Non-Contiguous Wi-Fi Spectrum for ISAC: Impact on Multipath Delay Estimation

Leveraging channel state information from multiple Wi-Fi bands can improve delay resolution for ranging and sensing when a wide contiguous spectrum is unavailable. However, frequency gaps shape the delay response, introducing sidelobes and secondary …

Authors: Ana Jeknić, Aleš Švigelj, Tomaž Javornik

Non-Contiguous Wi-Fi Spectrum for ISAC: Impact on Multipath Delay Estimation
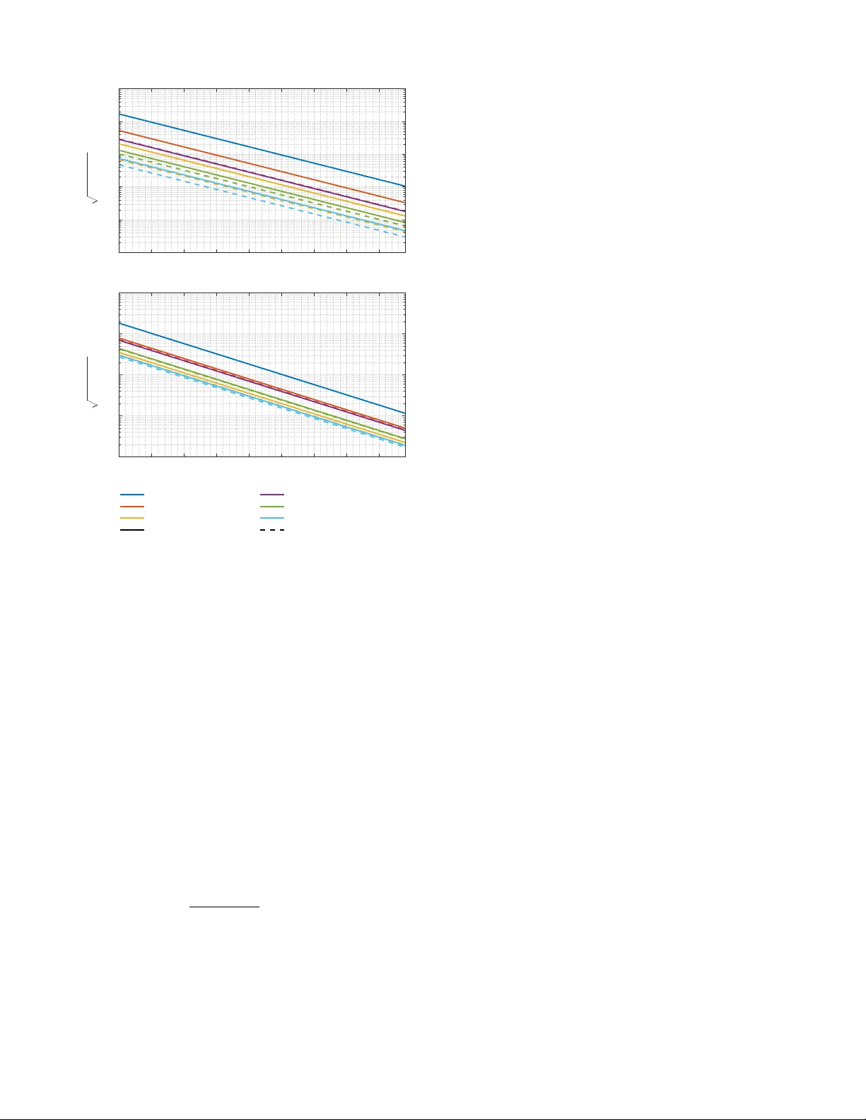
1 Non-Contiguous W i-Fi Spectrum for ISA C: Impact on Multipath Delay Estimation Ana Jekni ´ c, Graduate Student Member , IEEE, Ale ˇ s ˇ Svigelj, Senior Member , IEEE, T oma ˇ z Jav ornik, Senior Member , IEEE, and Andrej Hrov at, Senior Member , IEEE Abstract —Leveraging channel state information from multiple Wi-Fi bands can improv e delay r esolution f or ranging and sensing when a wide contiguous spectrum is unav ailable. However , frequency gaps shape the delay response, introducing sidelobes and secondary peaks that can obscure closely spaced multipath components. This paper examines multipath delay estimation for W i-Fi-compliant multiband configurations using channel state information (CSI). F or a two-path model with unknown complex gains and delays, the Cram ´ er -Rao lower bound (CRLB) for delay separation is derived and analyzed, confirming the benefit of larger frequency aperture, while re vealing pr onounced, separation-dependent oscillations driven by gap geometry and inter -path coupling. Given the local nature of Cram ´ er -Rao lower bound, the delay response is analyzed next. In the single-path case, the combined subband responses determine how delay- domain sidelobe levels ar e distributed. The dominant peak spacing is set primarily by the separation between subband center frequencies. In the two-path case, increased aperture sharpens the mainlobe but also intensifies sidelobes and leakage, yielding competing peaks and, in some regimes, a dominant peak shifted from the true delay . Finally , a normalized leakage metric is introduced to predict problematic separations and to identify regimes where local Cram ´ er -Rao lower bound analysis does not capture practical peak-leakage behavior in delay estimation. Index T erms —multiband sensing, multipath delay estimation, Cram ´ er -Rao lower bound (CRLB), delay-domain sidelobes, chan- nel state information (CSI), integrated sensing and communica- tion (ISA C), multi-link operation (MLO) I . I N T R O D U CT I O N W IRELESS sensing systems built on communication- centric standards inherit the spectrum access rules, radio front-end (RF) constraints, and signal structures of those standards. High-resolution sensing benefits from large band- width or frequenc y aperture, b ut practical de vices often operate ov er fragmented, non-contiguous allocations due to regulatory constraints and standard-defined channelization. T o cope with this, modern wireless standards are therefore heading tow ards multiband operation [1]–[3]. For example, IEEE 802.11be (W i-Fi 7) has already introduced this as multi-link operation (MLO) that enables channel aggregation across the 2.4, 5, and 6 GHz bands [4], while the forthcoming IEEE 802.11bn (Wi- Fi 8) continues multiband and multi-link operation (MLO) approach [5]. Multiband sensing in inte grated sensing and communication (ISA C) systems jointly processes channel state information (CSI) from non-contiguous channels or bands to synthesize a larger effecti ve bandwidth and improve delay resolution [6]– [9]. Since many localization and en vironment-characterization tasks ultimately rely on resolving propagation delays, a key question is how multiband and non-contiguous spectrum im- pacts the estimation of these parameters. Fig. 1 illustrates a representati ve indoor W i-Fi sensing scenario. The link between an access point (AP) and a user is typically multipath, consisting of a line-of-sight (LoS) and non-line-of-sight (NLoS) components with delays and complex gains. In orthogonal frequency division multiplexing (OFDM) based standards, the channel is observed through CSI that consists of discrete channel frequency response (CFR) samples on the occupied subcarriers. In a multiband setting, each communication link may simultaneously occupy sev eral disjoint Wi-Fi channels or bands, so CSI measurements are collected over non-contiguous frequency allocations that are subsequently fused to improv e sensing resolution. Dynamic target LoS propagation NLoS propagation User 1 User 3 User 2 Each communication link may operate over multiple frequency bands. User 1 Access Point Link 1 Band 1 Link 1 Band 2 Fig. 1. Illustration of Indoor Multipath Propagation for Multiband W iFi Sensing. Although a larger frequenc y aperture of multiband suggests improv ed delay resolution, non-contiguity creates a structured spectral window whose delay response exhibits sidelobes. In multipath conditions, these sidelobes can produce competing deterministic peaks, so performance may deviate from what aperture alone would suggest. Building on prior characteriza- tion of channel impulse response (CIR) broadening and error trends under non-contiguous spectrum [10], we provide an analytical treatment of multipath delay estimation for non- contiguous Wi-Fi allocations by combining Cram ´ er-Rao lower bound analysis with sidelobe/leakage beha vior induced by spectral gaps. The main contributions of this work are as follows: • A W i-Fi-compliant multiband CSI/CFR model is formu- lated that accounts for non-contiguous channel aggrega- 2 tion, incorporating standard-defined specifications and en- abling consistent comparison across dif ferent aggregation patterns. • Cram ´ er-Rao lower bound is deriv ed for estimating the delays of closely spaced multipath components under non-contiguous spectral allocations, with a systematic analysis of accuracy dependence on total used bandwidth and effecti ve aperture, gap geometry , signal-to-noise ratio (SNR) and multipath separation. • The deterministic sidelobe structure induced by spectral gaps is deri ved from the multiband spectral windo w and summarized via a normalized leakage metric. This enabled prediction of path separations prone to competing deterministic peaks and regimes in which CRLB bound do and do not reflect practical performance. The remainder of the paper is organized as follows. Sec- tion II places this work in relation to the relev ant literature. Section III introduces the channel and observation models, for - mulates the problem, and defines the multiband W i-Fi scenar- ios used throughout the paper . Section IV derives and analyzes the CRLB for a representativ e two-path case, emphasizing resolvability as a function of path separation. Section V then in vestigates the delay-domain structure induced by spectral gaps and discusses how it relates to the ef fects observed in practice. Finally , Section VI concludes the article and outlines directions for future work. I I . R E L A T E D W O R K S Prior research on W i-Fi sensing and localization includes CSI-based sensing pipelines, indoor positioning methods, and physical-layer analyses of resolv ability under practical spec- trum constraints. Many sensing systems are ev aluated through inference tasks such as presence, motion and activity recog- nition, but their discriminative content still derives from