Temperature and Respiratory Emergency Department Visits: A Mediation Analysis with Ambient Ozone Exposure

High temperatures are associated with adverse respiratory health outcomes and increases in ambient air pollution. Limited research has quantified air pollution's mediating role in the relationship between temperature and respiratory morbidity, such a…

Authors: Chen Li, Thomas W. Hsiao, Stefanie Ebelt

Temperature and Respiratory Emergency Department Visits: A Mediation Analysis with Ambient Ozone Exposure
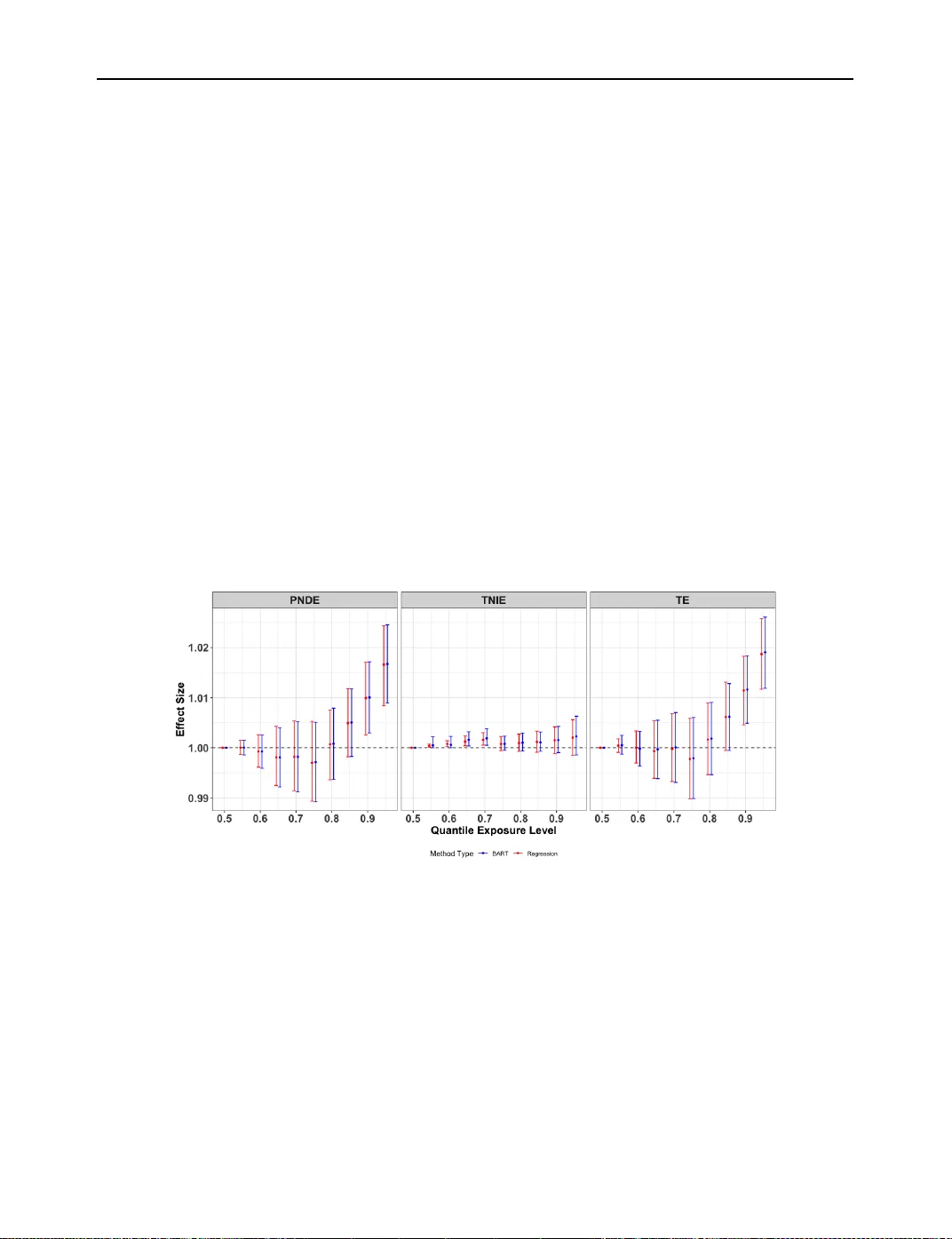
Journal Title Here , 2022, 1–13 doi: DOI HERE Advance Access Publication Date: Da y Month Y ear P ap er T emp erature and Respirato ry Emergency Depa rtment Visits: A Mediation Analysis with Ambient Ozone Exp osure Chen Li, 1 Thomas W. Hsiao , 1, ∗ Stefanie Eb elt , 2 Reb ecca H. Zhang 1 and Ho w a rd H. Chang 1,2 1 Depa rtment of Biostatistics and Bioinfo rmatics, The Rollins Scho ol of Public Health of Emory Universit y , 1518 Clifton Rd. N.e., 30322, GA, USA and 2 Ganga rosa Depa rtment of Environmental Health, The Rollins Scho ol of Public Health of Emo ry University , 1518 Clifton Rd. N.e., 30322, GA, USA ∗ Corresponding author. thsiao3@emory .edu FOR PUBLISHER ONL Y Received on Date Month Y ea r; revised on Date Month Y ear; accepted on Date Month Y ear Abstract High temperatures are asso ciated with adverse respirato ry health outcomes and increases in ambient air pollution. Limited research has quantified air p ollution’s mediating role in the relationship b etw een temp erature and respirato ry mo rbidit y , such as emergency department (ED) visits. In this study , we conducted a causal mediation analysis to decomp ose the total effect of daily temp erature on respiratory ED visits in Los Angeles from 2005 to 2016. We fo cused on ambient ozone as a mediator because its precurso rs and fo rmation are directly driven by sunlight and temp erature. We estimated natural direct, indirect, and total effects on the relative risk scale across deciles of temp erature exposure compared to the median. We utilized Bay esian additive regression trees (BART) to flexibly characterize the nonlinear relationship b etw een temp erature and ozone and quantified uncertaint y via posterior prediction and the Bay esian b o otstrap. Our results show ed that ozone partially mediated the asso ciation b etw een high temp eratures and respiratory ED visits, particula rly at mo derately high temp eratures. W e also validated our mo deling approach through simulation studies. This study extends the existing literature b y considering acute respiratory morbidit y and employing a flexible modeling approach, offering new insights into the mechanisms underlying temp erature-related health risks. Key w o rds: high temp erature, ozone p ollution, respirato ry emergency department (ED) visit, causal mediation, Bay esian Additive Regression T ree. 1. Intro duction High ambien t temp erature p oses significant health risk globally . Studies ha v e rep orted asso ciations b etw een short-term high temperature exposure and v arious adv erse health outcomes, including total and cause-specific mortalit y (Moghadamnia et al., 2017; Lin et al., 2023; Ha jat and Kosatky, 2010), hospital encounters (La y et al., 2018; Winquist et al., 2016; Knowlton et al., 2009; Lin et al., 2009; Lee and Y o on, 2024; Ma et al., 2019), and p o or birth outcomes (Strand et al., 2011). In particular, heat exp osure can exacerbate respiratory diseases, such as asthma, chronic obstructiv e pulmonary disease and respiratory tract infections (Anderson © The Autho r 2022. Published by Oxford Universit y Press. All rights reserved. Fo r permissions, please e-mail: journals.p ermissions@oup.com 1 2 Author Name et al. et al., 2013; Zhu et al., 2025). Poten tial mechanisms include heat-induced changes in lung function (Kenny et al., 2010), pulmonary injury due to inhaling hot air (Hay es Jr et al., 2012), and the use of medications that impact thermo-regulation (Meade et al., 2020). The num ber of hospitalizations and disease burden for respiratory disease attributable to extreme heat is pro jected to increase o v er the next 50 to 70 years due to climate change (Lin et al., 2012). Ambien t ground-lev el ozone is another imp ortant environmen tal risk factor for respiratory health. Studies ha ve consistently shown that short-term exp osure to ozone is asso ciated with respiratory mortality and morbidit y (Magzamen et al., 2017; Ahn et al., 2025), and can further harm lung tissue, increase inflammation in the airw a ys, and heighten the lungs’ sensitivit y to other irritan ts (Filippidou and Kouk ouliata, 2011). Ozone is a secondary p ollutant generated by sunligh t-driv en chemical reactions b etw een NO x and volatile organic comp ounds (V OC), including methane (CH 4 ), CO and other more complex organic compounds (F o wler et al., 2008). Ambien t ozone concen trations are often highly correlated with temp erature (Blo omer et al., 2009), primarily due to temperature-dep endent increases in c hemical reaction rates and enhanced emissions of ozone precursor comp ounds (Doherty et al., 2017). As a result, ozone may act as a p otential mediator on