An asymmetry lower bound on fermionic non-Gaussianity

Fermionic Gaussian states are a fundamental tool in many-body physics, faithfully representing non-interacting quantum systems and allowing for efficient numerical simulations. Given a many-body wave function, it is therefore interesting to ask how m…

Authors: Filiberto Ares, Michele Mazzoni, Sara Murciano

An asymmetry lower bound on fermionic non-Gaussianity
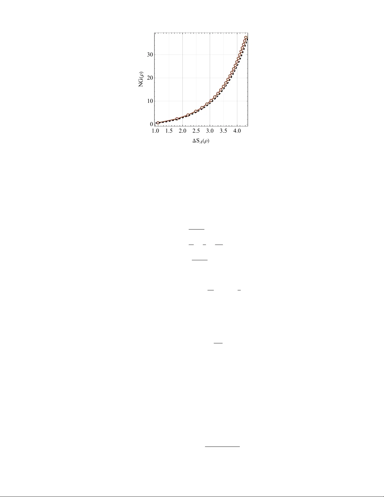
An asymmetry lo w er b ound on fermionic non-Gaussianit y Filib erto Ares, 1 Mic hele Mazzoni, 2 Sara Murciano, 3 D´ avid Sz´ asz-Schagrin, 2 P asquale Calabrese, 1 and Lorenzo Piroli 2 1 SISSA and INFN, via Bonome a 265, 34136 T rieste, Italy 2 Dip artimento di Fisic a e Astr onomia, Universit` a di Bolo gna and INFN, Sezione di Bolo gna, via Irnerio 46, 40126 Bologna, Italy 3 Universit` e Paris-Saclay, CNRS, LPTMS, 91405, Orsay, F r ance (Dated: Marc h 18, 2026) F ermionic Gaussian states are a fundamen tal to ol in many-bo dy physics, faithfully representing non-in teracting quantum systems and allo wing for efficient numerical simulations. Given a many- b ody w av e function, it is therefore interesting to ask how m uc h it differs from that of a Gaussian state, as quantified by the notion of non-Gaussianit y . In this w ork, w e relate measures of non-Gaussianity with the Shannon en tropy of the particle-n um b er distribution, coinciding with the particle-n umber asymmetry for pure states. W e derive a lo wer bound on the relative en trop y of non-Gaussianity in terms of the exp onential of the Shannon en tropy , and study n umerically its tigh tness for large system sizes. Our b ound is non-trivial for large v alues of the asymmetry and relies on the concentration of the particle-num b er distribution of (mixed) fermionic Gaussian states. Since the Shannon entrop y of the particle-num b er distribution is often efficient to compute or experimentally measure, our results can b e viewed as a practical wa y to low er b ound non-Gaussianity , highlighting a non-trivial in terplay with particle-num ber asymmetry . I. INTR ODUCTION F ermionic Gaussian states are a v ery useful tool in condensed matter and man y-b o dy physics [ 1 , 2 ]. Besides faithfully representing the eigenstates of non-interacting fermionic Hamiltonians [ 3 ], their simplified mathematical structure mak es them ideal toy models that are routinely emplo yed in differen t areas of physics. F or instance, in the context of quantum computation, fermionic Gaussian states naturally app ear using the Jordan-Wigner (JW) transformation [ 4 ], mapping spin (or qubit) degrees of freedom to fermionic ones. The circuits made of gates that can b e mapp ed to free-fermion dynamics in this w a y are known as matc hgate quan tum circuits [ 5 ]. They play an important role, since the mapping to free fermions makes it p ossible to sim ulate them efficiently on a classical computer [ 6 , 7 ]. More generally , fermionic Gaussian states are b ecoming increasingly relev ant in the dev elopmen t of new quantum tec hnologies. F or example, several algorithms now allo w us to efficiently learn an exp erimentally prepared fermionic Gaussian state [ 8 – 12 ], offering non-trivial b enc hmarking opp ortunities. Giv en a many-bo dy fermionic state (or a qubit state which can b e mapp ed to fermions via a JW transformation), it is in teresting to ask how muc h it differs from a Gaussian state. F or example, in the con text of many-bo dy physics, quan tifying the non-Gaussianit y of a state gives us a measure of the interactions of its parent Hamiltonian [ 13 – 16 ]. In quantum computation theory , instead, fermionic non-Gaussianity can b e seen as a resource enabling universal quan tum computation in matchgate circuits [ 7 , 17 ]. A natural framework to quantify the deviations of a state from b eing Gaussian is that of quantum resource theories (QR T) [ 18 ], originally in tro duced in the context of quantum information theory . In a QR T, one indirectly defines a quan tity of in terest (the resource) in terms of fr e e states and op erations, whic h do not displa y or generate the resource, respectively . The resource of in terest (in our case, the fermionic non-Gaussianity) is then quan tified by suitable monotones, namely real functions ov er the Hilb ert space that are v anishing on the set of free states and do not increase under free op erations [ 18 ]. In the QR T of fermionic non-Gaussianity , free states and op erations are the Gaussian ones [ 1 , 19 – 27 ]. In this work, we fo cus on the relative entrop y of fermionic non-Gaussianit y [ 28 – 32 ], a p opular monotone in the non-Gaussianit y QR T, and relate it to the num b er entrop y of the symmetrized state [ 33 – 37 ]. That is, the classical Shannon entrop y of the probability distribution of the particle num b er, which for pure states coincides with the particle-n umber asymmetry [ 38 ]. Sp ecifically , we derive a low er b ound on the relative entrop y of non-Gaussianity in terms of the exp onen tial of the Shannon en tropy , and study numerically its tightness for large system sizes. Our bound is non-trivial for large v alues of the asymmetry and relies on the concentration of the particle-num b er distribution of (mixed) fermionic Gaussian states. The implications of our work are t w o-fold. On the one hand, when the particle-num b er is exp erimentally accessible, the particle-num b er Shannon entrop y can b e estimated efficiently [ 39 ], so that our results can b e used as a practical w ay to low er b ound non-Gaussianit y . In this resp ect, it is worth mentioning that the total particle n umber can b e measured efficiently also in quantum-circuit setups [ 40 – 43 ], making our results relev ant even for digital quantum platforms. On the other hand, our w ork provides a link b et w een tw o different QR Ts. Indeed, the notion