This phenomenon was first explored for temp or al gra- dien t expansions b y Heller and Spali´ nski [4]. They demonstrated that for the highly symmetric, longitu- dinally expanding quark-gluon plasma (Bjork en flo w) within M ¨ uller-Israel-Stew art framework, the fluid dy- namics reduce to a set of ordinary differen tial equa- tions. They show ed that despite the factorial divergence of the hydrodynamic series at large orders, the attrac- tor rigorously exists. Its exact reconstruction, requires generalized Borel resummation; the series is non-Borel summable along the p ositiv e real axis due to singularities corresp onding to the deca y of non-hydrodynamic mo des, necessitating a full transseries completion. This deca ying of non-hydrodynamic mo des (attrac- tor paradigm) w as subsequently generalized b y Ro- matsc hke [5], who demonstrated that conformal Bjorken flo w across three distinct microscopic theories: a v arian t of second-order BRSSS h ydro dynamics [6], Boltzmann theory , and strongly coupled N = 4 sup ersymmetric Y ang-Mills (via AdS/CFT), univ ersally collapses onto a h ydro dynamic attractor. These foundational studies fo cused exclusively on the temp or al (longitudinal) gradient expansion, establishing that its divergence universally requires generalized Borel resummation. Unlik e temp oral evolution, sp atial gra- dien ts trigger short-w av elength ultra violet pathologies, suc h as the Burnett instabilit y; the Borel summabilit y and resurgen t structure of the spatial gradien t series has not b een systematically studied. In this letter, we sho w that for non-relativistic Boltz- mann kinetic theory , the spatial gradient expansion is factorially divergen t but strictly Borel summable, un- am biguously reconstructing the spatial attractor; more- o ver, once relativistic causality is imposed on the v elocity space, the divergence is cured entirely , yielding a strictly con vergen t series with a finite radius. Sp atial A ttr actor of the Kinetic Equation.— Start- ing from the one-dimensional kinetic Bhatnagar-Gross- Kro ok (BGK) equation [7] and setting the particle mass m , thermal energy k B T , and relaxation time τ to unit y , w e write the non-dimensionalized kinetic equation for the distribution function f ( x, v , t ) as ∂ t f = − v ∂ x f − ( f − f eq ) , (1) where the lo cal equilibrium is the Maxwellian f eq = n ( x, t ) (2 π ) − 1 / 2 e − v 2 / 2 , and n ( x, t ) = R ∞ −∞ f dv is the lo- cally conserv ed particle density . Using the velocity mo- men ts of the distribution function, M l ( x, t ) = Z ∞ −∞ v l f dv, l = 0 , 1 , 2 , . . . , in (1) yields an infinite, unclosed hierarc hy of momen t equations. The equilibrium moments take the Gaussian form, M eq l ( x, t ) = ( n ( x, t )( l − 1)!! l even , 0 l o dd . F ollowing the mac hinery t ypically used in the metho d of inv arian t manifolds [8], the infinite hierarch y is com- pactly enco ded in the generating function Z ( λ, x, t ) = R ∞ −∞ e − iλv f dv . Applying the spatial F ourier transform to the ev en (real) and o dd (imaginary) parts of Z parametrizes the hydrodynamic manifold so that all mo- men ts depend on the F ourier-transformed conserv ed den- 2 sit y ˆ n , ∂ t ˆ Z re = ik ∂ λ ˆ Z im − ˆ Z re + ˆ n e − λ 2 / 2 , (2) ∂ t ˆ Z im = − ik ∂ λ ˆ Z re − ˆ Z im . (3) In F ourier space this means ˆ Z re = ˆ Θ re ( λ, k 2 ) ˆ n and ˆ Z im = ik