how multipath superposition reshapes CSI [11]. Physics or channel model based feature design has also been explored to impro ve robustness in CSI-based classification, for example, for sensing LoS perturbations in 6-GHz W i-Fi [12]. T o improve rob ustness beyond a single link, some systems also lev erage div ersity across access points and antennas by forming multi-vie w CSI representations. For example, the multi-AP CSI fusion framew ork in [13] enhances the robustness of behavioral sensing under channel dynamics. Recent standardization for sensing in IEEE 802.11bf further supports cross-band opera- tion as a practical direction for sensing deployment to improve reliability compared to single-band systems [14]. T ogether, these developments indicate that multiband op- eration can improve sensing and localization by expanding frequency diversity and, potentially , effecti ve delay resolution. Howe ver , it also raises practical questions of inter-/intra-band coherence and calibration, and, less explicitly addressed, how standardized spectral gaps reshape the delay-domain response and ambiguity structure. Accordingly , this section groups the literature into: (i) multiband sensing under non-contiguous spectrum, including practical challenges and performance- limit analyses, and (ii) approaches for multipath delay esti- mation and the interpretation of bounds. A. Multiband Sensing Under non-Contiguous Spectrum Multiband sensing, also referred to as multiband splicing [15], [16], aims to combine channel measurements collected ov er sev eral separated frequenc y allocations to emulate a wider effecti ve bandwidth. In the delay domain, this fusion targets wideband-like channel characterization, either through CIR reconstruction or parametric estimation of multipath compo- nents (such as path delays and complex gains), with T oA estimation as a central special case for ranging and sensing. In this context, related work can be broadly grouped into se veral categories. One line of work examines coherence as the main enabler of multiband fusion. In bistatic sensing, independent TX/RX oscillators and unsynchronized chains already induce phase and timing offsets [17], while multiband sensing adds the requirement of consistent inter-band phase across separated allocations. These issues are highlighted in [7] and surveyed in [15], emphasizing phase-offset compensation, RF impairment mitigation, and coherence-time constraints. Another direction focuses on representativ e algorithmic paradigms used for T oA and multipath delay estimation. The surve y in [15] serves as the main reference for algorithmic families in OFDM/CSI-based multiband sensing. From an OFDM-centric viewpoint, [18] also revie ws multiband signal models and estimator families. Empirically , [19] compares representativ e super-resolution approaches for sub-7 GHz W i- Fi multipath parameter estimation, illustrating practical dif- ferences under the bandwidth and antenna limitations of commodity devices. Finally , a third direction develops resolution analysis and performance limits for multiband delay estimation, connecting spectral occupancy (aperture, band placement, and missing tones) to resolv ability behavior through bounds and resolution metrics. For example, [20] uses CRLB-based criteria to select subbands under a LoS-plus-reflection model, emphasizing band selection for ranging rather than W i-Fi channelization constraints. A more explicit treatment of how aperture and delay structure affect resolvability is provided via CRLB/SRL- based analyses in [18]. Complementarily , [21] extends the analysis beyond classical CRB/CRLB by capturing SNR- threshold effects and quantifying the impact of aperture, phase coherence, and impairments via tighter global bounds like the ones in the Zakai family . While these works establish key principles for coherent splicing and multiband performance bounds, they typically consider abstract subband placements or emphasize calibration and band-design aspects rather than the W i-Fi-regulated non- contiguous support induced by standardized channelization, spectral shaping, and omitted subcarriers. Related analysis discuss the aperture-sidelobe trade-off in the delay response [21], but do not explicitly connect spectral-gap geometry to sidelobe structure, spacing, and separation regimes that trigger multipath errors. In contrast, we specialize the analysis to standard-compliant W i-Fi multiband configurations to directly quantify ho w gapped spectrum reshapes the delay-domain point-spread function, and we extend [10] with stronger bound-based grounding alongside an explicit delay-domain 3 characterization of gap-induced sidelobes. B. Approac hes for Multipath Delay Estimation Performance limits are commonly studied through estimation-theoretic bounds, but their interpretation depends on the assumed estimation regime. Therefore, we briefly discuss two ax es useful for interpreting bounds in noisy multipath channels with spectral gaps: (i) classical v ersus Bayesian formulations and (ii) unbiased versus biased estimation. Classical formulations treat the delay of a multipath compo- nent τ as an unknown deterministic parameter . In this setting, the Cram ´ er-Rao lower bound (CRLB) characterizes the best achiev able variance among locally unbiased estimators using Fisher information [22], [23]. Bayesian formulations instead model τ as random with prior and tar get risk measures such as minimum mean-square error (MMSE), with the corresponding limits e xpressed through Bayesian bounds (e.g., Bayesian CRLB) [24]. Orthogonal to this distinction, an estimator ˆ τ is unbiased if E [ ˆ τ | τ ] = τ , whereas practical methods are often only approximately unbiased (e.g., asymptotically at high SNR) or deliberately biased through discretization, regularization, priors, or decision rules to reduce mean-square error (MSE), reflecting a bias-variance trade-off [22], [25]. In this work we primarily adopt the classical CRLB as a reference because it provides a clean, estimator-agnostic link between spectral occupancy and delay information through the Fisher information, thereby isolating the ef fect of non- contiguous support from algorithmic heuristics or priors. At the same time, CRLB is a local bound whose tightness relies on regularity conditions and a well-behav ed (effecti vely unimodal) likelihood. Under gapped spectrum, the induced sidelobe structure can produce threshold behavior and outlier errors that are not captured by a purely local bound. For this reason, our analysis explicitly characterizes the gap-induced delay-domain sidelobes and ambiguities alongside CRLB- based grounding. I I I . A N A L Y S I S F R A M E W O R K This section introduces the signal and observation models used throughout the paper . A unified frequency-domain formu- lation is adopted to describe both single-band and multiband W i-Fi sensing scenarios on a common global frequency grid, while e xplicitly accounting for standard-compliant spectral shaping and non-contiguous spectrum occupancy . This frame- work provides a consistent basis for the subsequent analysis of delay estimation performance, including both estimation- theoretic bounds and delay-domain behavior under gapped spectrum. A. Channel Model W e model the channel impulse response (CIR) as a sum of L propagation paths: h ( t ) = L X ℓ =1 α