of asymmetry 2 can also b e formalized via a QR T [ 18 , 44 – 46 ] (see also Refs. [ 47 – 53 ] for similar ideas dev elop ed in the con text of many- b ody physics and quantum field theory). Our results can then b e put in the framework introduced in Ref. [ 54 ], which studied how the free states of one QR T can b e resourceful when analyzed through the lenses of a second one. More generally , our findings highlight a non-trivial interpla y b et w een non-Gaussianity and particle-n umber asymmetry . The rest of this work is organized as follows. W e b egin in Sec. I I , where we briefly recall the notions of Gaussian states, non-Gaussianit y , and asymmetry . In Sec. I I I , we start characterizing Gaussian states in terms of the distribution of the n um b er of particles: after presen ting an elementary b ound on the particle-n um b er Shannon en tropy for Gaussian states in Sec. I II A , w e giv e a bound of non-Gaussianit y in terms of the minimal trace distance from the set of Gaussian states (also kno wn as interaction distance [ 13 , 14 ]). Our main results are presen ted in Sec. IV . In particular, after some preliminary considerations in Sec. IV A , in Sec. IV B we provide a low er b ound on the relative entrop y of non- Gaussianit y for a sp ecial family of states, while a completely general b ound is derived in Sec. IV C . Finally , Sec. V con tains our conclusions, while a few app endices presen t the most technical parts of our work. I I. PRELIMINARIES W e begin b y recalling some preliminary facts about fermionic Gaussian states, the particle-n umber Shannon entrop y , and the QR T of non-Gaussianit y and asymmetry . A. F ermionic Gaussian states W e consider a system of N fermionic mo des, satisfying canonical anti-comm utation relations { c i , c † j } = δ i,j , { c i , c j } = { c † i , c † j } = 0 , (1) for i, j = 1 . . . N . W e will denote by H the corresp onding Hilb ert space. A mixed, full-rank state ρ on H is a fermionic Gaussian state if it can b e represented as ρ = 1 Z e − K , (2) where K is a quadratic op erator of the form K = X i,j h A i,j c † i c j − A ∗ i,j c i c † j + B i,j c i c j − B ∗ i,j c † i c † j i , (3) while Z = T r[ e − K ] is a normalization constant. Introducing the c ompact notation c = ( c 1 , c 2 , . . . c N , c † 1 , c † 2 , . . . c † N ) , (4) the op erator K can b e rewritten as K = c † M K c , (5) with M K =  A − B ∗ B − A ∗  . (6) More generally , a state (not necessarily mixed) is called Gaussian if it can b e obtained from the expression ( 2 ) by taking the limit to infinity of some of the co efficien ts A i,j and B i,j in Eq. ( 3 ). F or instance, a pure Gaussian state can b e obtained from a thermal state of the form ( 2 ), by taking the limit where the inv erse of the temp erature is taken to infint y . W e recall that fermionic Gaussian states satisfy Wick’s theorem [ 1 ]. As a result, they are completely c haracterized b y the corresp onding tw o-point correlation functions, which we can collect in the correlation matrix Γ =  C F † F 1 − C T  , (7) 3 with C i,j = T r[ ρc † i c j ] and F i,j = T r[ ρc i c j ] . (8) In particular, the correlation matrix Γ asso ciated with a Gaussian state ρ gives us access to its von Neumann entrop y S ( ρ ) = − T r[ ρ log ρ ] . (9) Indeed, one can sho w that the eigenv alues of Γ are real and come in pairs of the form ( ν k , 1 − ν k ), and that the von Neumann entrop y is giv en b y [ 55 , 56 ] S ( ρ ) = − N X k =1 [ ν k log ν k + (1 − ν k ) log(1 − ν k )] . (10) B. Non-Gaussianit y , particle n umber Shannon entrop y , and asymmetry In this work, we will fo cus on the relative entrop y of non-Gaussianity [ 28 – 30 ] NG( ρ ) = min ρ ′ ∈G S ( ρ || ρ ′ ) , (11) where the minim um is tak en o v er G , the set of Gaussian states in H , while we in tro duced the quan tum relative entrop y S ( ρ || σ ) = T r[ ρ log ρ ] − T r[ ρ log σ ] , (12) with the conv ention that S ( ρ || σ ) = ∞ if supp( ρ ) ∩ ker( σ )  = 0. While originally introduced in the context of b osonic Gaussian states [ 57 ], it is straightforw ard to see that the relative en trop y of non-Gaussianity is a monotone, and hence a go o d measure of non-Gaussianity , also with resp ect to the fermionic QR T [ 31 ]. As sho wn in Ref. [ 30 ], given a state ρ , the state realizing the minimum in Eq. ( 11 ) is its Gaussianification ρ G , namely the Gaussian state with the same correlation matrix (such state alwa ys exists). Accordingly , using the prop erties of ρ G , one can rewrite [ 30 ] NG( ρ ) = S ( ρ || ρ G ) = S ( ρ G ) − S ( ρ ) . (13) Eq. ( 13 ) do es not feature an y minimization pro cedure. In fact, for pure states S ( ρ ) = 0, so that NG( ρ ) can b e computed only from the correlation matrix Γ as NG( | ψ ⟩ ) = − N X k =1 [ ν k log ν k + (1 − ν k ) log(1 − ν k )] , (14) where { ν k , (1 − ν k ) } is the set of eigenv alues of Γ. In man y cases, Γ can b e computed efficien tly ev en in the many-bo dy setting, justifying the appeal of the relative en tropy of non-Gaussianity ov er differen t monotones. Note that, for a mixed state ρ , the r.h.s of Eq. ( 14 ) only provides an upp er bound for NG( ρ ). Next, we discuss the particle-num ber Shannon entrop y . W e first introduce the charge Q = N X j =1 c † j c j , (15) whic h is just the particle-num b er op erator. Giv en a state ρ , we can then define the charge probability distribution function p q = T r(Π q ρ ) , (16) where q = 0 , 1 , . . . N , while Π q is the pro jector o ver the q -eigenspace of the charge Q . The particle-n umber Shannon en tropy is then H ( { p q } ) = − N X q =0 p q log p q . (17) 4 F or a pure state, the largest the Shannon entrop y H ( { p q } ) the more the state breaks the U (1) symmetry asso ciated with the c harge Q . In fact, the Shannon en tropy is closely related to a natural monotone within the QR T of asymmetry [ 38 , 45 , 46 , 58 , 59 ], as w e no w briefly