ˆ Θ im ( λ, k 2 ) ˆ n , where the factor ik in ˆ Z im reflects the o dd parit y of the flux. The cen tral requiremen t is the dynamic invarianc e c ondition : the macroscopic and microscopic time deriv ativ es m ust agree exactly on this manifold [9, 10], bridging the kinetic and hydrodynamic descriptions in the spirit of Hilb ert’s sixth problem. W e now briefly outline the approac h developed in Ref. [11]. Imp osing the in v ariance condition yields a s ys- tem of t wo first-order ODEs in λ for ˆ Θ re,im . Eliminating ˆ Θ re and introducing the frequency function ˆ Ω( λ, k 2 ) via ∂ λ ˆ Θ im = − k − 2 ˆ Ω( λ, k 2 ) e − λ 2 / 2 , one obtains a single exact ODE for ˆ Ω: ( ˆ ω + 1) 2 ˆ Ω + k 2 (1 − λ 2 )( ˆ Ω + 1) = k 2  ∂ 2 λ ˆ Ω − 2 λ∂ λ ˆ Ω  , (4) sub ject to the initial conditions ˆ Ω(0 , k 2 ) = ˆ ω ( k ) , ∂ λ ˆ Ω    λ =0 = 0 . (5) Equation (4) is the exact, non-p erturbativ e hydrody- namic equation for this system; how ev er, the initial con- ditions (5) do not fix ˆ ω ( k ) uniquely , and in prior w ork the physical branch w as isolated numerically b y an it- erativ e “pullout” pro cedure [11]. Here, we sho w that this phase-space dimensionality reduction can b e carried out entirely algebraically . Since the frequency function is even and analytic in λ , we can expand it in a p ow er series ˆ Ω( λ, k 2 ) = ˆ ω + ∞ X n =1 λ 2 n ˆ ω 2 n ( ˆ ω, k 2 ) (2 n )! k 2 n , (6) Substituting Eq. (6) into Eq. (4), one finds that the co ef- ficien ts factorize as ˆ ω 2 n = ( ˆ ω + 1) P n ( ˆ ω , k 2 ), where P n is a family of sp ectral p olynomials satisfying the three-term recurrence ( n ≥ 2): P n =  ( ˆ ω + 1) 2 + (4 n − 3) k 2  P n − 1 − k 4 (2 n − 2)(2 n − 3) P n − 2 , with P 0 = 1 and P 1 = ˆ ω ( ˆ ω + 1) + k 2 . The three-term structure is a direct consequence of the Hermite-t yp e dif- feren tial op erator ∂ 2 λ − 2 λ∂ λ in Eq. (4). The ro ot ˆ ω = − 1 is the kinetic eigenv alue of the BGK equation (1), which trivially defines an in v ariant manifold at ev ery trunca- tion order. T runcating the hierarch y at order n by set- ting ˆ ω 2 n = 0 yields the algebraic equation P n ( ˆ ω , k 2 ) = 0. Here, we explore this p olynomial systematically via n u- merical contin uation using Auto-07p [12] to isolate the ph ysical ro ot ˆ ω ( k ) that defines the hydrodynamic attrac- tor. As sho wn in Fig. 2, the sp ectral p olynomial branc hes P n = 0 conv erge to the non-p erturbativ e attractor with increasing truncation order; each branch terminates at a fold bifurcation b eyond a critical wa ven um b er k c ( n ) that gro ws with n . Exact Chapman-Ensko g Co efficients.— The differen- tial op erator L = ∂ 2 λ − 2 λ ∂ λ on the right-hand side of Eq. (4) satisfies the conjugation identit y L [ e λ 2 / 2 Φ] = e λ 2 / 2 [Φ ′′ + (1 − λ 2 )Φ]. Since the factor (1 − λ 2 ) matches the p otential m ultiplying ( ˆ Ω + 1), we introduce the sub- stitution ˆ Ω( λ ) = ( ˆ ω + 1) e λ 2 / 2 Φ( λ ) − 1 whic h eliminates all λ -dep endent co efficients, reducing Eq. (4) to the constant-coefficient ODE Φ ′′ ( λ ) − A Φ( λ ) = − A ˆ ω + 1 e − λ 2 / 2 , A = ( ˆ ω + 1) 2 k 2 , (7) with Φ(0) = 1 and Φ ′ (0) = 0. The homogeneous solutions of Eq. (7) are e ± √ A λ . Since f ( x, v , t ) is integrable in v , the Riemann–Leb esgue lemma requires Z ( λ ) to remain b ounded as | λ | → ∞ ; ˆ Ω ma y grow at most as e λ 2 / 2 , and consequently Φ( λ ) m ust b e b