ℓ δ ( t − τ ℓ ) , (1) where α ℓ ∈ C is the complex gain and τ ℓ ∈ R + is the delay of path ℓ . The corresponding CFR is H ( f ) = L X ℓ =1 α ℓ e − j 2 πf τ ℓ . (2) T o describe both single-band and multiband measurements in a unified way , we construct a global frequency grid spanning the overall measurement aperture [ f start , f stop ] : f [ n ] = f start + n ∆ f , n = 0 , 1 , . . . , N f − 1 , (3) where f start and f stop denote the grid endpoints, ∆ f is the frequency spacing, and N f is the total number of subcarriers on the grid. The corresponding total aperture is: B tot = f stop − f start = ( N f − 1)∆ f . (4) While the frame work can be extended to accommodate band- dependent spacings, we adopt a common ∆ f across all bands. A multiband scenario s activ ates one or more W i-Fi chan- nels within this global grid. Spectral occupancy is described through a scenario-dependent spectral mask a s [ n ] defined on the full grid, n = 0 , . . . , N f − 1 . The mask jointly captures the activ ated channel(s), omitted subcarriers within each channel bandwidth, guard and null tones, as well as the standard-defined Wi-Fi spectral shaping [26], which is approximately flat in-band and decays in the band-edge roll- off. For subcarriers that are not used or suppressed, a s [ n ] = 0 . In the multiband case, the spectral mask can be decomposed into contributions from the indivi dual channels. For a two- channel aggregation, we write: a s [ n ] = a s, 1 [ n ] + a s, 2 [ n ] , (5) where a s, 1 [ n ] and a s, 2 [ n ] denote the standard-compliant spec- tral masks of the lower and upper W i-Fi channels, respectively . Each sub-mask includes the corresponding in-band tones, omitted guard and null subcarriers, and is zero outside its associated channel. The spectral gap between the channels is therefore represented implicitly by the region where both a s, 1 [ n ] and a s, 2 [ n ] are zero. For notational con venience in subsequent deriv ations, we define the set of used subcarriers as: K s = { n ∈ { 0 , . . . , N f − 1 } : a s [ n ]  = 0 } . (6) The CFR observation on the global grid is modeled as: Y s [ n ] = a s [ n ] H  f [ n ]  + W s [ n ] , n = 0 , 1 , . . . , N f − 1 , (7) The stacking operator [ · ] n ∈K s follows increasing subcarrier index n , W s [ n ] ∼ C N (0 , σ 2 s ) is additive complex Gaussian noise assumed independent across n , and σ 2 s denotes the noise variance. This formulation applies to both single-band and multiband scenarios; the difference is entirely captured by the structure of the mask a s [ n ] . The observations can be embedded into the frequency- domain vector: Y s =  Y s [0] Y s [1] · · · Y s [ N f − 1]  T , (8) 4 which contains contiguous nonzero regions in the single-band case and separated regions in the multiband case, with zeros in the spectral gaps and outside the occupied channels. If needed, an N f -point in verse DFT can be computed to obtain a discrete CIR estimate: y s [ p ] = 1 N f N f − 1 X n =0 Y s [ n ] e j 2 πnp/ N f , p = 0 , 1 , . . . , N f − 1 . (9) This induces a delay sampling interval T s = ( N f ∆ f ) − 1 and a discrete delay axis t [ p ] = pT s for p = 0 , . . . , N f − 1 . Because the in verse DFT is periodic, the resulting delay- domain representation spans an unambiguous window of length N f T s = 1 / ∆ f . Giv en noisy multiband CFR/CSI measurements collected under scenario s , the goal of multipath delay estimation is to estimate the delays of the dominant components, i.e., the parameter vector τ = [ τ 1 , . . . , τ L ] T , and, depending on the estimator , also the corresponding complex gains α = [ α 1 , . . . , α L ] T . Estimates can be obtained by processing the frequency-domain observations directly , or indirectly by trans- forming the measurements to the delay domain via (9) and identifying the dominant components on the resulting delay axis. T o study how multiband spectral occupancy af fects the ability to distinguish closely spaced multipath components, we adopt a two-path channel model: H ( f ) = α 1 e − j 2 πf τ 1 + α 2 e − j 2 πf τ 2 , (10) and parameterize path proximity by the delay separation: ∆ τ = τ 2 − τ 1 . (11) Although richer multipath models with L > 2 are possible, the two-path setting provides a transparent baseline for inter- preting resolvability effects and is therefore used throughout the subsequent analysis. T o avoid an arbitrary overall scaling, we normalize the dominant path gain to α 1 = 1 . W e interpret α 1 as the dominant component (typically the LoS or strongest arriv al) and α 2 as a single specular multipath component (e.g., a reflection). For the second path, we use a representative complex gain α 2 = ρe j ϕ with ρ = 0 . 7 and ϕ = π / 3 , i.e., α 2 ≈ 0 . 35 + 0 . 606 j , which giv es | α 2 | ≈ 0 . 7 (about − 3 dB in power relativ e to α 1 ). This choice fixes a nominal relati ve strength and phase so that comparisons across spectrum configurations and delay separations are made under the same channel point. Alternati ve choices of ( ρ, ϕ ) generally change the numerical v alues but do not affect the underlying formulation. B. Multiband W i-F i Scenarios Multiband sensing scenarios are constructed by activ at- ing one or two W i-Fi channels withing single or multiple bands. Each scenario s is fully specified by the set K s and the corresponding standard-compliant spectral shaping a s [ n ] , which captures the in-band flat region and band-edge roll-off of practical W i-Fi transmissions. T o quantify the impact of total used bandwidth, frequency aperture, and spectral gaps T ABLE I M U L T I BA N D SI M U L A T I O N S CE N AR I O S . G RO U P A U SE S 1 6 0 M H Z O F T OT A L U S E D C H A N NE L B AN D WI D T H ; G RO U P B U S ES 3 2 0 M H Z . ID Occupied bands [GHz] Aperture [MHz] Gap [MHz] A1 [5 . 17 , 5 . 33] 160 0 A2 ∗ [5 . 25 , 5 . 33] , [5 . 49 , 5 . 57] 320 160 A3 ∗ [5 . 49 , 5 . 57] , [5 . 97 , 6 . 05] 560 400 B1 [5 . 97 , 6 . 13] , [6 . 13 , 6 . 29] 320 0 B2 ∗ [5 . 17 , 5 . 33] , [5 . 49 , 5 . 65] 480 160 B3 ∗ [5 . 49 , 5 . 65] , [5 . 97 , 6 . 13] 640 320 Note: Scenarios marked with ∗ also include a contiguous reference al- location spanning the same aperture without the gap: A2 ∗ : [5 . 25 , 5 . 57] , A3 ∗ : [5 . 49 , 6 . 05] , B2 ∗ : [5 . 17 , 5 . 65] , and B3 ∗ : [5 . 49 , 6 . 