the causal path wa y linking temp erature to respiratory outcomes. Multiple studies hav e explored the p otential mediating role of ozone under a causal mediation framework and hav e rep orted p ositive relative risk of indirect effects through ozone with increasing temp erature (Alari et al., 2023; Gao et al., 2025). Other studies hav e identified p ositive indirect effects for ozone in the path wa y b etw een temp erature and other health outcomes, including non-accidental deaths (Bae et al., 2023), cardio v ascular di seases (Gong et al., 2024), and glomerular filtration rate decrease (Huang et al., 2025). Despite the growing b o dy of evidence supp orting the mediating role of ozone in the relationship b et w een temp erature and health, these studies all assumed a linear exp osure-mediator asso ciation b etw een temp erature and am bien t ozone. In addition, the outcome regression betw een temp erature and the health outcome was also assumed to b e linear and intera ctions b etw een temperature and ozone were not considered. It remains unclear ho w well these restrictiv e parametric assumptions hold in practice, motiv ating interest in flexible nonparametric models that can achiev e strong p erformance under minimal assumptions. In this study , we p erformed a causal mediation analysis to estimate the total, natural indirect, and natural direct effects of short-term temp erature exp osure on respiratory emergency department (ED) visits through am bien t ozone concen tration motiv ated by a dataset of daily respiratory ED visits in the Los Angeles metropoli tan area from 2005 to 2016. W e relax the strong parametric assumptions of previous analyses b y using Ba y esian additive regression trees (BAR T) to mo del the exp osure-mediator regression. W e then compute 95% confidence interv als for our mediation effect estimates through a computationally efficient Ba yesian b o otstrap method. W e v alidate our method through a comprehensive simulation exp eriment. 2. Data 2.1. Emergency Department Visits (Outcome) Daily counts of respiratory ED visits were obtained from the California Office of Statewide Health Planning and Developmen t for the Los Angeles metrop olitan area from 2005 to 2016. These records included b oth patien ts who were admitted to the hospital following an ED visit and those who were discharged directly from the ED. Respiratory ED visits were identified using primary and secondary In ternational Classification of Diseases (ICD) diagnosis co des (ICD-9 460-519 b efore Octob er 1st, 2015; ICD-10 J00-J99 afterwards). W e restricted the analysis to the warm season from May to Octob er, resulting in a total of 2,208 da ys. 2.2. Meteorological Data (Exp osure) Daily maximum temp erature in degree Celsius and daily av erage absolute h umidit y were acquired from the High-resolution Urban Meteorology for Impacts Datasets (HUMID), a gridded dataset that provides near-surface temp erature data for the contiguous U.S. at a 1km spatial resolution (Newman et al., 2024). This dataset explicitly accounts for urban heat islands b y emplo ying an urban canopy mo del using the High-Resolution Land Data Assimilation System (HRLDAS) (Monaghan et al., 2014). Bias-correction was p erformed using observ ations from v arious netw orks to improv e accuracy . Using the 1km meteorology pro duct, Short Article Title 3 w e first calculated a spatial av erage for eac h ZIP code o v erlapping the Los Angeles study area. Then, to obtain a single daily measure of exposure for the study area, a daily w eigh ted a v erage across ZIP codes w as computed using the ann ual p opulation for each ZIP code. 2.3. Ambient Ozone Data (Mediator) Daily 8-hour maxim um ozone concen trations were estimated using biased-corrected simulations of the Comm unity Multiscale Air Qualit y Mo deling System (CMAQ) at a 12km spatial resolution. CMAQ simulations were bias-corrected with observ ations from the EP A Air Quality System and land use v ariables (Senthilkumar et al., 2019). Similar to the meteorology exp osures, we computed daily ZIP co de p opulation w eighted av erages for the study area. 3. Metho d Let X denote the observed exp osure (temp erature), M the mediator (ambien t ozone concentration), Y the outcome (num ber of daily respiratory ED visits) and C a set of cov ariates (da y-of-y ear, humidit y , weekda y) that adjust for confounding of b oth the exp osure-outcome and mediator-outcome relationships. F or our application, b oth X and M are con tin uous while Y is a count v ariable. Let x ∗ denote the reference level of X and x the exp osed lev el. The unit of observ ation is an individual day i , but we suppress the date index in this section to simplify the notation. W e use f to denote probability densities, with subscripts sp ecifying the v ariables and conditioning sets. 3.1. Causal Assumptions W e use counterfactual random v ariables under the p otential outcomes framework to define our desired causal estimands. Let Y ( x ) denote the v alue Y that w ould b e observed if the exp osure X w ere set to x . Similarly let the nested counterfactual Y  x, M ( x ∗ )  denote the outcome Y that would b e observed if: 1) the exposure X w ere set to x , and 2) the mediator M were set to the v alue it w ould attain if the exp osure X w ere set to x ∗ . F or identification, w e assume the standard assumptions for causal mediation analysis (V anderW eele and V ansteelandt, 2010) as follows: 1. Consistency . If X = x , then M = M ( x ), and if additionally M = m , then Y = Y ( x, m ). 