review. In the asymmetry QR T, one defines free states and operations as those that preserve a certain symmetry group G . In our case, this is the U (1) symmetry group associated with the charge Q , { U = e − iαQ } α . The amoun t of asymmetry in a state ρ is quantified by the G -asymmetry [ 38 ] (also known as entanglemen t asymmetry [ 48 ]) ∆ S U (1) ( ρ ) = S ( U [ ρ ]) − S ( ρ ) , (18) where we introduced the twirling op erator U [ ρ ] := Z π − π d α 2 π e − iαQ ρ e iαQ . (19) The connection with the particle-num b er Shannon entrop y introduced ab o ve comes from the inequality [ 60 ] ∆ S U (1) ( ρ ) ≤ H ( { p q } ) , (20) whic h is saturated for pure states. Therefore, the particle-num b er Shannon entrop y coincides with the asymmetry for pure states, consistent with physical intuition. Recen tly , the asymmetry has received increasing atten tion b eyond the QR T framework. In particular, the observ a- tion that it can b e efficiently computed in physically interesting settings led to several studies of asymmetry in the con text of quantum thermalization [ 48 , 61 – 67 ], typical quantum states [ 68 – 72 ], QFT [ 49 – 52 , 73 – 79 ], and generalized symmetries [ 80 – 82 ]. It is also exp erimen tally accessible in several relev an t quan tum platforms [ 61 , 72 , 83 ]. I II. P AR TICLE-NUMBER DISTRIBUTION OF GAUSSIAN ST A TES In this section, w e characterize Gaussian states in terms of the distribution of the num ber of particles. W e first presen t an elementary b ound on the particle-num b er Shannon entrop y for Gaussian states. Then, w e show that violations of this b ound for a state ρ give us a low er b ound on the trace distance of ρ from the set of Gaussian states. A. A b ound on the particle-num b er Shannon entrop y It is well known that Gaussianity constrains the particle-num ber distribution function. In fact, particle-num b er fluctuations in Gaussian states hav e b een studied in several settings, including generic states [ 84 ] and ground states of sp ecific mo dels [ 85 , 86 ], as well as during quantum quenc hes [ 87 – 89 ]. Previous work has also already unv eiled non-trivial connections b etw een the particle-num ber distribution and other physical quantities. F or instance, when the particle num b er is conserv ed, its fluctuations within a subsystem were shown to pro vide a low er b ound on the bipartite en tanglement entrop y [ 34 , 90 , 91 ]. Here, w e review some elementary facts yielding a simple upp er b ound on the particle-num b er Shannon entrop y of Gaussian states. Giv en a Gaussian state, we may write the first and second moment of the charge distribution function in terms of the correlation matrices ( 8 ). In particular, a simple application of Wick’s theorem yields ⟨ Q ⟩ = T r( C ) , (21) and ⟨ Q 2 ⟩ = T r( C ) + (T r C ) 2 − T r( C 2 ) + T r( F † F ) . (22) Therefore, denoting by σ 2 = ⟨ Q 2 ⟩ − ⟨ Q ⟩ 2 the charge v ariance and using ( 7 ), we ha ve σ 2 = 2(T r( C ) − T r( C 2 )) + T r(Γ 2 ) 2 − N 2 . (23) Since the eigenv alues of b oth Γ and C are real and lie in the interv al [0 , 1], it holds 0 ≤ T r( C 2 ) ≤ T r( C ) ≤ N and 0 ≤ T r(Γ 2 ) ≤ T r(Γ) = N . Applying these inequalities to Eq. ( 23 ), we conclude σ 2 ≤ 2 N . (24) 5 In turn, using the known b ound for the Shannon entrop y of a classical discrete distribution function in terms of its v ariance [ 92 , 93 ], w e get H ( { p q } ) ≤ 1 2 log  2 π e  2 N + 1 12  , (25) whic h is the desired b ound on the particle-num b er Shannon entrop y for Gaussian states. Note that, while we fo cused on the distribution of the eigenv alues of the particle-num b er op erator Q , a similar b ound could b e derived for any lo cal quadratic charge. Com bining with Eq. ( 20 ), we also obtain a b ound on the asymmetry of a G aussian state ρ , ∆ S U (1) ( ρ )    ρ ∈G ≤ 1 2 log N [1 + o (1)] . (26) Note that, for a generic state, the asymmetry can b e as large as log( N + 1) [ 46 ]. Consequently , non-interacting systems cannot maximally break a U (1) symmetry asso ciated to a quadratic c harge. In other words, maximal asymmetry r e quir es inter actions . B. An elementary b ound for the trace distance Eq. ( 26 ) implies that states with large asymmetry cannot b e Gaussian. As an example, one can consider a uniform sup erposition of charge eigenstates | v q ⟩ , | ψ ⟩ = 1 √ N + 1 N X q =0 | v q ⟩ . (27) The state | ψ ⟩ is maximally asymmetric, since ∆ S U (1) ( | ψ ⟩ ) = log( N + 1). Thus, regardless of the choice of | v q ⟩ , the state is not Gaussian. Ho w ever, its non-Gaussianity dep ends on the sp ecific choice of | v q ⟩ , and quan tifying it is generally non-trivial. The rest of this work is dev oted to putting a low er b ound on the non-Gaussianity when the particle-n umber Shannon en tropy (and th us, for pure states, the asymmetry) exceeds the r.h.s. of Eq. ( 25 ). As is turns out, this task is non-trivial when considering the relative en tropy of non-Gaussianit y , and will b e tackled in the next section. Here, we first present a simpler result, giving a low er b ound on the trace-distance of a state ρ from the set of Gaussian states. Sp ecifically , denoting as usual the Shannon entrop y of ρ by H ( { p q } ), we show inf ρ ′ ∈G || ρ − ρ ′ || 1 ≥ 2  H ( { p q } ) − 1 2 log N + c  log N , (28) where c is a constant (independent of N and ρ ), || A || 1 ≡ T r √ A † A , while G is the set of Gaussian states in H . Note that the l.h.s. is known in the literature as interaction distance [ 13 , 14 ]. In order to prov e the ab o ve inequalit y , let us consider an arbitrary Gaussian state ρ ′ , and define the probabilities p q = T r[ ρ Π q ] and p ′ q = T r[ ρ ′ Π q ]. F rom these, w e can construct the mixed states ω = N X q =0 p q | v q ⟩ ⟨ v q | , ω ′ = N X q =0 p ′ q | v q ⟩ ⟨ v q | , (29) whic h are defined in a Hilb ert space of dimension d = N + 1. Notice that by construction S ( ω ) = H ( { p q } ) and S ( ω ′ ) = H ( { p ′ q } ). Thus, applying the F annes inequality [ 94 ], we get | H ( { p q } ) − H ( { p ′ q } ) | = | S ( ω ) − S ( ω ′ ) | ≤ log N 2 || ω − ω ′ || 1 + log 2 . (30) Next, the mixed states in Eq. ( 29 ) can b e written as ω = E ( ρ ), ω ′ = E ( ρ ′ ), where we in troduced the trace preserving c hannel E ( · ) = N X q =0 | v q ⟩⟨ v q | T r[Π q ( · )] . (31) As a consequence, since the trace distance is non-increasing under CPTP channels [ 94 ], w e arrive at || ω − ω ′ || 1 ≤ || ρ − ρ ′ || 1 . (32) Com bining Eqs. ( 30 ) and ( 32 ) and taking into account that H ( { p ′ q } ) is upp er b ounded by Eq. ( 25 ), we find precisely ( 28 ). 