13] . on multipath delay resolution, we consider six representative configurations summarized in T able I and used consistently in the following analysis. These scenarios are also sho wn in Fig. 2, which positions them within the European W i-Fi channelization framework under ETSI regulations for the 5 GHz and lower -6 GHz W i-Fi operating spectrum. Scenarios in group A uses 160 MHz of total occupied channel bandwidth, while group B uses 320 MHz. W ithin each group, the same total bandwidth is placed either contiguously within one band or split across separated 5/6 GHz allocations, producing increasingly gapped spectrum. Scenarios marked with ∗ additionally include a contiguous reference allocation spanning the same aperture but without the gap, isolating the effect of spectral fragmentation. I V . C R A M ´ E R - R AO L OW E R B O U N D A CRLB benchmark is provided for the multiband obser- vations in Equation (8). The benchmark quantifies the best possible accuracy of locally unbiased delay estimators under the assumed additiv e white Gaussian noise. The ev aluation uses the two path channel model in Equation (10), with separation ∆ τ defined in Equation (11). A. CRLB Derivation For scenario s with occupied-tone set K s , restricting the global-grid model in Equation (7) to K s yields the stacked observation: y s =  Y s [ n ]  n ∈K s ∈ C N s , N s = |K s | , (12) From Equation (7), Y s [ n ] includes the additiv e noise term W s [ n ] . The observation satisfies: y s | θ ∼ C N  µ s ( θ ) , σ 2 s I N s  , (13) where I N s denotes the N s × N s identity matrix and σ 2 s is the per-tone noise variance ov er the occupied tones in scenario s . Accordingly , the noise is modeled as zero-mean circularly symmetric complex Gaussian with covariance σ 2 s I N s , meaning it has the same variance on each occupied tone and is uncor- related across tones. The corresponding mean can be written as: µ s ( θ ) = A s X s ( τ ) α , (14) 5 Lower 5 GHz W AS/RLAN Upper 5 GHz W AS/RLAN 5170 5330 5490 20/40/80/160 MHz . . . . . . . . . . . . Lower 6 GHz W AS/RLAN 5650 5710 6425 A1 A2 A2 A3 A3 B1 B1 B2 B2 B3 B3 160 MHz 160 MHz 400 MHz 320 MHz Frequency [MHz] 5945 Fig. 2. Simulation scenarios A1-A3 and B1-B3 positioned within the European W i-Fi channelization framework under ETSI regulations. where: A s = diag  [ a s [ n ]] n ∈K s  , τ = [ τ 1 τ 2 ] T , α = [ α 1 α 2 ] T , X s ( τ ) =  x s ( τ 1 ) x s ( τ 2 )  , x s ( τ ℓ ) =  e − j 2 πf [ n ] τ ℓ  n ∈K s . (15) The parameter vector is: θ =  τ 1 τ 2 α 1Re α 1Im α 2Re α 2Im  T . (16) where α ℓ = α ℓ Re + j α ℓ Im for ℓ ∈ { 1 , 2 } . For each occupied subcarrier n ∈ K s the corresponding entry of µ s ( θ ) is: µ s [ n ] = a s [ n ] 2 X ℓ =1 α ℓ e − j 2 πf [ n ] τ ℓ , n ∈ K s . (17) For the model in Equation (13), the Fisher information matrix (FIM) entries follow the standard complex Gaussian form [20], [22]:  I s ( θ )  ij = 2 σ 2 s ℜ  ∂ µ H s ∂ θ i ∂ µ s ∂ θ j  , i, j ∈ { 1 , 2 , 3 , 4 , 5 , 6 } . (18) Defining d i = ∂ µ s /∂ θ i , Equation (18) can be written equiv- alently as  I s ( θ )  ij = 2 σ 2 s ℜ{ d H i d j } . Deriv ative vectors and closed form FIM entries are listed in Appendix A. T o isolate the information about τ , the FIM in Equation (18) can also be partitioned according to the parameter ordering θ = [ τ T α T R ] T , where α R = [ α 1Re α 1Im α 2Re α 2Im ] T , yielding the blocks I τ τ , I τ α , I ατ , and I αα . Then, the effecti ve information for τ is the Schur comple- ment: I eff ( τ ) = I τ τ − I τ α I − 1 αα I ατ , (19) The CRLB for any locally unbiased b τ now is: co v  b τ  ⪰ I − 1 eff ( τ ) . (20) For the separation ∆ τ = τ 2 − τ 1 from Equation (11), we can write ∆ τ = g T τ with g = [ − 1 1] T . The corresponding CRLB then is: v ar  c ∆ τ  ≥ g T I − 1 eff ( τ ) g . (21) B. CRLB Results Delay separation resolvability is quantified using the CRLB for the parameter ∆ τ = τ 2 − τ 1 , obtained from the effecti ve FIM. Square-root CRLB represents a lo wer bound on the standard deviation of an y unbiased estimator of the delay separation. Smaller values indicate improv ed local resolv- ability of closely spaced multipath components, while larger values correspond to increased estimation uncertainty . All CRLB results are ev aluated for the two-path channel model in Section III-A, with the dominant path normalized to α 1 = 1 and the second path parameterized as α 2 = ρe j ϕ with ρ = 0 . 7 and ϕ = π / 3 . W e define SNR as the a verage per occupied-tone (noiseless) power -to-noise ratio: SNR = ∥ µ s ( θ ) ∥ 2 2 / N s σ 2 s = 1 N s X n ∈K s | µ s [ n ] | 2 σ 2 s , (22) where N s = |K s | and µ s ( θ ) is giv en in Equations (14) and (17). For a target SNR dB , we set: σ 2 s =  ∥ µ s ( θ 0 ) ∥ 2 2 / N s   10 SNR dB / 10 , (23) where θ 0 denotes the parameter point used to ev aluate the bound. Since the noise variance is common across occupied tones, allocation-dependent CRLB differences arise from ho w the allocation changes the mean model and the observed subcarrier set via a s [ n ] and f [ n ] , rather than from unequal per-tone measurement reliability . Figure 3 shows p CRLB(∆ τ ) versus SNR for scenario groups A and B at two representati ve separations, ∆ τ ∈ { 1 ns , 10 ns } . These correspond to excess path lengths ∆ d = c ∆ τ , so ∆ τ = 1 ns maps to ∆ d ≈ 0 . 30 m and ∆ τ = 10 ns maps to ∆ d ≈ 3 m , which is realistic for indoor en vironments. W e first compare, within each group, cases with the same occupied bandwidth: the contiguous baseline (A1/B1) and the gapped allocations (A2-A3/B2-B3), which use the same number of subcarriers but span a larger aperture. Across both separations, the gapped allocations achieve lo wer bounds, indicating that the dominant effect is the increased effecti ve 6 -5 0 5 10 15 20 25 30 35 SNR [dB] 10 -4 10 -3 10 -2 10 -1 10 0 10 1 p CRLB( " = ) [ns] " = = 1 ns A1: 160 MHz cont. B1: 160+160 MHz cont. A2: 80+80 MHz, gap 160 MHz B2: 160+160 MHz, gap 160 MHz A3: 80+80 MHz, gap 400 MHz B3: 160+160 MHz, gap 320 MHz solid: original scenarios dashed: contiguous reference -5 0 5 10 15 20 25 30 35 SNR [dB] 10 -4 10 -3 10 -2 10 -1 10 0 p CRLB( " = ) [ns] " = = 10 ns Fig. 3. Square-root CRLB of ∆ τ versus SNR for scenarios A1-A3 and B1- B3, shown for ∆ τ = 1 ns (top) and ∆ τ = 10 ns (bottom), with α 1 = 1 and α 2 = 0 . 7 e j π/ 3 . Contiguous references are included for the gapped cases. frequency aperture. Across both separations, the gapped allo- cations achie ve lo wer bounds, indicating that the dominant ef- fect is the increased effecti ve frequency aperture. This follo ws directly from the delay-delay block of the FIM: the diagonal terms I 11 and I 22 scale with the quadratic frequency sum P n ∈K s | a s [ n ] | 2 f [ n ] 2 , and this scaling carries into the ef fectiv e delay information I eff and enters the corresponding CRLB in (21). T o quantify fragmentation effects, each gapped allocation (solid) is also compared to a hypothetical contiguous reference (dashed) defined over the same o verall aperture. This reference assumes an OFDM tone grid with the standard subcarrier spac- ing ∆ f = 78 . 125 kHz spanning the full aperture. Relativ e to this reference, the gapped allocations exhibit a slightly higher bound, with the gap-induced penalty being more pronounced at ∆ τ = 1 ns than at ∆ τ = 10 ns. This separation dependence motiv ates the ∆ τ sweep in Fig. 4. Figure 4 sho ws p CRLB(∆ τ ) as a function of ∆ τ at SNR = 20 dB. The advantage of a larger frequency aperture is evident from the lower overall bound levels achieved by the allocations with bigger aperture. Howe ver , comparing each gapped allocation (solid) with its hypothetical contiguous reference over the same aperture (dashed) isolates the effect of the internal gap. For separations smaller than 1 ns , the gapped curves exhibit an approximately constant gap-induced penalty relativ e to the corresponding contiguous (dashed) reference. At larger separations, the gapped scenarios first dev elop pronounced oscillations and, for suf ficiently large ∆ τ , i.e. separations bigger than 10 ns , approach nearly the same square-root CRLB levels as the aperture-matched contiguous reference (dashed). The separation-selectiv e oscillations in Fig. 4 originate from the separation-dependent cross-path coupling terms in the FIM, which in volv e coherent sums across the occupied tones. For example, the delay-delay coupling entry I 12 in (36) contains the term: X n ∈K s | a s [ n ] | 2 f [ n ] 2 e − j 2 πf [ n ]∆ τ , (24) so that as ∆ τ varies, the phasor factor e − j 2 πf [ n ]∆ τ ro- tates across frequency and changes the degree of construc- tiv e/destructiv e addition in this sum. This modulates the effec- tiv e coupling between the two delays and, through the Schur- complement reduction used to form I eff , produces peaks and dips in CRLB(∆ τ ) . For two-subband (gapped) allocations, the characteristic oscillation scale is set primarily by the center -to-center spacing between the occupied subbands: ∆ f c = f c, 2 − f c, 1 , (25) with f c, 1 and f c, 2 denoting the subband center frequencies. Consistent with [21], prominent extrema occur at separations on the order of ∆ τ ≈ n/ ∆ f c . In our scenarios, ∆ f c ∈ { 240 , 480 , 320 , 480 } MHz for A2, A3, B2, and B3, respec- tiv ely , and corresponding characteristic spacings 1 / ∆ f c ≈ { 4 . 