ounded. This rules out both homogeneous solutions. The unique b ounded particular solution is obtained b y conv olving the source with the free-space Green’s function G ( λ, s ) = − 1 2 √ A e − √ A | λ − s | of the operator d 2 /dλ 2 − A : Φ( λ ) = √ A 2( ˆ ω + 1) Z ∞ −∞ e − √ A | λ − s | e − s 2 / 2 ds. (8) Ev aluating Eq. (8) at λ = 0 and imp osing Φ(0) = 1, the t wo-sided exp onential kernel is recast as a velocity-space resolv ent via its F ourier representation √ A 2 e − √ A | s | = 1 2 π R A A + v 2 e iv s dv , follow ed by Gaussian s -in tegration. This yields the exact self-consistency condition ˆ ω + 1 = Z ∞ −∞ A A + v 2 e − v 2 / 2 √ 2 π dv , F or small k (equiv alen tly large A ), the resol- v ent is expanded as a geometric series, A A + v 2 = P ∞ m =0 ( − 1) m ( v 2 / A ) m , and integrated term by term using the Gaussian moments ⟨ v 2 m ⟩ = (2 m − 1)!! : ˆ ω = ∞ X m =1 ( − 1) m (2 m − 1)!! k 2 m (1+ ˆ ω ) 2 m = ∞ X m =1 ( − 1) m (2 m − 1)!! x m := F ( x ) , (9) where x = k 2 (1+ ˆ ω ) − 2 = A − 1 . Since x itself dep ends on ˆ ω , Eq. (9) is an implicit relation for ˆ ω ( k ). The Chapman– Ensk og (CE) co efficients ˆ ω = P ∞ n =1 a 2 n k 2 n are extracted 3 b y Lagrange inv ersion: a 2 n = 1 n [ x n − 1 ]  F ′ ( x ) (1+ F ( x )) − 2 n  , (10) where [ x m ] g ( x ) denotes the co efficien t of x m in the p o wer series of g (see Chap. 5 of Ref. [13] for details on co- efficien t extraction notation and Lagrange in version of p o w er series). 2 4 6 8 10 12 14 Order n 10 2 10 5 10 8 10 11 10 14 | a 2 n | | a 2 n | r n 0 10 20 30 r n 2 n FIG. 1. Absolute v alues of the exact CE co efficien ts | a 2 n | from Eq. (10) (blac k circles, left axis) and ratios r n = | a 2( n +1) /a 2 n | (blue squares, right axis). The conv ex shape of | a 2 n | on a log scale signals factorial div ergence, while the asymptotically lin- ear growth r n ∼ 2 n implies zero radius of conv ergence. This factorial scaling is the spatial-gradient analog of the temp o- ral divergence figure in Ref. [4]; crucially , the spatial series is strictly Borel summable. Equation (10) provides, to our knowledge, no vel closed- form expressions for the exact CE transport co efficien ts at all orders, determined en tirely by the equilibrium v e- lo cit y moments (2 m − 1)!!. The explicit ev aluation of the first few co efficien ts yields a 2 = − 1 , a 4 = 1 , a 6 = − 4 , a 8 = 27 , a 10 = − 248 , a 12 = 2830 , a 14 = − 38232, matc hing the sequence rep orted in Ref. [11]. As shown in Fig. 1, the co efficien ts gro w factorially and the ratio r n = | a 2( n +1) /a 2 n | increases roughly linearly; we later sho w that r n ∼ 2 n , implying zero radius of conv ergence for the spatial CE series. R esur genc e and Bor el Summability.— The factorial div ergence of the CE co efficients originates from the na- ture of the series F ( x ) = P ∞ m =1 ( − 1) m (2 m − 1)!! x m . The classical approach to analyzing F is through its Borel transform, B [ F ]. Using the iden tities (2 m − 1)!! /m ! =  2 m m  / 2 m and P ∞ m =0  2 m m  y m = (1 − 4 y ) − 1 / 2 , we obtain B [ F ]( σ ) = ∞ X m =1 ( − 1) m (2 m − 1)!! m ! σ m = 1 √ 1 + 2 σ − 1 . T o understand the analytic structure of B [ F ], we note that F is recov ered from its Borel transform via the direc- tional Laplace transform: F ( x ) = R + ∞ 0 e − σ /x B [ F ]( σ ) dσ . Since the Borel transform has a unique singularit y on the negativ e real axis at σ ⋆ = − 1 / 2, the Laplace con- tour along the p ositive real axis is entirely unobstructed. Consequen tly , the CE series is strictly Bor el summable (exhibiting no Stokes phenomenon), and the Borel sum unam biguously reconstructs the exact disp ersion relation ˆ ω ( k ) without the need for lateral contour deformation or transseries completion. F urthermore, the large-order growth of the CE coeffi- cien ts follo ws the asymptotic b eha vior a 2 n ∼ ( − 1) n n ! 