2. P ositivit y . F or all c with f C ( c ) > 0, f X | C ( x | c ) > 0 , f X | C ( x ∗ | c ) > 0 , f M | X, C ( m | x, c ) > 0 . 3. No unmeasured confounding for X → M . M ( x ) ⊥ ⊥ X | C . 4. No unmeasured confounding for M → Y . Y ( x, m ) ⊥ ⊥ M | X , C . 5. No unmeasured confounding for X → Y . Y ( x, m ) ⊥ ⊥ X | C . 6. Cross-w orld indep endence. Y ( x, m ) ⊥ ⊥ M ( x ∗ ) | C . 3.2. Causal Estimands and Identification W e no w define our five causal estimands of in terest. W e used the risk ratio scale rather than the risk difference to quantify our causal mediation effects. The pure natural direct effect (PNDE) and the total natural direct 4 Author Name et al. effect (TNDE) are defined as P N D E = E  Y  x, M ( x ∗ )  E  Y  x ∗ , M ( x ∗ )  , T N D E = E  Y  x, M ( x )  E  Y  x ∗ , M ( x )  . PNDE describ es how the v alue of Y c hanges when exp osure X increases from the reference level x ∗ to x , while k eeping the mediator M at the same v alue that it would attain when X = x ∗ . In con trast, TNDE describ es effects of changing X from x ∗ to x , while keeping M at the same v alue that it would attain under X = x . PNDE and TNDE are identical when there is no exposure-mediator interaction. Similarly , the pure natural indirect effect (PNIE) and total natural indirect effect (PNIE) can b e defined as: P N I E = E  Y  x ∗ , M ( x )  E  Y  x ∗ , M ( x ∗ )  , T N I E = E  Y  x, M ( x )  E  Y  x, M ( x ∗ )  . Finally , the total effect (TE) is defined as: T E = E  Y  x, M ( x )  E  Y  x ∗ , M ( x ∗ )  , where T E = T N D E × P N I E or alternatively T E = P N D E × T N I E . All the defined causal estimands are simple ratios of the mean nested counterfactual with different com binations of exp osure and mediator contrasts. By our causal assumptions, identification follows by the nonparametric mediation g -formula (Pearl, 2022): E  Y  x, M ( x ∗ )  = Z Z E ( Y | X = x, M = m, C = c ) f M | X = x ∗ , C ( m | c ) f ( c ) dmd c . (1) 3.3. Estimation and Inference The identification form ula (1) suggests that inference can pro ceed by estimation of tw o n uisance functions: 1) E ( Y | X = x, M = m, C = c ), the outc ome r e gr ession , and 2) f M | X, C ( m | c ), the me diator density . 3.3.1. Outcome regression W e assumed the outcome regression follo ws the established quasi-P oisson log-linear mo del for time-series analysis of temperature and hospital encounter counts (Gasparrini and Armstrong, 2010), given by log  E ( Y | X = x, M = m, C = c )  = θ 0 + f ( x, θ 1 ) + θ 2 m + 3 X h =1 θ 3 ,h I h ( x ) × m + θ ⊤ 4 c . (2) The temp erature effect f ( x, θ 1 ) was mo deled non-linearly using natural cubic splines with 6 degrees of freedom and θ 1 is the vector of basis co efficients. The ozone main effect θ 2 w as assumed to b e linear since there is limited evidence of non-linearit y from prior epidemiologic studies. T o capture the in teraction betw een temp erature and ozone concentration, w e categorized temp erature into four quartile categories. Here I h ( x ) denotes an indicator for the ( h + 1) th quartile of the ov erall distribution of temp erature X (ev aluates to 1 if x falls in that quartile and 0 otherwise). Other confounders in the health mo del included natural cubic splines for day-of-y ear with 6 degrees of freedom and their in teractions with indicators for years, natural cubic splines for sp ecific humidit y with 6 degrees of freedom, indicators for weekda y , and an indicator for federal holidays. 3.3.2. Mediator density In standard nonparametric causal inference, one would nonparametrically estimate the mediator densit y , which requires conditional density estimation. How ever, b ecause M is contin uous and C is multidimensional, direct estimation of this conditional density can b e unstable due to the curse of dimensionality . At the same time, w e would prefer to av oid imp osing strong parametric assumptions on the relationship among M , X , Short Article Title 5 and C . One approac h that complemen ts the quasi-Poisson log-linear outcome regression shifts the nuisance estimation burden from the conditional density to the conditional exp ectation E [ M | X = x, C = c ], while still p ermitting estimation of (1). T o see why , we substitute (2) into (1) and assume that the conditional distribution of M given X and C is Gaussian with constant v ariance σ 2 . Under this assumption, it follows that E  Y  x, M ( x ∗ )  = Z Z E ( Y | X = x, M = m, C = c ) f M | X = x ∗ , C ( m | c ) f ( c ) dmd c = exp { θ 0 + f ( x, θ 1 ) } Z exp { θ ⊤ 4 c } Z exp ( θ 2 m + θ 3 x m ) × f M | X = x ∗ , C ( m | c ) dm f ( c ) d c = exp { θ 0 + f ( x, θ 1 ) } Z exp { θ ⊤ 4 c } E  exp { θ 2 m + θ 3 x m ) } | X = x ∗ , C = c  f ( c ) d c = exp  θ 0 + f ( x, θ 1 ) + 1 2 ( θ 2 + θ 3 x ) 2 σ 2  E C  exp  θ ⊤ 4 C + ( θ 2 + θ 3 x ) E [ M | X = x ∗ , C ]   . (3) This new identification formula suggests that under