2 , 2 . 1 , 3 . 1 , 2 . 1 } ns around which we see pronounced os- cillations. Accordingly , the larger -gap configurations exhibit stronger and denser oscillations, with A3 showing the most pronounced ripple. The detailed shape of the oscillations dif fers from the idealized setting in [21] because of W i-Fi-like spectral masks, guard structure, and nonuniform subcarrier weights inside each channel mask that reduce perfect coherence and therefore broaden and soften the extrema. In addition, the oscillation amplitude and phase depend on the relativ e magnitude and phase of α 2 /α 1 , since this ratio enters the cross-path FIM terms: not only through I 12 , but also through the separation- dependent delay-gain mixed entries (e.g., I 15 , I 16 , I 23 , and I 24 ), which contain α 1 or α 2 multiplying coherent sums of the form P n ∈K s | a s [ n ] | 2 f [ n ] e ± j 2 πf [ n ]∆ τ and therefore further shape I eff via the Schur complement. While varying α 2 /α 1 shifts the absolute bound le vel and reshapes the oscilla- tions pattern, the overall trends persist. Increasing frequency aperture improv es the bound on a verage, whereas spectral fragmentation increases separation-selectiv e variability . Finally , we emphasize that the CRLB is a local bound. It is determined by the FIM at the true parameter and therefore captures local sensitivity and inter-parameter coupling (includ- ing inter-path coupling in the two-path model). Howe ver , it characterizes performance only within the correct likelihood basin and does not account for global failures such as selecting an incorrect delay peak. The delay-response analysis in Sec- tion V therefore complements the CRLB results by linking gap geometry to sidelobe structure and identifying regimes in 7 10 -1 10 0 10 1 10 2 " = [ns] 10 -3 10 -2 10 -1 10 0 p CRLB( " = ) [ns] A1: 160 MHz cont. A2: 80+80 MHz, gap 160 MHz A3: 80+80 MHz, gap 400 MHz solid: original scenarios dashed: contiguous reference (a) Group A scenarios. 10 -1 10 0 10 1 10 2 " = [ns] 10 -3 10 -2 10 -1 p CRLB( " = ) [ns] B1: 160+160 MHz cont. B2: 160+160 MHz, gap 160 MHz B3: 160+160 MHz, gap 320 MHz solid: original scenarios dashed: contiguous reference (b) Group B scenarios. Fig. 4. Square-root CRLB of ∆ τ versus ∆ τ (ns) at SNR = 20 dB, with α 1 = 1 and α 2 = 0 . 7 e j π/ 3 . Contiguous references are included for the gapped cases. which peak ambiguities, rather than local variance, dominate practical estimation performance. V . G A P - I N D U C E D S I D E L O B E S Non-contiguous allocations reshape the delay-domain be- havior beyond what is captured by the CRLB alone. The CRLB provides a local variance bound under the assumed model, ef fectiv ely describing performance within the correct likelihood basin. Howe ver , under gapped spectrum, the occu- pied tones and their standard-defined weights act as an ef fec- tiv e spectral window whose delay-domain response exhibits deterministic sidelobes. These gap-induced sidelobes can pro- duce competing peaks and separation-selecti ve ambiguities, so practical estimators that rely on correlation or peak picking may exhibit outliers and threshold effects e ven when the CRLB remains small. This section therefore characterizes the sidelobe structure induced by gaps and then connects sidelobe metrics to the observed regimes where CRLB trends do and do not reflect practical performance. A. Delay Response and Sidelobes: Single P ath Case Many T oA and multipath delay estimators operate by testing candidate delays τ and ev aluating how well the measured CFR matches the corresponding delay-dependent phase progression on the av ailable tones. Under (7), scenario s provides CFR samples only on the subcarrier index set K s ; those samples are deterministically shaped by the known multiband mask a s [ n ] , where n ∈ K s and f [ n ] denotes the absolute frequenc y of tone n . The occupied subcarriers and their weights, therefore act as an effecti ve spectral windo w whose delay-domain response gov erns the deterministic sidelobe pattern of any correlation- based delay test. T o illustrate this effect, we consider the noise-free single- path case of (2), H ( f ) = αe − j 2 πf τ 0 , where τ 0 is the true path delay and α is its complex gain. Correlating the noise- free observed CFR with a candidate single-path signature a s [ n ] e − j 2 πf [ n ] τ yields: g s ( τ − τ 0 ) = X n ∈K s | a s [ n ] | 2 e − j 2 πf [ n ]( τ − τ 0 ) . (26) The factor | a s [ n ] | 2 arises because the correlation uses the conjugate mask, so (26) is the discrete Fourier transform of the effecti ve spectral window over the occupied subcarriers. The magnitude is normalized as | g s ( τ ) | / | g s (0) | , so that the response attains unity at the true delay τ = τ 0 . W ith a unit- amplitude path placed at τ 0 = 0 , | g s ( τ ) | / | g s (0) | giv es the normalized single-path delay response versus tested delay τ ; values aw ay from τ = 0 directly quantify the deterministic sidelobe lev el (leakage) induced by the subcarrier set K s and the mask weights a s [ n ] . Figure 5 shows the normalized magnitude of the single- path delay response | g s ( τ ) | for the allocations in Groups A and B. Solid curves correspond to the original allocations, while dashed curves show the contiguous reference variants for the gapped cases. In both groups, contiguous allocations produce a single dominant mainlobe followed by smoothly decaying sidelobes. Comparing each gapped allocation to its contiguous reference sho ws that the internal gap introduces oscillations superimposed on an overall decay that closely follows the span-matched contiguous case; the gap also shifts the locations of both the local maximas and minimas. T o explain the oscillatory sidelobe structure induced by spectral gaps, it is con venient to re write g s ( τ ) as the coherent sum of the two occupied subbands. Using the lower - and upper-subband index sets K s, 1 and K s, 2 and their center frequencies f c, 1 and f c, 2 , we decompose the multiband mask a s [ n ] into its subband-supported components a s, 1 [ n ] and a s, 2 [ n ] . Since the single-path correlation response in (26) weights each occupied tone by the mask po wer , we use | a s,i [ n ] | 2 as the per-tone weights within subband i , normalized by the total mask power which yields g s (0) = 1 . T o factor out the subband-center phase term and isolate the within-subband shape, we define the basebanded response of each subband i ∈ { 1 , 2 } as: G i ( τ ) = X n ∈K s,i | a s,i [ n ] | 2 P m ∈K s | a s [ m ] | 2 e − j 2 π  f [ n ] − f c,i  τ . (27) Then the overall response can be written as g s ( τ ) = e − j 2 πf c, 1 τ G 1 ( τ ) + e − j 2 πf c, 2 τ G 2 ( τ ) . (28) Equation (28) directly yields the two-scale behavior ob- served for gapped allocations. The slo wly varying env e- lope is governed by the magnitudes | G 1 ( τ ) | and | G 2 ( τ ) | , 8 0 5 10 15 20 25 = [ns] 0 0.2 0.4 0.6 0.8 1 Normalized |g s ( = )| A1: 160 MHz cont. A2: 80+80 MHz, gap 160 MHz A3: 80+80 MHz, gap 400 MHz solid: original scenarios dashed: contiguous reference (a) Group A scenarios. 