6 IV. A LOWER BOUND ON FERMIONIC NON-GA USSIANITY This section contains our main results. After presen ting some preliminary considerations in Sec. IV A , in Sec. IV B w e provide a low er b ound on the relative entrop y of non-Gaussianity for a sp ecial family of states, while a completely general b ound is derived in Sec. IV C . A. Preliminary considerations Strictly sp eaking, Eq. ( 28 ) already provides a low er b ound on the relative entrop y of non-Gaussianit y . T o see this, w e may use Pinsk er’s inequalit y [ 95 ], stating that for any tw o states ρ and ρ ′ , ∥ ρ − ρ ′ ∥ 2 1 ≤ 2 ln(2) S ( ρ ∥ ρ ′ ) . (33) Applying it to ρ and ρ ′ = ρ G in Eq. ( 28 ), we obtain p NG( ρ ) ≥ 2 ln 2 ∆ S U (1) ( ρ ) − 1 2 log N − c log N ! . (34) Unfortunately , as we will sho w, the inequality ( 34 ) pro vides a bound which is not tigh t. Before seeing this explicitly , w e find it instructiv e to analyze the asymmetry and the non-Gaussianity of a special family of states, allowing for analytic computations. Belo w, we show that for this family the relativ e en trop y of non-Gaussianit y is b ounded b y the exp onen tial of the Shannon entrop y and grows linearly in N for maximal asymmetry . Conv ersely , since ∆ S U (1) ( ρ ) ≤ log( N + 1), the r.h.s. of Eq. ( 34 ) is asymptotically upp er-b ounded by a constant, suggesting that the b ound is indeed not tight. In fact, in Sec. IV C we will employ a very differen t strategy and derive a general low er b ound on the non-Gaussianity , which recov ers a linear growth in N for maximally asymmetric states. B. Sup erposition of kink states Consider the one-parameter family of states | ψ ⟩ = N X k =0 α k | k ⟩ , | k ⟩ = k Y j =1 c † j | 0 ⟩ , (35) where | 0 ⟩ is the fermionic v acuum annihilated by all c j and the co efficients are chosen to be α k = ( 1 √ R , 1 ≤ k ≤ R , 0 , otherwise , (36) with 0 < R ≤ N . Each | k ⟩ is a “kink state”, and is ob viously a c harge eigenstate with eigenv alue k . The simple form of the states ( 35 ) allo ws us to p erform analytic computations. In addition, by v arying the parameter R , the asymmetry of | ψ ⟩ can b e tuned from 0 ( R = 1) to log N ( R = N ), allowing us to study the interpla y b et ween asymmetry and non-Gaussianit y . Quantitativ ely , by setting R = ⌊ N β ⌋ with 0 < β ≤ 1, the asymmetry of | ψ ⟩ reads ∆ S U (1) = − R X k =1 | α k | 2 log | α k | 2 = log R ∼ β log N . (37) Note that the state | ψ ⟩ breaks the fermion parity , but this is irrelev ant for our discussion. In fact, one could also study similar families of states featuring, sa y , only even kink states, arriving at similar conclusions. In order to b ound the non-Gaussianit y of the state ( 35 ), we first rewrite Eq. ( 14 ) as NG( ρ ) = N X k =1 H 2 ( ν k ) , (38) where H 2 ( x ) is the binary entrop y in natural units. Using the simple b ound [ 96 ] H 2 ( x ) ≥ 4 log (2) x (1 − x ) , (39) 7 1.0 1.5 2.0 2.5 3.0 3.5 4.0 0 10 20 30 Δ S A ( ρ ) NG ( ρ ) FIG. 1. Non-Gaussianit y of the sup erp osition of kink states ( 35 ) plotted against their asymmetry for different v alues of the parameter R (red) for N = 100. The black dashed line denotes the low er b ound ( 42 ). and making use of Eq. ( 7 ), w e arrive at the inequality NG( ρ ) ≥ 4 log 2 T r  C − C 2 − F † F  , (40) whic h is v alid for any pure state ρ . Next, as we show in App endix A , for the family of states ( 35 ) we can compute T r C = R + 1 2 , T r C 2 = R 3 + 1 2 + 1 6 R , T r F † F = 2 R − 2 R 2 . (41) Finally , recalling that, according to Eq. ( 37 ), for the states ( 35 ) R = e ∆ S , we arrive at the result NG( | ψ ⟩ ) ≥ 4 log 2  4 e − 2∆ S − 13 6 e − ∆ S + 1 6 e ∆ S  . (42) The low er b ound ( 42 ) can b e v erified numerically for all v alues of ∆ S U (1) ( | ψ ⟩ ) by diagonalizing the correlation matrix to obtain the exact v alue of NG( | ψ ⟩ ). W e presen t results for N = 100 for all parameters of R (and hence the full range of p ossible v alues of the asymmetry) in Fig. 1 . Eviden tly , the low er b ound ( 42 ) follows the actual v alues v ery closely and captures the scaling of the non-Gaussianit y NG( | ψ ⟩ ) ∼ N β + O  1 N β  . (43) More generally , we hav e also studied n umerically the non-Gaussianity for different families of states with large asymmetry for small v alues of N . In all cases the b ound in Eq. ( 34 ) app ears to b e manifestly non-tight, motiv ating the deriv ation of a tighter b ound. W e do this in Sec. IV C using a different approach based on a concen tration result for the particle-num b er distribution of (mixed) fermionic Gaussian states. C. Deriv ation of the low er-b ound In this section, we pro vide a general low er b ound on the relative en tropy of non-Gaussianit y , significantly impro ving Eq. ( 34 ). Our strategy is based on the follo wing concentration inequality . Denoting b y ρ a Gaussian state with a verage c harge T r[ ρQ ] = ¯ q , one can prov e P ρ [ | q − ¯ q | ≥ a ] ≤ 2 exp  − a 2 2( σ 2 ρ + 2 a/ 3)  , (44) 8 where σ 2 ρ is the c harge v ariance of the state ρ , while P ρ [ | q − ¯ q | ≥ a ] is the probability that the c harge Q takes v alues outside of the interv al [ ¯ q − a, ¯ q + a ]. Physically , this result states that the fluctuations of the total c harge, Q , are strongly