our assumptions on the outcome regression, we can estimate E [ M | X, C ] and σ 2 instead of the mediator densit y . W e propose tw o metho ds to do this. Our main method uses Bay esian additive regression trees (Hill et al., 2020), or BAR T, to capture nonlinear and non-additiv e relationships b et ween the mediator M and exp osure X . BAR T is a Ba y esian non-parametric approac h that assumes M = G X g =1 T g ( X, C ) + ϵ, ϵ ∼ N (0 , σ 2 ) , (4) using a sum of G decision trees. Each T g is comp osed of a tree structure that enco des binary splits of co v ariates and a set of terminal leaf no de. Priors are designed to fav or shallow trees and shrink age across leaf no des. W e assumed the residual errors for M to b e Gaussian and included all confounders C used in the health mo del as cov ariates in BAR T. As a parametric alternative for comparison, w e also fitted a linear mo del: M = β 0 + g ( X , β 1 ) + β ⊤ 2 C + ϵ, ϵ ∼ N (0 , σ 2 ) . (5) The temp erature effect g ( x, β 1 ) was mo deled non-linearly using natural cubic splines with 6 degrees of freedom and β 1 is the v ector of basis co efficients. Both the BAR T and linear model metho ds allow us to estimate both E [ M | X , C ] and σ 2 to input in to (3). F ormulas for the five causal estimands under the identification in (3) and BAR T and linearity assumptions in (4) and (5) are given in the Supplementary Material. 3.3.3. Estimation and Uncertaint y Quan tification Uncertaint y for the estimators based on (3) was assessed by Monte Carlo simulations (Algorithm 1). W e first generated K = 20 , 000 sets of co efficients θ ( k ) from the asymptotic distribution of the outcome regression (2). F rom the BAR T mo del, we sp ecified 200 trees with a burn-in p erio d of 5,000 iterations and generated K samples of M ( k ) from the p osterior prediction distributions. F or each k th iteration, we plugged θ ( k ) and the prediction of M into (3) for each observ ation day to obtain the exp ectation of the counterfactual v ariables. Second, we accoun ted for the v ariability of the confounders C by performing a Bay esian Bootstrap. Instead of fitting BAR T on multiple bo otstrap replications generated by a parametric b o otstrap, we assigned different weigh ts to each observ ation in different iterations. Sp ecifically , for eac h iteration k , w e generated w eights for every observ ation day from a Dirichlet distribution with parameters w 1 = · · · = w T = 1, follow ed b y av eraging the weigh ted estimated expectation of counterfactual v ariables ov er all the observ ation days. Finally , we define the p oint estimate of the causal mediation effect as the mean of the nested counterfactual v ariables across iterations and the 95% confidence in terv al bounds are given b y the 2.5th and the 97.5th quan tiles. F or the conv en tional regression-based approach with a linear mediator regression, we obtained a closed-form estimate of E [ M | X = x ∗ , C ] and a parametric b o otstrap was used to obtain the confidence interv al. Additional details are giv en in the Supplementary Materials. 6 Author Name et al. Algorithm 1 BAR T-Based Estimation of E { Y ( x, M ( x ∗ )) } and Natural Effects Require: Observed data { Y t , X t , M t , C t } T t =1 , exp osure lev els x (exposed) and x ∗ (reference) Ensure: Posterior draws and 95% CIs for E [ Y ( x, M ( x ∗ ))] and deriv ed natural effects 1: Outcome mo del and identification. 2: Fit the quasi-Poisson log–linear outcome mo del in (2) and obtain ˆ θ and ˆ Σ = d V ar( ˆ θ ). Under the Gaussian w orking mo del M | X , C ∼ N ( E [ M | X , C ] , σ 2 ), the iden tification formula is E [ Y ( x, M ( x ∗ ))] = exp  θ 0 + f ( x, θ 1 ) + 1 2 ( θ 2 + θ 3 x ) 2 σ 2  × E C  exp  θ ⊤ 4 C + ( θ 2 + θ 3 x ) E [ M | X = x ∗ , C ]  . 3: Step 1: Draw co efficient samples for the outcome mo del. 4: F or k = 1 , . . . , K (e.g., K = 20 , 000), draw θ ( k ) ∼ MV N ( ˆ θ , ˆ Σ) . 5: Step 2: Fit BAR T mediator mo del and obtain E [ M | X = x ∗ , C ] and σ 2 . 6: Fit a BAR T model for E [ M | X, C ] and σ 2 using the observed data, 200 trees and a burn-in of 5,000 iterations. F or eac h p osterior dra w k and each day t = 1 , . . . , T , obtain from BAR T: ˆ m ( k,t ) | x ∗ ∼ N ( G X g =1 b T g ( X = x ∗ , C t ) , ˆ σ 2 ) . 7: Step 3: Compute conditional counterfactual means for eac h ( k , t ) . 8: for k = 1 , . . . , K do 9: for t = 1 , . . . , T do 10: Using θ ( k ) and ˆ m ( k,t ) | x ∗ , compute ˆ F ( x, x ∗ | C t ) ( k ) = exp n ˆ θ ( k ) 0 + f  x ; ˆ θ ( k ) 1  + ( ˆ θ ( k ) 4 ) ⊤ C t + ( ˆ θ ( k ) 2 + ˆ θ ( k ) 3 x ) ˆ m ( k,t ) | x ∗ + 1 2  ˆ θ ( k ) 2 + ˆ θ ( k ) 3 x  2 ˆ σ 2 o . 11: end for 12: Step 4: Bay esian Bo otstrap o v er C. 13: Dra w weigh ts for the T observ ation days as w ( k ) = ( w ( k ) 1 , . . . , w ( k ) T ) ⊤ ∼ Dirichlet(1 , . . . , 1). 14: F orm the Ba yesian Bo otstrap–weigh ted av erage: ˆ F ( x, x ∗ ) ( k ) avg = T X t =1 w ( k ) t ˆ F ( x, x ∗ | C t ) ( k ) . 15: Rep eat the same steps to obtain ˆ F ( x, x ) ( k ) avg , ˆ F ( x ∗ , x ∗ ) ( k ) avg , and ˆ F ( x ∗ , x ) ( k ) avg . 16: end for 17: Step 5: Construct p osterior draws for natural effects. 