0 5 10 15 20 25 = [ns] 0 0.2 0.4 0.6 0.8 1 Normalized |g s ( = )| B1: 160+160 MHz cont. B2: 160+160 MHz, gap 160 MHz B3: 160+160 MHz, gap 320 MHz solid: original scenarios dashed: contiguous reference (b) Group B scenarios. Fig. 5. Normalized single-path delay response | g s ( τ ) | defined in (26) for Groups A and B. which are set primarily by the contiguous subband band- width B sb and the within-subband weighting. When the two subbands have comparable structure (e.g., similar bandwidth and weighting), these en velopes are similar and define a common decay profile. Superimposed on this en velope is a faster oscillatory modulation arising from the relativ e phase rotation between the two subband contributions. Specifically , the phase dif ference ev olves as 2 π ∆ f c τ , producing alternating reinforcement and cancellation with characteristic spacing on the order of 1 / ∆ f c . In the symmetric case, deep minima occur near τ ≈ ( m + 1 2 ) / ∆ f c , m = 0 , 1 , 2 , . . . , where the two subband contributions are approximately out of phase. Additional near -zeros can occur due to the intrinsic null structure of G i ( τ ) itself; thus, the observ ed minima reflect the combined effect of the per-subband en velope (set by B sb and weighting) and inter-subband interference (set by ∆ f c ). For illustration, consider scenario A2, for which ∆ f c = 240 MHz and B sb = 80 MHz. This yields gap-induced minima near τ 0 ,m ≈ { 2 . 08 , 6 . 25 , 10 . 42 , 14 . 58 , 18 . 75 , . . . } ns. In addition, the main env elope produces minima at roughly integer multi- ples of 1 /B sb , which for A2 corresponds to { 12 . 5 , 25 , . . . } ns. B. Delay Response and Sidelobes: T wo P aths Case The single-path response g s ( τ ) captures how a gapped spectral window maps into deterministic delay sidelobes. In practice, we hav e multipath en vironment and the recei ved CFR is a superposition of multiple delay-dependent phase progressions that belong to those multipath components, so the same sidelobe structure directly affects practical estimators that scan candidate delays and select peaks. T o illustrate this, we consider a two-path model from (10). Then, a standard matched-filter delay scan is obtained by testing candidate delays τ . For each τ , the measured CFR samples on the occupied tones are correlated with the phase progression that a single propagation path at delay τ would induce across frequency , i.e., e − j 2 πf [ n ] τ , using the same mask- based weighting as in (26). For scenario s , the resulting noise- free scan is: T s ( τ ) =      X n ∈K s | a s [ n ] | 2 H  f [ n ]  e j 2 πf [ n ] τ      = | α 1 g s ( τ − τ 1 ) + α 2 g s ( τ − τ 2 ) | . (29) The scan is the magnitude of a superposition of two shifted copies of the single-path response. Unlike | g s ( τ ) | , the T s ( τ ) is not normalized later and its magnitude is scenario-dependent. It scales with α 1 , α 2 as well as with the coherent superposition of the two contributions α 1 g s ( τ − τ 1 ) and α 2 g s ( τ − τ 2 ) . Fig. 6 visualizes the two-path scan response T s ( τ ) under presented scenarios, highlighting how sidelobe structure and peak contrast change with spectral gaps. SNR is set to 20 dB, with α 1 = 1 and α 2 = 0 . 7 e j π/ 3 . The two delays are selected abov e the nominal span-limited resolvability of the smallest contiguous baselines, while remaining in a regime where sidelobe interactions can be visually assessed. Specifically , Group A uses ( τ 1 , τ 2 ) = (5 , 15) ns, and Group B uses ( τ 1 , τ 2 ) = (5 , 10) ns. These v alues are chosen so that path separations exceed the 1 /B W resolution limit of contiguous baseline scenarios A1 and B1 (approximately 6.25 ns and 3.13 ns respectively). This highlights how introducing a spectral gap, while using the same total bandwidth, just with the gap inbetween and increased aperture changes the effecti ve delay response, most notably the sidelobe structure and the contrast between the two peaks, relativ e to single-band baseline. T able II quantifies the peak distortions visible in Fig. 6. The estimate ˆ τ l is location of the largest value of | T s ( τ ) | obtained by restricted search over a small neighborhood around true delay τ l . The results sho w that a larger aperture can sharpen the mainlobe (e.g., A3 versus A1), but that gap-shaped sidelobes and the relative path configuration can still pull the peak away from the true delay , ev en when the mainlobe is sharper (e.g., A2 v ersus A1 for second path). Consequently , increasing aperture does not translate monotonically into improved multi- path localization. Performance is jointly governed by mainlobe sharpness and the sidelobe/ambiguity structure induced by the allocation and the specific multipath geometry . C. Sidelobe Leakage and Practical Impact T aking into account the delay-response behavior under non- contiguous spectrum, the CRLB is complemented with an explicit sidelobe/leakage characterization. The CRLB predicts local estimation variance within the correct likelihood basin, whereas deterministic sidelobes can introduce ambiguity and separation-dependent coupling between paths that is not re- flected in the bound. This motiv ates introducing a normalized leakage function to interpret the two-path CRLB curve. 9 0 5 10 15 20 25 = [ns] 0 0.2 0.4 0.6 0.8 1 1.2 |T s ( = )| A1: 160 MHz cont. A2: 80+80 MHz, gap 160 MHz A3: 80+80 MHz, gap 400 MHz True delays: = 1 =5.0 ns, = 2 =15.0 ns (a) Group A scenarios ( τ 1 = 5 ns, τ 2 = 15 ns). 0 5 10 15 20 25 = [ns] 0 0.2 0.4 0.6 0.8 1 1.2 |T s ( = )| B1: 160+160 MHz cont. B2: 160+160 MHz, gap 160 MHz B3: 160+160 MHz, gap 320 MHz True delays: = 1 =5.0 ns, = 2 =10.0 ns (b) Group B scenarios ( τ 1 = 5 ns, τ 2 = 10 ns). Fig. 6. T wo-path matched-filter delay scans T s ( τ ) at SNR = 20 dB, with α 1 = 1 and α 2 = 0 . 7 e j π/ 3 . V ertical dashed lines mark the true delays. T ABLE II L O CA L P E A K LO C A T I O NS O F T H E T WO - PA T H M A T C H ED - FI L T E R S CA N | T s ( τ ) | I N A N EI G H B OR H O O D O F E AC H T RU E D E LAY . R E P OR TE D A R E T HE E S TI M A T E D P EA K P O S IT I O N S ˆ τ l A N D TH E O FF S ET S ∆ τ l = ˆ τ l − τ l . ID ˆ τ 1 [ns] ∆ τ 1 [ns] ˆ τ 2 [ns] ∆ τ 2 [ns] A1 4.839 − 0 . 161 15.229 +0 . 229 A2 5.156 +0 . 156 14.591 − 0 . 409 A3 5.019 +0 . 019 14.975 − 0 . 025 B1 4.916 − 0 . 084 10.116 +0 . 116 B2 4.943 − 0 . 057 10.108 +0 . 108 B3 5.080 +0 . 080 9.792 − 0 . 