suppressed aw a y from their mean. Indeed, for Gaussian states with σ 2 ∼ O ( N ), fluctuations of size a ∼ √ N are typical, while extensive deviations, a ∼ N , are exp onentially suppressed in the system size. While concen tration inequalities suc h as Eq. ( 44 ) are well established for pure Gaussian states [ 97 , 98 ], w e are not a ware of explicit pro ofs in the case of mixed states. In fact, the extension to mixed states requires a more careful analysis. W e prov e Eq. ( 44 ) in App endix B , based on an exact representation of the charge cumulan t generating function for (mixed) Gaussian states [ 87 , 99 ]. Next, w e can summarize the strategy to derive our b ound as follows. If a state ρ has a large Shannon entrop y , the particle-num b er distribution function must b e anti-concen trated, and therefore different from the one of Gaussian states. In particular, there must b e particle-sectors of the Hilb ert space where the supp ort of ρ is large, while that of its Gaussianification ρ G is exp onentially small. This difference gives rise to the divergence of the relativ e entrop y b et w een ρ and ρ G for N → ∞ . T o b e precise, let us consider a state ρ and denote b y p q the corresp onding particle-num b er probability distribution function. F or ease of notation, we will denote h = e H ( { p q } ) , (45) and assume h ≥ ( N + 1) γ with 1 ≥ γ ≥ 1 / 2 (otherwise the b ound is trivial). Setting ε = P [ | q − ¯ q | > a ], it is intuitiv e that if H ( { p q } ) is very large, ε can not b e to o small. In tro ducing m a = 2 ⌊ a ⌋ + 1, whic h is the num ber of integer c harge sectors satisfying | q − ¯ q | ≤ a , this follows from the Jensen’s inequality , yielding H ( { p q ) } ≤ H 2 ( ε ) + (1 − ε ) log m a + ε log( N + 1 − m a ) ≤ log 2 + (1 − ε ) log m a + ε log( N + 1 − m a ) , (46) and therefore P ( | q − ¯ q | > a ) ≥ max ( 0 , H ( { p q } ) − log m a − log 2 log  N +1 − m a m a  ) . (47) This inequality shows that once the entrop y exceeds log(2 m a ), the tails of the probabilit y distribution function must b e strictly p ositiv e. Pro ceeding with the argument, let ρ G b e the Gaussianification of ρ . W e define t wo orthogonal pro jectors Π A ( α ) = X | q − ¯ q |≤ c N ( α ) Π q , (48) Π B ( α ) = X | q − ¯ q | >c N ( α ) Π q , (49) with c N ( α ) = αh . These op erators pro ject onto central and tail charge sectors, resp ectiv ely . W e also introduce the quan tum channel E α ( · ) = Π A ( α )( · )Π A ( α ) + Π B ( α )( · )Π B ( α ) . (50) By using the data pro cessing inequalit y , we get NG( ρ ) = S ( ρ || ρ G ) ≥ S ( ω α,ρ || ω α,ρ G ) , (51) where ω α,ρ = E α ( ρ ) and similarly for ρ G . Since b oth states are blo c k-diagonal in this decomp osition, w e obtain the symmetry-resolv ed b ound S ( ω α,ρ || ω α,ρ G ) ≥ p B ,ρ log p B ,ρ p B ,ρ G , (52) where p B ,ρ = P ρ [ | q − ¯ q | > c N ( α )] and p B ,ρ G = P ρ G [ | q − ¯ q | > c N ( α )]. Now, restricting to α < 1 / 4, Eq. ( 47 ) gives us the explicit b ound p B α,ρ ≥ s N ( α ) ≡ − log(4 α )  log ( N + 1) /h − 2 α 2 α  − 1 . (53) 9 On the other hand, applying Eq. ( 44 ) to the Gaussian state ρ G with threshold a = c N ( α ), w e obtain p B ,ρ G ≤ 2 exp  − c N ( α ) 2 2( σ 2 ρ G + 2 c N ( α ) / 3)  . (54) Finally , by plugging Eqs. ( 53 ) and ( 54 ) in Eq. ( 52 ), and using Eq. ( 51 ), we arrive at NG( ρ ) ≥ s N ( α ) " log s N ( α ) 2 + c N ( α ) 2 2( σ 2 ρ G + 2 c N ( α ) 3 ) # , (55) where s N ( α ) is defined in Eq. ( 53 ). Eq. ( 55 ) is our main result. While it is true for all v alues of α with 0 < α < 1 / 4 (so that s N ( α ) > 0), we can c ho ose, for instance, α = 1 / 8 to obtain an explicit b ound. In this case, the leading scaling b eha vior of the r.h.s. side can b e extracted using that σ 2 ρ G ≤ 2 N , yielding NG( ρ ) ≥ log(2)(log[4( N + 1) /e H ( { p q } ) − 1]) − 1  e 2 H ( { p q } ) 256 N  (1 + o ( N )) , (56) whic h displa ys the previously announced improv ed scaling ov er Eq. ( 34 ). F or instance, for maximal en trop y H ( { p q } ) ∼ log N , it yields NG( ρ ) > cN (1 + o ( N )), where c is a constan t, 0 < c < 1. This scaling recov ers the linear gro wth of the relative-en tropy of non-Gaussianit y ( 42 ) derived for the family of kink states ( 35 ). F or smaller entrop y H ( { p q } ) ∼ N γ with γ < 1, an additional logarithmic correction app ears. In this case, we ha ve not b een able to find examples saturating the b ound. In fact, for generic states analytic computations are not p ossible and we are restricted to numerical computations for relatively small system sizes. This makes it difficult to understand whether the scaling predicted by Eq. ( 56 ) is tight. W e leav e this question for future work. V. OUTLOOK AND DISCUSSIONS In this work, we ha v e inv estigated the interpla y b et ween t w o different quan tum resources in the many-bo dy setting: non-Gaussianit y and asymmetry . In particular, w e hav e derived a general b ound on the relative en tropy of non- Gaussianit y in terms of the Shannon entrop y of the particle-num ber distribution, which coincides with the particle- n umber asymmetry for pure states. The relev ance of our work is tw o-fold. On the one hand, our results can b e viewed as a practical w ay to low er b ound non-Gaussianity . On the other hand, w e provide a link b et ween tw o different QR T in the context of fermionic systems, in the spirit of Ref. [ 54 ]. Our work raises some questions for future research. First, it would b e imp ortant to understand whether our b ound is tight or, conv ersely , how to improv e it. In the case of maximally asymmetric states, we hav e shown that the scaling of the b ound is optimal, but the question remains op en for low er asymmetry . Second, a natural question p ertains to the extension of our results to b osonic systems. In this case, it is easy to see that a b ound of the non-Gaussianity in terms of the Shannon entrop y as the one w e hav e derived cannot hold. This is b ecause the particle-num b er Shannon en tropy for b osonic Gaussian states is un b ounded, as it can b e se en for a single b osonic mo de. Ho wev er, one may w onder whether a b ound on non-Gaussianity can b e obtained by studying refined prop erties of the particle-num b er distribution. This would b e particularly interesting, given the prominent role that b osonic Gaussian states play in the context of quantum optics [ 57 ]. W e leav e these questions for future research. A cknow le dgments.