18: F or example, the pure natural direct effect (PNDE) on the multiplicativ e scale is PNDE ( k ) = ˆ F ( x, x ∗ ) ( k ) avg ˆ F ( x ∗ , x ∗ ) ( k ) avg , k = 1 , . . . , K. 19: Step 6: Poin t estimates and 95% interv als. 20: Posterior mean and empirical 0.025 and 0.975 quantiles of { PNDE ( k ) } K k =1 as the 95% interv al bounds. Short Article Title 7 4. Simulation Study W e conducted a simulation study to ev aluate estimation p erformance of the prop osed mediation analysis. First, we used the observed temp erature and other confounders in the Los Angeles application to develop tw o true mediation mo dels: a linear mo del and a BAR T model, to simulate ozone concen tration. Second, we simulated daily respiratory ED visits from a negative binomial distribution where co efficients in the health mo dels were estimated from the real data. Finally , we estimated PNDE, TNIE and TE of temp erature b y using either a linear regression mo del or BAR T to derive temp erature-ozone relationships. W e calculated p ercen t relativ e bias (%RB), root mean square error (RMSE) and 95% in terv al cov erage o v er 500 sim ulations. T able 1. Coverage (%), relative bias (RB), and root mean squared erro r (RMSE) fo r PNDE, TNIE, and TE across exp osure levels, true mo dels, and fitted mo dels. Exposure quantile T rue f M | X, C Fitted model PNDE TNIE TE %RB RMSE Coverage %RB RMSE Coverage %RB RMSE Cov erage 0.75 vs 0.50 Linear regression Linear regression 0.01976 0.00396 93.8 -0.00293 0.00070 92.6 0.01685 0.00409 95.0 Linear regression BAR T 0.02013 0.00396 95.0 -0.00560 0.00071 94.4 0.01457 0.00408 95.8 BAR T Linear regression -0.04086 0.00404 93.8 -0.00145 0.00073 92.8 -0.04230 0.00417 94.4 BAR T BAR T -0.02846 0.00399 94.0 0.00303 0.00078 94.2 -0.02541 0.00412 95.6 0.85 vs 0.50 Linear regression Linear regression 0.01561 0.00346 93.6 -0.00503 0.00106 93.4 0.01051 0.00341 94.4 Linear regression BAR T 0.01561 0.00346 94.6 -0.01850 0.00098 95.4 -0.00302 0.00341 95.4 BAR T Linear regression -0.02354 0.00351 93.4 0.01098 0.00115 92.4 -0.01262 0.00334 95.0 BAR T BAR T -0.01172 0.00350 95.0 0.00733 0.00113 95.4 -0.00454 0.00332 95.0 0.95 vs 0.50 Linear regression Linear regression 0.00210 0.00398 94.0 -0.00895 0.00179 93.4 -0.00717 0.00355 95.2 Linear regression BAR T 0.00754 0.00399 95.0 -0.01300 0.00180 94.6 -0.00611 0.00356 95.2 BAR T Linear regression 0.00023 0.00426 94.2 -0.01953 0.00197 93.2 -0.01942 0.00355 95.2 BAR T BAR T 0.01225 0.00430 93.8 -0.00571 0.00211 94.2 0.00597 0.00355 94.8 T able 1 represents the effects of temp erature at three quantile levels (0.75, 0.85, 0.95) compared to the median temp erature. Under scenarios in which data were generated b y linear regression, fitting the data with linear regression and BAR T resulted in comparable RMSE. The %RBs of PNDE and TNIE were larger for BAR T than for linear regression at all quantile lev els, whereas the %RB for the TE was smaller. Additionally , the BAR T-based method consisten tly demonstrated better co v erage relativ e to linear regression. F or the scenarios in which data w ere generated by the BAR T mo del, fitting the data with BAR T yielded b etter %RBs, reduced RMSEs and b etter co v erage rates than the traditional linear regression approac h when temp erature was at the 0.75 and 0.85 quantile level. At the 0.95 quantile level of temp erature, the %RBs, RMSEs, and cov erage of BAR T for TNIE and TE were similar to or b etter than those of the linear regression metho d, with the latter exhibiting a slightly smaller magnitude of %RB. Overall, the BAR T-based approach generally outp erformed or matched the traditional linear regression mo del across most metrics. Compared to the linear regression mo del, our BAR T method show ed equiv alen t p erformance under a linear temp erature- ozone relationship and improv ed performance under non-linear data structures, highlighting its flexibility and robustness relativ e to linear regression. 8 Author Name et al. 5. Application: Los Angeles Respiratory Emergency Depa rtment Visit Analysis The total n um ber of respiratory ED visits in Los Angeles during 2005-2016 was 345,922. The daily respiratory ED visit count ranged from 965 to 3,124, with a median of 1,548 visits p er day . The mean of daily maximum temp erature was 29.01 Celsius, with a standard deviation (SD) of 4.12. The mean of daily sp ecific humidit y w as 9.33 g/kg (SD = 1.50 g/kg). The mean of daily ambien t ozone concentration was 0.048 ppm (SD= 0.009 ppm). W e define the reference level x ∗ as the median (50th percentile) temp erature. Fig. 1: Relative risks of respiratory ED visits comparing daily maximum temp erature at different quantile levels with the reference temperature set at the 0.50 quantile (Left Panel) and for interquartile range increases in ambien t ozone concen tration at different quartiles of temp erature (Right Panel). Interv als indicate 95% confidence interv als. Figure 1 sho ws the relativ e risks associated with temperature and ozone from the health models. W e found a non-linear effect of temp erature with stronger asso ciations observed when temp erature exceeds the 0.85 quan tile compared to the median. W e also found significant asso ciations b etw een ozone and respiratory ED visits when temperature was at the 1st, 