208 T o connect the CRLB trends to the sidelobe structure, we annotate the two-path CRLB curve p CRLB(∆ τ ) , computed from (21) using a normalized leakage lev el deriv ed from the single-path response in (26). For scenario s , we ev aluate: ℓ s (∆ τ ) = | g s (∆ τ ) | | g s (0) | , (30) where ∆ τ is the relati ve delay defined in (11). This quantity is the normalized magnitude of the correlation response at an offset ∆ τ , and it directly measures how much a unit path at one delay leaks into a hypothesis offset by ∆ τ under the same tone set K s and weights | a s [ n ] | 2 . In the two-path scan in (29), this leakage appears symmetrically in both directions, so ev aluating the scan at τ = τ 1 contains an undesired contribution proportional to α 2 g s ( τ 1 − τ 2 ) , while ev aluating it at τ = τ 2 contains an undesired contrib ution proportional to 10 -1 10 0 10 1 10 2 " = [ns] 10 -3 10 -2 10 -1 10 0 p CRLB( " = ) [ns] 0 0.2 0.4 0.6 0.8 1 Normalized leakage A1: 160 MHz cont. A2: 80+80 MHz, gap 160 MHz A3: 80+80 MHz, gap 400 MHz (a) Group A scenarios. 10 -1 10 0 10 1 10 2 " = [ns] 10 -3 10 -2 10 -1 p CRLB( " = ) [ns] 0 0.2 0.4 0.6 0.8 1 Normalized leakage B1: 160+160 MHz cont. B2: 160+160 MHz, gap 160 MHz B3: 160+160 MHz, gap 320 MHz (b) Group B scenarios. Fig. 7. p CRLB(∆ τ ) versus ∆ τ , with color indicating the normalized leakage level ℓ s (∆ τ ) at SNR = 20 dB, with α 1 = 1 and α 2 = 0 . 7 e j π/ 3 . α 1 g s ( τ 2 − τ 1 ) . In radar literature, related sidelobe summaries are often reported as a single scalar , e.g., peak sidelobe lev el as max τ  =0 | g s ( τ ) | / | g s (0) | , or integrated sidelobe le vel as an energy-type integral ov er τ  = 0 . Here we keep the full separation-dependent function ℓ s (∆ τ ) because the rele vant coupling between two paths depends on the actual separation ∆ τ . Figure 7 shows p CRLB(∆ τ ) with color indicating the separation-dependent leakage lev el ℓ s (∆ τ ) . The key obser- vation is that non-contiguous allocations produce an oscilla- tory leakage pattern, consistent with the sidelobes in Fig. 5. These oscillations explain the non-monotone behavior of the CRLB versus ∆ τ : separations where ℓ s (∆ τ ) is small (blue) correspond to weaker inter-path coupling and typically lower p CRLB(∆ τ ) , whereas separations where ℓ s (∆ τ ) is larger (yellow/green) indicate stronger coupling and a degraded bound and performance. Relativ e to contiguous baselines, gapped allocations therefore exhibit separation-selectiv e iden- tifiability: some separations benefit from leakage nulls, while others remain difficult due to leakage peaks, ev en at the same total span. Importantly , the high-leakage regions are also where practical delay scans in (29) are most prone to peak competition and peak pulling, so estimators can e xhibit outliers in regimes that a purely local CRLB does not capture. 10 V I . C O N C L U S I O N This paper in vestigates multipath delay estimation un- der Wi-Fi compliant non-contiguous spectrum by combining estimation-theoretic analysis with an explicit characterization of gap-induced delay domain beha vior . The results sho w that, while multiband aggregation is fundamentally beneficial due to increased frequency aperture, spectral fragmentation introduces structured ef fects that strongly influence practical resolvability . The CRLB analysis confirms that the larger effecti ve aper- tures generally reduce the achiev able v ariance of delay separa- tion estimates, even when the spectrum is split across distant subbands. This supports the use of multiband aggre gation in W i-Fi based ISAC systems. Howe ver , gapped allocations exibit pronounced separation-dependent oscillations in the bound, caused by inter-path coupling across disjoint frequency regions. Consequently , delay resolvability depends not only on total aperture of occupied bandwidth, but also on the placement and geometry of spectral gaps. Beyond the CRLB bound, delay-domain analysis sho ws that non-contiguous spectrum fundamentally reshapes the de- lay response through deterministic sidelobes, whose spacing is determined primarily by the separation between subband centers and persist ev en at high SNR. As a result, practical delay estimators based on correlation or peak selection may experience competing peaks or outliers in regimes where CRLB remains small, highlighting the limitations of local performance interpretation. The proposed normalized leakage metric provides a direct link between spectral occupancy and these effects. By quantifying separation-dependent coupling induced by the gapped spectral window , the metric explains both the oscillatory behavior of the CRLB and the ambiguous peaks in practical delay scans. Compared to contiguous allo- cations, gapped configurations exibit a structured sidelobes in which some path separations become easier to resolve, while others remain prone to strong coupling despite identical total bandwidth of used channels. These observations point to sev eral promising research di- rections. While the CRLB characterizes local performance lim- its, non-contiguous spectrum requires global and ambiguity- aware performance metrics. Moreover , gap-aware estimation methods should include sidelobe-weighting and multi-peak testing to exploit fav orable leakage conditions or av oid highly ambiguous scenarios and further enhance robustness in W i-Fi sensing. A P P E N D I X A. FIM Structure and Index Mapping For θ = [ τ 1 τ 2 α 1Re α 1Im α 2Re α 2Im ] T , the 6 × 6 FIM can be written as: I s ( θ ) =         I 11 I 12 I 13 I 14 I 15 I 16 I 21 I 22 I 23 I 24 I 25 I 26 I 31 I 32 I 33 I 34 I 35 I 36 I 41 I 42 I 43 I 44 I 45 I 46 I 51 I 52 I 53 I 54 I 55 I 56 I 61 I 62 I 63 I 64 I 65 I 66         =  I τ τ I τ α I ατ I αα  , (31) with: I ij = 2 σ 2 s ℜ  d H i d j  , (32) and the index order: (1 , 2 , 3 , 4 , 5 , 6) ↔ ( τ 1 , τ 2 , α 1Re , α 1Im , α 2Re , α 2Im ) . (33) B. Derivative V ectors The deriv ativ e vectors are: d 1 = ∂ µ s ∂ τ 1 = − j 2 π α 1  a s [ n ] f [ n ] e − j 2 πf [ n ] τ 1  n ∈ K s d 2 = ∂ µ s ∂ τ 2 = − j 2 π α 2  a s [ n ] f [ n ] e − j 2 πf [ n ] τ 2  n ∈ K s d 3 = ∂ µ s ∂ α 1Re =  a s [ n ] e − j 2 πf [ n ] τ 1  n ∈ K s d 4 = ∂ µ s ∂ α 1Im = j  a s [ n ] e − j 2 πf [ n ] τ 1  n ∈ K s d 5 = ∂ µ s ∂ α 2Re =  a s [ n ] e − j 2 πf [ n ] τ 2  n ∈ K s d 6 = ∂ µ s ∂ α 2Im = j  a s [ n ] e − j 2 πf [ n ] τ 2  n ∈ K s (34) Here α 1 = α 1Re + j α 1Im and α 2 = α 2Re + j α 2Im . C. Delay-Delay Block The diagonal delay terms are: I 11 = 2 σ 2 s ℜ  d H 1 d 1  = = 8 π 2 σ 2 s  α 2 1Re + α 2 1Im  X n ∈ K s | a s [ n ] | 2 f [ n ] 2 , I 22 = 2 σ 2 s ℜ  d H 2 d 2  = = 8 π 2 σ 2 s  α 2 2Re + α 2 2Im  X n ∈ K s | a s [ n ] | 2 f [ n ] 2 . (35) The off-diagonal delay terms are: I 12 = I 21 = 8 π 2 σ 2 s ℜ ( ( α 2Re + j α 2Im )( α 1Re − j α 1Im ) × X n ∈ K s | a s [ n ] | 2 f [ n ] 2 e − j 2 πf [ n ]( τ 2 − τ 1 ) ) . (36) D. Gain-Gain Block The gain-related terms are: I 33 = 2 σ 2 s ℜ  d H 3 d 3  = 2 σ 2 s X n ∈ K s | a s [ n ] | 2 , I 44 = 2 σ 2 s ℜ  d H 4 d 4  = 2 σ 2 s X n ∈ K s | a s [ n ] | 2 , I 55 = 2 σ 2 s ℜ  d H 5 d 5  = 2 σ 2 s X n ∈ K s | a s [ n ] | 2 , I 66 = 2 σ 2 s ℜ  d H 6 d 6  = 2 σ 2 s X n ∈ K s | a s [ n ] | 2 . (37) 11 The within-path gain cross terms are: I 34 = I 43 = 2 σ 2 s ℜ  d H 3 d 4  = 0 , I 56 = I 65 = 2 σ 2 s ℜ  d H 5 d 6  = 0 . (38) The cross-path gain terms are: I 35 = I 53 = I 46 = I 64 = 2 σ 2 s ℜ  d H 3 d 5  = = 2 σ 2 s ℜ ( X n ∈ K s | a s [ n ] | 2 e − j 2 πf [ n ]( τ 2 − τ 1 ) ) , I 36 = I 63 = 2 σ 2 s ℜ  d H 3 d 6  = = − 2 σ 2 s ℑ ( X n ∈ K s | a s [ n ] | 2 e − j 2 πf [ n ]( τ 2 − τ 1 ) ) , I 45 = I 54 = 2 σ 2 s ℜ  d H 4 d 5  = = 2 σ 2 s ℑ ( X n ∈ K s | a s [ n ] | 2 e − j 2 πf [ n ]( τ 2 − τ 1 ) ) . (39) All remaining gain-gain entries follow by symmetry . E. Delay-Gain Mixed T erms The mixed