— LP ac knowledges fruitful discussions with Ludo vico Lami, esp ecially regarding p ossible exten- sions to the b osonic case. This w ork w as funded by the Europ ean Union (ERC, QUANTHEM, 101114881 and ERC, MOSE, 101199196). Views and opinions expressed are how ev er those of the author(s) only and do not necessarily reflect those of the Europ ean Union or the Europ ean Research Council Executive Agency . Neither the Europ ean Union nor the granting authority can b e held resp onsible for them. App endix A: Correlation matrices and low er b ound for the sup erp osition of kink states Here w e provide some additional details ab out the computation of the low er b ound for the non-Gaussianit y of the family of states considered in Sec. IV B , namely | ψ ⟩ = N X k =0 α k | k ⟩ , | k ⟩ = k Y j =1 c † j | 0 ⟩ , (A1) 10 where the co efficients α k are: α k = ( 1 √ R , 1 ≤ k ≤ R 0 , otherwise , (A2) with 0 < R ≤ N . Our starting p oin t is the inequalit y ( 40 ). F or the state w e are considering, the matrix elements of C and F are immediately obtained, C i,j = T r[ ρc † i c j ] = δ i,j N X k = i | α k | 2 , F i,j = T r[ ρc i c j ] = α i − 2 α i δ i,j +1 − α j − 2 α j δ i,j − 1 . (A3) W e now pro ceed to compute T r  C − C 2 − F † F  term by term. Crucially , the only non-trivial part of the computa- tion is keeping track of the summation limits. Thus, noting that α k = 0 whenev er k / ∈ [1 , R ], from the ab ov e matrix elemen ts we readily obtain T r[ C ] = R X i =1 1 R ( R − i + 1) = R + 1 2 . (A4) F or the second term, T r[ C 2 ], the matrix elements are given by ( C 2 ) i,j = δ i,j 1 R 2 ( R − i + 1) 2 for 1 ≤ i ≤ R (A5) and so T r[ C 2 ] = R X i =1 1 R 2 ( R − i + 1) 2 = R 3 + 1 2 + 1 6 R . (A6) F or the third term, T r[ F † F ], we write ( F † F ) i,i = R X k =1 ( α i α i − 2 α i α i − 2 δ k,i − 1 + α k α k − 2 α k α k − 2 δ i,k − 1 ) = α i α i − 2 α i α i − 2 + α i +1 α i − 1 α i +1 α i − 1 , (A7) yielding T r  F † F  = R X i =1 ( α i α i − 2 α i α i − 2 + α i +1 α i − 1 α i +1 α i − 1 ) = 2( R − 2) R 2 . (A8) Com bining the ab o v e results, w e finally ha ve T r  C − C 2 − F † F  = 4 1 R 2 − 13 6 1 R + 1 6 R , (A9) whic h leads to Eq. ( 42 ) by substituting R = e H ( { p q } ) = e ∆ S . App endix B: Pro of of the concentration inequalit y for mixed states In this App endix, we prov e the concentration result ( 44 ). T o this end, w e first define the probability distribution P ρ [ q ] asso ciated to a generic state ρ as P ρ [ q ] = T r[ ρ Π q ] , (B1) where Π q is the pro jector onto the q -eigenspace of the charge op erator Q . The moment-generating function of such probabilit y distribution is defined χ ρ ( t ) = E [ e tQ ] = X q P ρ [ q ] e tq = T r[ ρe tQ ] . (B2) 11 If ρ is a Gaussian state, then χ ρ ( t ) can b e computed explicitly b y the form ula [ 87 , 99 ] χ ρ ( t ) = (2 cosh( t/ 2)) N s det  1 − tanh ( t 2 )Γ M Ω 2  . (B3) Here we introduced the correlation matrix Γ M in the ma jorana basis, whic h is defined by Γ M = i 2 T r( ρ [ γ i , γ j ]) , (B4) where γ 2 j − 1 = c † j + c j γ 2 j = i ( c † j − c j ) . (B5) The matrix Ω is a 2 N × 2 N real matrix whose only non-zero elemen ts are Ω 2 j − 1 , 2 j = − 1 Ω 2 j, 2 j − 1 = 1 . (B6) The matrix Γ M Ω is not necessarily diagonalizable. Still, Eq. ( B3 ) is well-defined since Γ M Ω can b e characterized b y the eigenv alues app earing in the Jordan form. The cum ulant generating function can b e expanded log χ ρ ( t ) = N log (cosh t/ 2) + 1 2 T r { log [ 1 − tanh( t/ 2)Γ M Ω] } = 1 2 T r { log [cosh( t/ 2) 1 − sinh( t/ 2)Γ M Ω] } = N log (cosh t/ 2) − 1 2 ∞ X n =1 tanh n ( t/ 2) n T r[(Γ M Ω) n ] . This series is conv ergent for all t ∈ R since T r[(Γ M Ω) n ] ≤ 2 N due to || Γ M Ω || ∞ ≤ 1. Indeed, the first tw o terms in the series give us the first tw o cumulan ts, namely the mean and v ariance of the c harge Q : ⟨ Q ⟩ = i 2 N X j =1 ⟨ γ 2 j − 1 γ 2 j ⟩ = − 1 4 T r[Γ M Ω] , (B7) ⟨ Q 2 ⟩ − ⟨ Q ⟩ 2 = N 4 − 1 8 T r[Γ M ΩΓ M Ω] . (B8) The matrix Γ M Ω is a product of t wo sk ew-symmetric matrices, one of whic h is non-degenerate. As suc h, its sp ectrum is doubly degenerate [ 99 , 100 ]. Denoting as { µ j } N j =1 the non-doubled eigenv alues of Γ M Ω, we can rewrite the cumulan t generating function ( B3 ) as log χ ( t ) = log E [ e X t ] = N X j =1 log [cosh( t/ 2) − µ j sinh( t/ 2)] , (B9) from whic h it is apparent that the cum ulants can b e also expressed in terms the eigenv alues µ j . In particular, for the first tw o w e hav e ⟨ Q ⟩ = − 1 2 N X j =1 µ j , (B10) ⟨ Q 2 ⟩ − ⟨ Q ⟩ 2 = 1 4   N X j =1 (1 − µ 2 j )   . (B11) Imp ortan tly , the eigenv alues of Γ M Ω are not necessarily real. It is ho wev er instructive to lo ok at the case where all µ j are real. In this case, since the eigen v alues satisfy | µ j | ≤ 1, it is obvious that Eq. ( B9 ) can b e in terpreted as the cum ulant generating function of the sum of N indep enden t random v ariables. Explicitly , for each j w e define a {± 1 } –v alued random v ariable Z j b y P ( Z j = 1) = 1 − µ j 2 , P ( Z j = − 1) = 1 + µ j 2 , (B12) 12 where P ( Z j = a ) denotes the probability that Z j = a . It is then immediate to see that E [ e sZ j ] = cosh s − µ j sinh s . (B13) T aking s = t/ 2 then leads to log χ ( t ) = N X j =1 log E [ e ( t/ 2) Z j ] , (B14) whic h is the cumulan t generating function of 1 2 P N j =1 Z j . In general, how