2 n , rigorously explaining the ratio r n ∼ 2 n observed in Fig. 1. This strict summability stands in con trast to the tem- p or al gradient expansion of Bjorken flo w. In Ref. [4] the Borel transform of the M ¨ uller-Israel-Stew art tem- p oral gradient series p ossesses its leading singularity at ξ 0 = 3 / (2 C τ Π ) > 0 on the p ositive real axis, corresp ond- ing to the deca y rate of the non-h ydro dynamic mode. In that case, the Laplace contour is obstructed, render- ing the series non-Borel summable and requiring a full transseries completion. In the spatial case, the divergence originates from an ultra violet microscopic effect, namely the unbounded ve- lo cit y tail of the equilibrium distribution. This is a fundamen tally differen t mechanism from the temp oral case, where the div ergence is due to a macroscopic non- h ydro dynamic mo de. This difference explains b oth the negativ e sign, as the alternating CE coefficients reflect the comp etition b et ween even and o dd velocity moments, and the strict Borel summability . The Burnett instability is therefore not a fundamental pathology but a truncation artifact of this alternating div ergent series, fully resolv ed b y Borel resummation. Figure 2 confirms this: the Borel–P ad´ e resummation of the CE series exactly reconstructs the non-p erturbative attractor, while the sp ectral p olynomial branches P n = 0 con v erge slo wly to the hydrodynamic manifold with increasing truncation order. By contrast, the first-order CE truncation (classical diffusion), CE 2 : ˆ ω = − k 2 , and the second-order Burnett-t yp e appro ximation, CE 4 : ˆ ω = − k 2 + k 4 , diverge at mo derate k . R elativistic BGK.— Since the factorial divergence originates from the unbounded velocity tail, it is tempt- ing to consider a relativistic kinetic equation, imposing relativistic causalit y , resulting in the v elo city phase space b eing b ounded by the sp eed of light. A simple case of the relativistic BGK is considered: the Anderson–Witting model [14] with the relaxation rate − p µ u µ /τ reads, p µ ∂ µ f = − p µ u µ τ ( f − f eq ) , (11) Here, we consider the fluid rest frame, u µ = (1 , 0 , 0 , 0), p 0 = E = p p 2 + m 2 0 is the particle energy , p 1 = p is the spatial momentum, and m 0 is the rest mass. W e set the relaxation time τ = 1 and use the streaming parti- cle velocity v = p/E to recast the Eq. (11) in the form ∂ t f + v ∂ x f = − ( f − f eq ). This form is mathematically 4 0 . 0 0 . 2 0 . 4 0 . 6 0 . 8 1 . 0 k − 1 . 0 − 0 . 8 − 0 . 6 − 0 . 4 − 0 . 2 0 . 0 ˆ ω P 1 = 0 P 2 = 0 P 20 = 0 P 50 = 0 Borel–Pad ´ e [14/14] critical k CE (2) CE (4) FIG. 2. Hydro dynamic dispersion relation ˆ ω ( k ). Solid colored curv es show the sp ectral p olynomial branches P n ( ˆ ω , k 2 ) = 0 for n = 1 , 2 , 20 , 50, conv erging to the non-p erturbative at- tractor with increasing truncation order; faded segments b ey ond the critical wa ven umber k c (filled circles) indicate the unph ysical region past the fold bifurcation, with k c ≈ 0 . 