2nd, and 3rd quartiles. T able 2. Causal mediation effects and 95% confidence intervals (CI) for temperature deciles compared to the median temp erature (PNDE: pure natural direct effect; TNDE: total natural direct effect; PNIE: pure natural indirect effect; TNIE: total natural indirect effect; TE: total effect). Exposure Level PNDE TNDE PNIE TNIE TE 0.55 1.0000 (0.9986, 1.0015) 1.0000 (0.9986, 1.0015) 1.0005 (1.0000, 1.0022) 1.0005 (1.0000, 1.0022) 1.0005 (0.9987, 1.0025) 0.60 0.9993 (0.9959, 1.0026) 0.9993 (0.9959, 1.0026) 1.0006 (1.0000, 1.0023) 1.0006 (1.0000, 1.0023) 0.9998 (0.9963, 1.0033) 0.65 0.9981 (0.9922, 1.0040) 0.9981 (0.9922, 1.0040) 1.0016 (1.0004, 1.0032) 1.0016 (1.0004, 1.0032) 0.9997 (0.9939, 1.0055) 0.70 0.9982 (0.9912, 1.0052) 0.9982 (0.9912, 1.0052) 1.0019 (1.0005, 1.0038) 1.0019 (1.0005, 1.0038) 1.0001 (0.9931, 1.0070) 0.75 0.9971 (0.9892, 1.0051) 0.9959 (0.9872, 1.0046) 1.0021 (1.0005, 1.0041) 1.0008 (0.9995, 1.0023) 0.9979 (0.9899, 1.0061) 0.80 1.0008 (0.9937, 1.0079) 0.9991 (0.9912, 1.0071) 1.0027 (1.0008, 1.0051) 1.0010 (0.9994, 1.0029) 1.0018 (0.9946, 1.0091) 0.85 1.0051 (0.9983, 1.0118) 1.0032 (0.9958, 1.0106) 1.0029 (1.0008, 1.0055) 1.0011 (0.9993, 1.0032) 1.0062 (0.9995, 1.0128) 0.90 1.0100 (1.0030, 1.0172) 1.0075 (0.9999, 1.0151) 1.0041 (1.0012, 1.0069) 1.0016 (0.9990, 1.0042) 1.0116 (1.0049, 1.0183) 0.95 1.0167 (1.0089, 1.0245) 1.0129 (1.0045, 1.0213) 1.0054 (1.0029, 1.0081) 1.0021 (0.9994, 1.0048) 1.0191 (1.0119, 1.0261) The results from our causal mediation analysis are shown in T able 2. W e fo cus on the results for the 0.95 quantile exp osure level. F or the pure natural direct effect, the respiratory ED visit num ber increases by 1.67% (95% CI: 0.89%, 2.45%) when the temp erature increases from the reference median lev el to the exposure level, assuming that ambien t ozone concentration is fixed at the level it would be when the temp erature is at reference level. F or the total natural direct effect, the respiratory ED visit num ber increases b y 1.29% (95% Short Article Title 9 CI: 0.45%, 2.14%) when the temp erature increases from the reference to the exp osure level, assuming that am bient ozone concentration is fixed at the lev el it would b e when the temperature is at the exposed level. F or the pure natural indirect effect, the temperature remains fixed at the reference level, but the ambien t ozone concentr ation changes from its v alue when the temp erature is at the reference level (0.50 quantile) to the v alue when the temp erature is at the exp osed level (0.95 quan tile). This change in ambien t ozone exp osure results in a 0.54% (95% CI: 0.29%, 0.81%) increase in respiratory ED visit counts. F or the total natural indirect effect, the respiratory ED visit num ber is estimated to increase by 0.21% (95% CI: -0.06%, 0.48%) when the ambien t ozone concentration changes from the v alue when the temp erature is at the reference level (0.50 quantile) to the v alue when the temp erature is at the exp osed lev el (0.95 quan tile), assuming that the temp erature is fixed at the exp osed level. F or the total effect, the respiratory ED visit num ber increases b y 1.91% (95% CI: 1.19%, 2.61%) when temperature increases from the reference to the exp osed level. Results for the PNDE, TNIE, and TE are shown in Figure 2 to illustrate how mediation effects v ary nonlinearly across exp osure levels. As temp erature increased from the reference median lev el to higher lev els, the TE b ecame p ositive at elev ated temperatures and increased in magnitude b eyond appro ximately the 0.75 quan tile. The PNDE follo w ed a nearly identical pattern. In contrast, the TNIE w as small across most exp osure levels and w as distinguishable from the null primarily at mo derate temp erature quan tiles (approximately 0.65–0.75), although its p oint estimates w ere p ositive b eginning around the 0.60 quan tile. These results indicate a shift in the w a y temp erature affects ED visits across the exp osure range. At mo derate temp eratures, temp erature affects ED visits partly through changes in ozone concentration. A t higher temp eratures, how ev er, the increase in the TE is driven mainly by the direct effect of temp erature, with minimal con tribution from ozone mediation. Fig. 2: Comparison of causal mediation effects and 95% confidence in terv al (CI) for temp erature deciles compared to the median temp erature betw een the BAR T approach and the regression-based approach (PNDE: pure natural direct effect; PNIE: pure natural indirect effect; TE: total effect). Additionally , we compared our results from the BAR T approach with those from the regression-based approac h with parametric b o otstrap confidence interv als (Figure 2). The point estimates and estimated confidence in terv als of direct effects from these tw o metho ds were nearly identical. Although minor discrepancies were observ ed in the estimation of indirect effects b et ween the tw o metho ds, the results were o verall consisten t. Compared to our BAR T metho d, the regression-based approach resulted in narrow er confidence interv als for the indirect effect when the exposure level was low. 10 Author Name et al. 6. Discussion Using our