ever, the µ j are complex, and so the ab ov e treatment m ust b e refined. This is easy to do using some additional structure of the eigen v alues µ j . Indeed, w e note that Γ M Ω is a 2 N × 2 N real matrix. F or any real matrix, the complex eigenv alues come in pairs µ j = ν j , µ j +1 = ¯ ν j (with the same algebraic and geometric multiplicit y). F or suc h a pair, we can then define a v alid real random v ariable Y j , corresp onding to the sum ( Z j + Z j +1 ) / 2, as w e describ e b elow. F ormally , supp ose w e order { µ j } N j =1 = { ξ j } N − K j =1 ∪ { ν j } N − K/ 2 j = N − K +1 ∪ { ¯ ν j } N j = N − K/ 2+1 , where ξ j are the real eigenv alues, while { ν j } N − K/ 2 j = N − K +1 is the set obtained b y selecting one of the tw o conjugate eigenv alues in each pair. F or each j ∈ [ N − K + 1 , N − K / 2], define a random v ariable Y j ∈ [ − 1 , 0 , 1] with the corresp onding probabilities given by P ( Y j = 1) = 1 − ν j 2 1 − ¯ ν j 2 , (B15) P ( Y j = 0) = 1 − ν j 2 1 + ¯ ν j 2 + 1 + ν j 2 1 − ¯ ν j 2 , (B16) P ( Y j = − 1) = 1 + ν j 2 1 + ¯ ν j 2 . (B17) Because | ν j | ≤ 1 (whic h follo ws from || Γ M Ω || ∞ ≤ 1), the probabilities P ( Y j = a ), with a = 1 , 0 , − 1, are positive, while we can verify 1 X a = − 1 P ( Y j = a ) = 1 . (B18) Therefore, { P ( Y j = a ) } j is a legitimate probability distribution function. F or j ∈ [1 , N − K ], corresp onding to the real eigenv alues ξ j , we define Y j ∈ [ − 1 / 2 , 1 / 2], with probability distribution function P ( Y j = 1 / 2) = 1 − µ j 2 , P ( Y j = − 1 / 2) = 1 + µ j 2 . (B19) Because µ j are real, { P ( Y j = a ) } j is again a legitimate probability distribution function. No w, following the previous steps, we hav e log χ ( t ) = N − K/ 2 X j =1 log E [ e tY j ] , (B20) whic h is the cumulan t generating function of Y = N − K/ 2 X j =1 Y j . (B21) Note that, con trary to Eq. ( B14 ), in Eq. ( B20 ) there is no factor 1 / 2 in the exp onen t, consistent with the fact that P j Y j = (1 / 2) P j Z j . As a result, the cumulan ts (and moments) of the random v ariable Y coincide with the cumulan ts (and moments) of the classical v ariable asso ciated to the probabilit y distribution P ρ [ q ] = T r[ ρ Π q ]. Therefore, we can write P Y [ q ] = P ρ [ q ] . (B22) 13 This result is imp ortant, b ecause it tells us that P ρ [ q ] coincides with the probabilit y distribution function of the sum of N − K/ 2 random v ariables, for which concen tration inequalities are well known. In particular, using that the indep enden t v ariables are bounded | Y j | ≤ 1, we use Bernstein’s inequality [ 101 ]: P         N − K/ 2 X i =1 ( Y i − E [ Y i ])       ≥ a   ≤ 2 exp  − 1 2 a 2 σ 2 + 2 3 a  (B23) where σ 2 = E [ Y 2 ] − E [ Y ] 2 = ⟨ Q 2 ⟩ − ⟨ Q ⟩ 2 , (B24) whic h concludes the pro of of the concen tration inequality ( 44 ). [1] S. Bravyi, arXiv quant-ph/0404180 (2004) . [2] J. Surace and L. T agliacozzo, SciPost Phys. Lect. Notes , 54 (2022) . [3] F. F ranchini et al. , An intr o duction to inte gr able te chniques for one-dimensional quantum systems , V ol. 940 (Springer, 2017). [4] P . Jordan and E. P . Wigner, ¨ Ub er das paulische ¨ aquiv alenzverbot, in The Col le cted Works of Eugene Paul Wigner: Part A: The Scientific Papers , edited by A. S. Wightman (Springer Berlin Heidelb erg, Berlin, Heidelb erg, 1993) pp. 109–129. [5] B. M. T erhal and D. P . DiVincenzo, Phys. Rev. A 65 , 032325 (2002) . [6] M. V an Den Nest, Quantum Info. Comput. 11 , 784–812 (2011). [7] D. J. Bro d, Phys. Rev. A 93 , 062332 (2016) . [8] M. Gluza, M. Kliesch, J. Eisert, and L. Aolita, Phys. Rev. Lett. 120 , 190501 (2018) . [9] S. Aaronson and S. Grewal, arXiv:2102.10458 (2021) . [10] B. O’Gorman, arXiv:2207.14787 (2022) . [11] A. A. Mele and Y. Herasymenko, PRX Quantum 6 , 010319 (2025) . [12] L. Bittel, A. A. Mele, J. Eisert, and L. Leone, PRX Quantum 6 , 030341 (2025) . [13] C. J. T urner, K. Meichanetzidis, Z. Papi ´ c, and J. K. P achos, Nature Comm. 8 , 14926 (2017) . [14] J. K. Pac hos and Z. Papic, SciPost Phys. Lect. Notes , 4 (2018) . [15] G. Matos, A. Hallam, A. Deger, Z. Papic, and J. K. Pac hos, Phys. Rev. B 104 , L180408 (2021) . [16] J. K. Pac hos and C. Vlachou, Quantum 6 , 840 (2022) . [17] M. Heb enstreit, R. Jozsa, B. Kraus, S. Strelch uk, and M. Y oganathan, Phys. Rev. Lett. 123 , 080503 (2019) . [18] E. Chitambar and G. Gour, Reviews of mo dern ph ysics 91 , 025001 (2019). [19] S. Bravyi, D. Browne, P . Calpin, E. Campb ell, D. Gosset, and M. How ard, Quantum 3 , 181 (2019) . [20] F. de Melo, P . ´ Cwikli ´ nski, and B. M. T erhal, New J. Phys. 15 , 013015 (2013) . [21] A. V ershynina, Phys. Rev. A 90 , 062329 (2014) . [22] J. Park, J. Lee, K. Baek, and H. Nha, Phys. Rev. A 104 , 032415 (2021) . [23] J. Cudby and S. Strelch uk, arXiv:2307.12654 (2023) . [24] O. Reardon-Smith, M. Oszmaniec, and K. Korzekwa, Quantum 8 , 1549 (2024) . [25] B. Dias and R. Ko enig, Quan tum 8 , 1350 (2024) . [26] X. Lyu and K. Bu, arXiv:2409.08180 (2024) . [27] P . Sierant, P . Stornati, and X. T urkeshi, PRX Quantum 7 , 010302 (2026) . [28] M. G. Genoni, M. G. A. Paris, and K. Banaszek, Phys. Rev. A 78 , 060303 (2008) . [29] M. G. Genoni and M. G. A. Paris, Phys. Rev. A 82 , 052341 (2010) . [30] P . Marian and T. A. Marian, Phys. Rev. A 88 , 012322 (2013) . [31] L. Lumia, E. Tirrito, R. F azio, and M. Collura, Phys. Rev. Res. 6 , 023176 (2024) . [32] S. Adity a, X. T urkeshi, and P . Sierant, arXiv:2512.14827 (2025) . [33] I. Klich and L. Levitov, arXiv:0812.0006 (2008) . [34] H. F. Song, S. Rachel, C. Flindt, I. Klich, N. Laflorencie, and K. Le Hur, Phys. Rev. B 85 , 035409 (2012) . [35] M. Kiefer-Emmanouilidis, R. Unany an, J. Sirker, and M. Fleischhauer, SciPost Phys. 8 , 083 (2020) . [36] M. Kiefer-Emmanouilidis, R. Unany an, M. Fleischhauer, and J. Sirker, Phys. Rev. Lett. 124 , 243601 (2020) . [37] M. Kiefer-Emmanouilidis, R. Unany an, M. Fleischhauer, and J. Sirker, Phys. Rev. B 103 , 024203 (2021) . [38] J. A. V accaro, F. Anselmi, H. M. Wiseman, and K. Jacobs, Phys. Rev. A 77 , 032114 (2008) . [39] A. Lukin, M. Risp oli, R. Schittk o, M. E. T ai, A. M. Kaufman, S. Choi, V. Khemani, J. L´ eonard, and M. Greiner, Science 364 , 256 (2019) . [40] H. Buhrman, M. F olkertsma, B. Loff, and N. M. Neumann, Quantum 8 , 1552 (2024) . [41] L. Piroli, G. Styliaris, and J. I. Cirac, Phys. Rev. Lett. 133 , 230401 (2024) . [42] S. Rethinasamy , M. L. LaBorde, and M. M. Wilde, Phys. Rev. A 110 , 052401 (2024) . [43] W. Zi, J. Nie, and X. Sun, IEEE T rans. Comp-Aided Design Int. Circ. Syst. 44 , 3060 (2025) . 