47 , 0 . 58 , 0 . 94 , 1 . 03 for n = 1 , 2 , 20 , 50 resp ectiv ely . The di- agonal Pad ´ e approximan t of order [14 / 14], constructed from the first 30 Borel-transformed CE co efficients (red), exactly reconstructs the attractor. Finite-order CE truncations CE (2) (dashed) and CE (4) (dash-dotted) are b oth divergen t. iden tical to the non-relativistic BGK equation (1). Ho w- ev er, the v elo city phase space is now b ounded b y the sp eed of light, v ∈ [ − 1 , 1]. The velocity moments are now also b ounded as M l ( x, t ) = Z 1 − 1 v l f ( x, v , t ) dv , l = 0 , 1 , 2 , . . . The equilibrium distribution is f eq = n ( x, t ) W ( v ), where W ( v ) is any normalized, symmetric weigh t function on [ − 1 , 1] (e.g., the Maxwell–J¨ uttner distribution), pro vides the equilibrium moments M eq l ( x, t ) = n ( x, t ) µ l , where µ l = Z 1 − 1 v l W ( v ) dv . By symmetry µ 2 m +1 = 0 and normalization fixes µ 0 = 1. The evolution of the generating function ˆ Z tak es a sim- ilar form to Eqs. (2)–(3) with one c hange: the e − λ 2 / 2 term is now ˆ W ( λ ) = R 1 − 1 e − iλv W ( v ) dv . Imp osing the in v ariance condition on the F ourier-transformed kinetic equation, solving for ˆ f , and in tegrating o ver v ∈ [ − 1 , 1] yields the self-consistency condition 1 = Z 1 − 1 W ( v ) 1 + ˆ ω + ik v dv . Expanding the in tegrand as a geometric series in k v / (1 + ˆ ω ) and defining x = k 2 / (1 + ˆ ω ) 2 giv es the implicit relation ˆ ω = F rel ( x ), where F rel ( x ) = ∞ X m =1 ( − 1) m µ 2 m x m . (12) Equation (12) is the relativistic analog of Eq. (9), and CE co efficien ts follow from the same Lagrange inv ersion (10) replacing F with F rel . The crucial difference is that the bounded support v ∈ [ − 1 , 1] guaran tees µ 2 m ≤ 1 for all m , in contrast to the factorially gro wing Gaus- sian momen ts (2 m − 1)!!. Consequen tly , F rel ( x ) has a strictly non-zero radius of con v ergence, and by the in- v erse function theorem the CE series ˆ ω ( k ) = P a 2 n k 2 n also conv erges. The spatial gradien t expansion is there- fore strictly conv ergen t: relativistic causalit y eliminates the factorial divergence at its source. Conclusions and Outlo ok.— W e hav e shown that for non-relativistic BGK kinetic theory , the spatial gradien t expansion of the hydrodynamic series diverges factorially; ho wev er, it is strictly Borel summable. Recursiv e sp ec- tral p olynomials as well as the Borel–Pad ´ e resummation reconstruct the non-perturbative hydrodynamic attrac- tor, while finite-order CE truncations diverge at mo der- ate wa v enum b ers. Previous works [4, 5] hav e shown that the temp oral gradient expansion is also factorially div er- gen t, but non-Borel summable, requiring a full transseries completion to reconstruct the attractor. In addition, w e derived closed-form expressions for the exact CE transport coefficients at all orders via Lagrange in version, and sho w ed that imp osing relativistic causalit y on the velocity phase space cures the divergence entirely , yielding a conv ergent series with finite radius. T aken together with the results of Refs. [4] and [5], our findings suggest a unifying picture: the hydrody- namic gradient expansion, whether temp oral or spatial, is alwa ys