proposed metho d, we analyzed 12 years of respiratory-related ED visit records in Los Angeles during the warm season. W e provide identification conditions and estimation pro cedures for natural direct effects of temp erature on ED visits and natural indirect effects through ambien t ozone concentrations. Our analysis provides additional epidemiological evidence that ambien t ozone partially mediates the asso ciation b et w een high temp erature and increased respiratory-related ED visits. F or example, at the 0.95th quantile exp osure level for temp erature, we rep orted a total natural indirect effect (TNIE) increase of 0.21% (95% CI: -0.06%, 0.48%) for ozone and a 1.91% (95% CI: 1.19%, 2.61%) increase in the total effect (TE). These results help elucidate the potential impact of ambien t ozone on the effect of heat on health outcomes. Though there has b een no study conducted sp ecifically on the causal mediation effects of ozone on the association b etw een temp erature and respiratory morbidity as measured by ED visits, our results are consistent with a previous study on respiratory mortality . A study in F rench urban areas estimated the p ooled NIE relative risk for ozone b eing 1.04 (95% CI: 1.00, 1.07) based on a binary exp osure v ariable indicating whether or not the day fell within a heat wa v e (Alari et al., 2023). A study in London also identified a p ositive relative risk for ozone of 1.009 (95 % CI: 1.000, 1.022) based on a binary exp osure of occ urrence of heatw a v e even ts (Gao et al., 2025). Moreov er, our results consolidate the finding that ozone p ositiv ely mediates the relationship b etw een high temp erature and v arious health outcomes. In the F rance study , p ositive mediating effects of ozone were iden tified on the relationship betw een high temperature and non-acciden tal and cardiov ascular mortalit y as 1.03 (95% CI: 1.02, 1.05) and 1.03 (95% CI: 1.01, 1.04). Another study conducted in South Korea found that indirect effects through increased ozone were 1.0002 (95%: 0.9999, 1.0004) and 1.0003 (95% CI: 1.0002, 1.0005) on days with higher than or low er than minimum mortalit y temp erature, resp ectively , based on a mo ving a v erage of daily mean temp erature as the exp osure v ariable and non-accidental death as the outcome (Bae et al., 2023). Additionally , a study in China also suggests that the indirect effect of temp erature on ischemic heart disease mortality through ozone w as 1.18 (Gong et al., 2024). In conclusion, our results sho w that the effect of high temperatures on respiratory-related ED visits can be explained partially through ozone, meaning that high temp eratures not only affect human respiratory health b y exp osing the p opulation to heat but also by generating ozone, particularly on days with moderately high temp erature. This study provides insight into the p otential role and mechanism driving the effect of high temp eratures on population health. Our study has several strengths. First, to the b est of our knowledge, our analysis is the first ozone mediation analysis to study temp erature’s effect on respiratory-related ED visits as opp osed to mortality . Compared to mortality , ED visits are more immediate and widespread measure of acute morbidity , and pro vide an improv ed understanding of the burden on healthcare systems. Our analysis is also the first to accoun t for a nonlinear tempe rature effect in the outcome regression. Second, w e developed a more flexible and robust method to estimate causal mediation effects b y integrating BAR T into the mediator regression. Previous mediation analyses relied on parametric linear (Alari et al., 2023; Bae et al., 2023; Gao et al., 2025) or Poisson regressions (Gong et al., 2024) to mo del the asso ciation b etw een temp erature and ozone. BA R T combines the strengths of mac hine learning and Bay esian inference, allowing it to capture nonlinear relationships and complex interactions while providing uncertain t y quantification (V arotsos et al., 2019). Our nonparametric sum-of-trees model flexibly estimates the mean structure, enabling the temp erature-ozone association to differ by humidit y , seasonality , and time p erio d (Hill et al., 2020). Third, we included in teraction terms b etw een temp erature and ambien t ozone in the outcome regression. Existing studies suggest interactions b etw een temperature and ozone on health outcomes (Kahle et al., 2015) and we identified significant interaction effects in our application as well. Omitting the interaction in the mode l can result in incorrect sp ecification of the health mo del, resulting in bias in the assessment of causal mediation effects (V anderW eele and V ansteelandt, 2010). Rep orting b oth the PNIE and TNIE allows us to ev aluate the mediator-outcome relationship at b oth the reference and exp osed levels of temp erature, thereby capturing p otential interaction b etw een ozone (mediator) and temp erature (exp osure). F ourth, in con trast to previous studies that relied on b o otstrap confidence interv als, we used samples from the Bay esian p osterior predictive distributions to obtain uncertaint y interv als. Our application inv olv es Short Article Title 11 