14 [44] G. Gour and R. W. Sp ekk ens, New J. Phys. 10 , 033023 (2008) . [45] S. D. Bartlett, T. Rudolph, and R. W. Sp ekk ens, Rev. Mo d. Ph ys. 79 , 555–609 (2007) . [46] G. Gour, I. Marvian, and R. W. Sp ekk ens, Phys. Rev. A 80 , 012307 (2009) . [47] I. Marvian and R. W. Sp ekk ens, Nature Comm. 5 , 3821 (2014) . [48] F. Ares, S. Murciano, and P . Calabrese, Nature Comm, 14 , 2036 (2023) . [49] H. Casini, M. Huerta, J. M. Mag´ an, and D. Pon tello, JHEP 2020 (2), 014 . [50] H. Casini, M. Huerta, J. M. Mag´ an, and D. Pon tello, JHEP 2021 (4), 277 . [51] J. M. Mag´ an, JHEP 2021 (12), 100 . [52] V. Benedetti, H. Casini, Y. Kaw ahigashi, R. Longo, and J. M. Magan, arXiv:2408.04011 (2024) . [53] A. Summer, M. Moro der, L. P . Bettmann, X. T urkeshi, I. Marvian, and J. Go old, arXiv:2507.16976 (2025) . [54] A. E. Deneris, P . Braccia, P . Bermejo, N. Diaz, A. A. Mele, and M. Cerezo, arXiv:2507.11793 (2025) . [55] G. Vidal, J. I. Latorre, E. Rico, and A. Kitaev, Phys. Rev. Lett. 90 , 227902 (2003) . [56] I. Pesc hel, J. Phys. A: Math. Gen. 36 , L205 (2003) . [57] L. Lami, B. Regula, X. W ang, R. Nichols, A. Winter, and G. Adesso, Phys. Rev. A 98 , 022335 (2018) . [58] N. Sch uc h, F. V erstraete, and J. I. Cirac, Phys. Rev. Lett. 92 , 087904 (2004) . [59] N. Sch uc h, F. V erstraete, and J. I. Cirac, Phys. Rev. A 70 , 042310 (2004) . [60] M. Mazzoni, L. Capizzi, and L. Piroli, Phys. Rev. Res. 8 , L012056 (2026) . [61] L. K. Joshi, J. F ranke, A. Rath, F. Ares, S. Murciano, F. Kranzl, R. Blatt, P . Zoller, B. V ermersch, P . Calabrese, C. F. Ro os, and M. K. Joshi, Phys. Rev. Lett. 133 , 010402 (2024) . [62] C. Rylands, K. Klobas, F. Ares, P . Calabrese, S. Murciano, and B. Bertini, Phys. Rev. Lett. 133 , 010401 (2024) . [63] F. Ares, P . Calabrese, and S. Murciano, Nat. Rev. Phys. 7 , 451 (2025) . [64] B. Bertini, K. Klobas, M. Collura, P . Calabrese, and C. Rylands, Phys. Rev. B 109 , 184312 (2024) . [65] S. Liu, H.-K. Zhang, S. Yin, and S.-X. Zhang, Phys. Rev. Lett. 133 , 140405 (2024) . [66] X. T urkeshi, P . Calabrese, and A. De Luca, Phys. Rev. Lett. 135 , 040403 (2025) . [67] F. Ares, S. Murciano, P . Calabrese, and L. Piroli, Phys. Rev. Res. 7 , 033135 (2025) . [68] L. Capizzi and V. Vitale, J. Phys. A: Math. Theor. 57 , 45L T01 (2024) . [69] F. Ares, S. Murciano, L. Piroli, and P . Calabrese, Phys. Rev. D 110 , L061901 (2024) . [70] H.-H. Chen and Z.-J. T ang, Phys. Rev. D 111 , 066003 (2025) . [71] A. Russotto, F. Ares, and P . Calabrese, Phys. Rev. E 112 , L032101 (2025) . [72] J.-N. Y ang, L. K. Joshi, F. Ares, Y. Han, P . Zhang, and P . Calabrese, arXiv:2601.22224 (2026) . [73] L. Capizzi and M. Mazzoni, JHEP 2023 (12), 1 . [74] M. Chen and H.-H. Chen, Phys. Rev. D 109 , 065009 (2024) . [75] M. F ossati, F. Ares, J. Dubail, and P . Calabrese, JHEP 05 , 059 (2024) . [76] F. Benini, V. Go det, and A. H. Singh, Prog, Theor. Exp. Phys. 2025 , 063B05 (2025) . [77] Y. Kusuki, S. Murciano, H. Ooguri, and S. Pal, JHEP 01 , 057 (2025) . [78] M. F ossati, C. Rylands, and P . Calabrese, JHEP 06 , 089 (2025) . [79] H. F ujimura and S. Shimamori, arXiv:2509.05597 (2025) . [80] F. Benini, P . Calabrese, M. F ossati, A. H. Singh, and M. V enuti, arXiv:2509.16311 (2025) . [81] F. Benini, E. Garc ´ ıa-V aldecasas, and S. Vitouladitis, arXiv:2512.15898 (2025) . [82] A. G. Lamas, J. Gliozzi, and T. L. Hughes, arXiv:2510.03967 (2025) . [83] Y. Xu, C.-P . F ang, B.-J. Chen, M.-C. W ang, Z.-Y. Ge, Y.-H. Shi, Y. Liu, C.-L. Deng, K. Zhao, Z.-H. Liu, et al. , arXiv:2508.07707 (2025) . [84] I. Klich, J. Stat. Mech. , P11006 (2014) . [85] R. W. Cherng and E. Demler, New J. Phys. 9 , 7 (2007) . [86] D. A. Iv ano v and A. G. Abanov, Phys. Rev. E 87 , 022114 (2013) . [87] S. Groha, F. H. L. Essler, and P . Calabrese, SciPost Phys. 4 , 043 (2018) . [88] G. Parez, R. Bonsignori, and P . Calabrese, Phys. Rev. B 103 , L041104 (2021) . [89] G. Parez, R. Bonsignori, and P . Calabrese, J. Stat. Mech. 2021 , 093102 (2021) . [90] I. Klich and L. Levitov, Phys. Rev. Lett. 102 , 100502 (2009) . [91] P . Calabrese, M. Mintc hev, and E. Vicari, EPL 98 , 20003 (2012) . [92] J. L. Massey , in Information The ory: Pr o ce e dings of 1988 Beijing International Workshop on Information The ory (BI- WIT’88), July 4-7, 1988 (Pergamon, 1989). [93] O. Rioul, in IEEE Information Theory and Applications Workshop (IT A 2022) (2022). [94] M. A. Nielsen and I. L. Chuang, Quantum c omputation and quantum information (Cambridge universit y press, 2010). [95] J. W atrous, The theory of quantum information (Cambridge universit y press, 2018). [96] F. T opsøe, J. Ineq. Pure Appl. Math 2 , 300 (2001). [97] C. V. Kraus, M. M. W olf, J. I. Cirac, and G. Giedke, Phys. Rev. A 79 , 012306 (2009) . [98] C. V. Kraus, A Quantum Information Persp e ctive of F ermionic Quantum Many-Bo dy Systems , Ph.D. thesis , T echnisc he Univ ersit¨ at M ¨ unc hen (2009). [99] M. F agotti and P . Calabrese, J. Stat. Mech. 2010 , P04016 (2010) . [100] K. D. Ikramov and H. F assb ender, J. Math. Sciences 157 , 697 (2009) . [101] R. V ershynin, High-dimensional prob ability (Cambridge Universit y Press, Cambridge, 2018).

Original Paper

Loading high-quality paper...

Comments & Academic Discussion

Loading comments...

Leave a Comment