Borel summable, and its resummation in v ari- ably reconstructs the unique non-p erturbative attractor defined by the (slow) inv arian t manifold. Our results suggest that the rigorous passage from ki- netics to h ydrodynamics, a central aspect of Hilbert’s sixth problem [9], need not rely on a conv ergent p ertur- bativ e expansion. Instead, we conjecture that hydrody- namics can b e systematically deriv ed from kinetic theory through Borel resummation of the factorially divergen t gradien t series, pro viding a non-p erturbativ e route to the h ydro dynamic limit. Sev eral natural extensions include: (i) extending b e- y ond the BGK op erator to the full Boltzmann collision in tegral with nonlinear collision k ernels, and (ii) repeat- ing the relativistic analysis with a corrected relaxation- time approximation [15] that resp ects microscopic con- serv ation la ws. ∗ mahdi.k o oshkbaghi@gmail.com 5 [1] A. V. Bob ylev, Instabilities in the chapman-ensk og ex- pansion and hyperb olic burnett equations, J. Stat. Phys. 124 , 371 (2006). [2] P . M. Chesler and L. G. Y affe, Boost inv ariant flo w, blac k hole formation, and far-from-equilibrium dynam- ics in N = 4 supersymmetric yang-mills theory , Phys. Rev. D 82 , 026006 (2010). [3] O. AbouZeid et al. , Observ ation of long-range elliptic az- im uthal anisotropies in s= 13 and 2.76 tev pp collisions with the atlas detector, Phys. Rev. Lett. 116 , 172301 (2016). [4] M. P . Heller and M. Spali ´ nski, Hydro dynamics b eyond the gradient expansion: Resurgence and resummation, Ph ys. Rev. Lett. 115 , 072501 (2015). [5] P . Romatsc hke, Fluid dynamics far from lo cal equilib- rium, Phys. Rev. Lett. 120 , 012301 (2018). [6] R. Baier, P . Romatschk e, D. T. Son, A. O. Starinets, and M. A. Stephanov, Relativistic viscous hydrodynam- ics, conformal inv ariance, and holography , J. High Energy Ph ys. 2008 (04), 100. [7] P . L. Bhatnagar, E. P . Gross, and M. Kro ok, A mo del for collision pro cesses in gases. i. small amplitude pro- cesses in c harged and neutral one-component systems, Ph ys. Rev. 94 , 511 (1954). [8] A. N. Gorban and I. V. Karlin, Invariant manifolds for physic al and chemic al kinetics , V ol. 660 (Springer, 2005). [9] A. N. Gorban and I. V. Karlin, Hilb ert’s 6th problem: ex- act and approximate h ydro dynamic manifolds for kinetic equations, Bull. Amer. Math. Soc. 51 , 186 (2014). [10] I. Karlin and A. Gorban, Hydrodynamics from grad’s equations: What can we learn from exact solutions?, Ann. Phys. (Berlin) 514 , 783 (2002). [11] I. V. Karlin, S. S. Chik atamarla, and M. Kooshkbaghi, Non-p erturbativ e hydrodynamics: A case study , Physica A 403 , 189 (2014). [12] E. J. Do edel, A. R. Champneys, F. Dercole, T. F airgrieve, Y. A. Kuznetso v, B. Oldeman, R. Paffenroth, B. Sand- stede, X. W ang, and C. Zhang, Auto-07p: Contin uation and bifurcation soft w are for ordinary differential equa- tions (2007). [13] H. S. Wilf, gener atingfunctionolo gy (CRC press, 2005). [14] J. L. Anderson and H. Witting, A relativistic relaxation- time mo del for the b oltzmann equation, Physica 74 , 466 (1974). [15] G. S. Ro cha, G. S. Denicol, and J. Noronha, Nov el relax- ation time approximation to the relativistic b oltzmann equation, Phys. Rev. Lett. 127 , 042301 (2021).

Original Paper

Loading high-quality paper...

Comments & Academic Discussion

Loading comments...

Leave a Comment