terms are: I 13 = I 31 = 2 σ 2 s ℜ  d H 1 d 3  = 4 π σ 2 s α 1Im X n ∈ K s | a s [ n ] | 2 f [ n ] , I 14 = I 41 = 2 σ 2 s ℜ  d H 1 d 4  = − 4 π σ 2 s α 1Re X n ∈ K s | a s [ n ] | 2 f [ n ] , I 25 = I 52 = 2 σ 2 s ℜ  d H 2 d 5  = 4 π σ 2 s α 2Im X n ∈ K s | a s [ n ] | 2 f [ n ] , I 26 = I 62 = 2 σ 2 s ℜ  d H 2 d 6  = − 4 π σ 2 s α 2Re X n ∈ K s | a s [ n ] | 2 f [ n ] . (40) The separation-dependent mixed terms are: I 15 = I 51 = 2 σ 2 s ℜ  d H 1 d 5  = 4 π σ 2 s ℜ ( ( α 1Im + j α 1Re ) × X n ∈ K s | a s [ n ] | 2 f [ n ] e − j 2 πf [ n ]( τ 2 − τ 1 ) ) , I 16 = I 61 = 2 σ 2 s ℜ  d H 1 d 6  = 4 π σ 2 s ℜ ( ( α 1Re − j α 1Im ) × X n ∈ K s | a s [ n ] | 2 f [ n ] e − j 2 πf [ n ]( τ 2 − τ 1 ) ) , (41) I 23 = I 32 = 2 σ 2 s ℜ  d H 2 d 3  = 4 π σ 2 s ℜ ( ( α 2Im + j α 2Re ) × X n ∈ K s | a s [ n ] | 2 f [ n ] e + j 2 πf [ n ]( τ 2 − τ 1 ) ) , I 24 = I 42 = 2 σ 2 s ℜ  d H 2 d 4  = 4 π σ 2 s ℜ ( ( α 2Re − j α 2Im ) × X n ∈ K s | a s [ n ] | 2 f [ n ] e + j 2 πf [ n ]( τ 2 − τ 1 ) ) . (42) Collecting all entries giv es the 6 × 6 FIM. F . Remarks on F requency Centering When the carrier frequency grid is centered, the sum P n ∈ K s | a s [ n ] | 2 f [ n ] can be close to zero, which reduces the influence of the linear frequency sum in delay-gain mixed FIM entries presented in (40). Under that condition, the multiband configuration enters mainly through quadratic frequency sums and through the weighted phase term e − j 2 πf [ n ]( τ 2 − τ 1 ) , which gov erns the CRLB dependence on ∆ τ . R E F E R E N C E S [1] M. A. Saeidi, H. T abassum, and M.-S. Alouini, “Multi-band wireless networks: Architectures, challenges, and comparativ e analysis, ” IEEE Communications Magazine , v ol. 62, no. 1, pp. 80–86, 2023. [2] S. Aboagye, M. Amin Saeidi, H. T abassum, Y . T ayyar , E. Hossain, H.-C. Y ang, and M.-S. Alouini, “Multi-band wireless communication networks: Fundamentals, challenges, and resource allocation, ” IEEE T ransactions on Communications , vol. 72, no. 7, pp. 4333–4383, 2024. [3] M. Rasti, S. K. T askou, H. T abassum, and E. Hossain, “Evolution toward 6g multi-band wireless networks: A resource management perspective, ” IEEE W ireless Communications , vol. 29, no. 4, pp. 118–125, 2022. [4] E. Khorov , I. Levitsk y , and I. F . Akyildiz, “Current status and directions of ieee 802.11be, the future wi-fi 7, ” IEEE Access , vol. 8, pp. 88 664– 88 688, 2020. [5] L. Galati-Giordano, G. Geraci, M. Carrascosa, and B. Bellalta, “What will wi-fi 8 be? a primer on ieee 802.11 bn ultra high reliability , ” IEEE Communications Magazine , v ol. 62, no. 8, pp. 126–132, 2024. [6] T . Kazaz, G. J. Janssen, J. Romme, and A.-J. V an der V een, “Delay estimation for ranging and localization using multiband channel state information, ” IEEE Tr ansactions on Wir eless Communications , vol. 21, no. 4, pp. 2591–2607, 2021. [7] J. Pegoraro, J. O. Lacruz, M. Rossi, and J. W idmer, “Hisac: high- resolution sensing with multiband communication signals, ” in Proceed- ings of the 22nd ACM Conference on Embedded Networked Sensor Systems , 2024, pp. 549–563. [8] Z. Xiao, Z. Zhou, Q. Dai, Y . Zeng, F . Y ang, and Y . Chen, “ Achieving full-bandwidth sensing performance with partial bandwidth allocation for isac, ” IEEE W ir eless Communications Letters , 2025. [9] S. Kato, P . W ang, T . Koike-Akino, T . Fujihashi, H. Mansour, and P . Boufounos, “Multi-band wi-fi neural dynamic fusion, ” IEEE T rans- actions on W ireless Communications , 2025. [10] A. Jekni ´ c, A. ˇ Svigelj, T . Jav ornik, and A. Hrovat, “Effects of non- contiguous spectrum on time-of-arriv al estimation in multiband isac, ” in 2025 International Conference on Software , T elecommunications and Computer Networks (SoftCOM) . IEEE, 2025, pp. 1–5. [11] J. A. Armenta-Garcia, F . F . Gonzalez-Nav arro, and J. Caro-Gutierrez, “W ireless sensing applications with wi-fi channel state information, pre- processing techniques, and detection algorithms: A survey , ” Computer Communications , vol. 224, pp. 254–274, 2024. [12] Z. Li, C. Chen, J. Zhang, C. R. Da Silva, O. Y urdusev en, T . Q. Duong, and S. L. Cotton, “Sensing line of sight perturbations in 6 ghz wi-fi using channel model based features, ” IEEE Sensors Journal , 2025. 12 [13] J. Ding, Y . W ang, J. Zhang, H. Chen, H. Si, and J. Liu, “Multi-ap csi fusion and features optimization-based behavioral sensing on wifi platform, ” IEEE Sensors Journal , vol. 23, no. 22, pp. 27 601–27 612, 2023. [14] P . Picazo-Martinez, C. Barroso-Fern ´ andez, A. Calvillo-Fernandez, M. Groshe v , C. J. Bernardos, A. de la Oliv a, and A. Mourad, “802.11 bf multiband passive sensing: Reusing wi-fi signaling for sensing, ” IEEE Internet of Things Journal , 2026. [15] S. Dimce and F . Dressler , “Survey on coherent multiband splicing tech- niques for wideband channel characterization, ” IET Communications , vol. 18, no. 19, pp. 1319–1334, 2024. [16] S. Dimce, A. Zubow , A. Bayesteh, G. Caire, and F . Dressler , “Recon- sidering sparse sensing techniques for channel sounding using splicing, ” IEEE T ransactions on Mobile Computing , 2025. [17] K. Wu, J. Pe goraro, F . Meneghello, J. A. Zhang, J. O. Lacruz, J. W idmer , F . Restuccia, M. Rossi, X. Huang, D. Zhang et al. , “Sensing in bistatic isac systems with clock asynchronism: A signal processing perspectiv e [special issue on signal processing for the integrated sensing and communications rev olution], ” IEEE Signal Pr ocessing Magazine , vol. 41, no. 5, pp. 31–43, 2024. [18] Y . W an, Z. Hu, A. Liu, R. Du, T . X. Han, and T . Q. Quek, “Ofdm-based multiband sensing for isac: Resolution limit, algorithm design, and open issues, ” IEEE V ehicular T echnology Magazine , 2024. [19] F . Meneghello, A. Blanco, A. Cusano, J. Widmer , and M. Rossi, “Wi-fi multi-path parameter estimation for sub-7 ghz sensing: A comparative study , ” in 2023 19th International Conference on W ireless and Mobile Computing, Networking and Communications (W iMob) . IEEE, 2023, pp. 237–242. [20] H. Dun, C. C. Tiberius, C. Diouf, and G. J. Janssen, “Sparse signal bands selection for precise time-based ranging in terrestrial positioning, ” in 2020 IEEE/ION P osition, Location and Navigation Symposium (PLANS) , 2020, pp. 1372–1380. [21] Y . W an, A. Liu, R. Du, T . X. Han, and T . Q. Quek, “Fundamental limits and optimization of multiband delay estimation in ofdm systems, ” IEEE Internet of Things Journal , vol. 11, no. 19, pp. 31 112–31 127, 2024. [22] S. M. Kay , Fundamentals of statistical signal pr ocessing: estimation theory . Prentice-Hall, Inc., 1993. [23] P . Stoica, R. L. Moses et al. , Spectral analysis of signals . Pearson Prentice Hall Upper Saddle Ri ver , NJ, 2005, vol. 452. [24] H. L. V an Trees and K. L. Bell, Detection estimation and modulation theory , part I: detection, estimation, and filtering theory . John W iley & Sons, 2013. [25] E. L. Lehmann and G. Casella, Theory of point estimation . Springer, 1998. [26] IEEE, “IEEE Standard for Information T echnology–T elecommunications and Information Exchange between Systems Local and Metropolitan Area Networks–Specific Requirements Part 11: W ireless LAN Medium Access Control (MA C) and Physical Layer (PHY) Specifications, ” IEEE Std 802.11-2024 (Re vision of IEEE Std 802.11-2020), pp. 1–5956, 2025.

Original Paper

Loading high-quality paper...

Comments & Academic Discussion

Loading comments...

Leave a Comment