time-series data of temp erature, ozone and ED visits, violating the indep endence assumption required for standard b o otstrap metho ds (K ¨ unsch, 1989). Our Bay esian b o otstrap ov ercomes this by av oiding resampling of temporally correlated observ ations, while also eliminating the need to rep eatedly fit BAR T on b o otstrap samples, which is highly computationally demanding. In future w ork, we plan to expand our metho d in the following wa ys. First, we assumed a log-linear relationship b etw een ozone and num ber of ED visits, although the true asso ciation may b e more complex. Allowing for nonlinearity in b oth the outcome and mediator regression could further impro v e the robustness of our method to strict parametric assumptions. Second, we did not incorp orate spatial information in to our procedure. Spatial heterogeneity of ozone’s mediation effects has previously b een observed in a study examining the mediation role of the relationship b etw een heat wa v es and mortality conducted in F rance (Alari et al., 2023). T o address this, we could apply our method to multiple regions separately , or incorp orate spatial heterogeneit y in to BAR T through spatial co v ariates (Jiang and W akefield, 2023). Third, we only included a single mediator in our analysis. A future direction is to ev aluate the mediation effects of multiple p ollutan ts (e.g., PM 2 . 5 ) on health outcomes. Previous studies hav e extended causal mediation frameworks to accommo date m ultiple mediators, such as sequen tial mediators (Steen et al., 2017) and longitudinal mediators (V ansteelandt et al., 2019). Building on these developmen ts, our approach could b e extended to estimate the causal effects of multiple or in teracting p ollutants. 7. Acknowledgments W e thank our health data source, the California Office of Statewide Planning and Dev elopment, now California Departmen t of Health Care Access and Information, and its contributing hospitals. The con ten ts of this publication including data analysis, interpretation, conclusions derived, and the views expressed herein are solely those of the authors and do not represent the conclusions or official views of the data source listed abov e. Authorization to release this information do es not imply endorsement of this study or its findings by this data source. The data source, their employ ees, officers, and agents make no representation, warran t y , or guaran tee as to the accuracy , completeness, currency , or suitabilit y of the information pro vided here References S. Ahn, C. Kang, J. Oh, H. Y un, S. Ahn, A. Kim, D. Kwon, J. P ark, H. Jang, and E. Kim. Heterogeneous associations between short-term am bient ozone exposure and morbidities from infants to seniors: A nationwide case-crossov er study in south korea. Journal of Hazar dous Materials A dvanc es , 17:100531, 2025. ISSN 2772- 4166. A. Alari, C. Chen, L. Sch w arz, K. Hdansen, B. Chaix, and T. Benmarhnia. The role of ozone as a mediator of the relationship between heat wa v es and mortality in 15 french urban areas. Americ an Journal of Epidemiolo gy , 192(6):949–962, 2023. ISSN 0002-9262. G. B. Anderson, F. Dominici, Y. W ang, M. C. McCormack, M. L. Bell, and R. D. Peng. Heat-related Emergency Hospitalizations for Respiratory Diseases in the Medicare Population. Americ an Journal of Respir atory and Critic al Car e Me dicine , 187(10):1098–1103, May 2013. ISSN 1073-449X. doi: 10.1164/rccm.201211- 1969OC. S. Bae, Y.-H. Lim, J. Oh, and H.-J. Kwon. Mediation of daily ambien t ozone concentration on asso ciation b etw een daily mean temp erature and mortalit y in 7 metropolitan cities of korea. Envir onment international , 178:108078, 2023. ISSN 0160-4120. B. J. Blo omer, J. W. Stehr, C. A. Piety , R. J. Salawitch, and R. R. Dick erson. Observed relationships of ozone air pollution with temp erature and emissions. Ge ophysical r ese ar ch letters , 36(9), 2009. ISSN 0094-8276. R. M. Dohert y , M. R. Heal, and F. M. O’Connor. Climate change impacts on human health over europ e through its effect on air quality . Envir onmental He alth , 16:33–44, 2017. E. Filippidou and A. Koukouliata. Ozone effects on the respiratory system. Pr o gr ess in He alth Scienc es , 1(2): 144–155, 2011. ISSN 2083-1617. D. F owler, M. Amann, R. Anderson, M. Ashmore, P . Cox, M. Depledge, D. Derwen t, P . Grennfelt, N. Hewitt, and O. Hov. Ground-level ozone in the 21st century: future tr ends, imp acts and policy implic ations . The Roy al Society , 2008. ISBN 0854037136. J. Gao, D. W ood, K. Katsouyanni, T. Benmarhnia, and D. Ev angelopoulos. The synergistic and mediating effects of ozone on associations b etw een high temp erature, heatw a v es and mortality in the greater london area b etw een 2010 and 2018. Environmental R ese ar ch , 277:121577, 2025. 12 Author Name et al. A. Gasparrini and B. Armstrong. Time series analysis on the health effects of temperature: adv ancemen ts and limitations. Envir onmental r esear ch , 110(6):633–638, 2010. X. Gong, F. Sun, L. W ei, Y. Zhang, M. Xia, M. Ge, and L. Xiong. Asso ciation of ozone and temp erature with ischemic heart disease mortality risk: Mediation and interaction analyses. Environmental Scienc e & T e chnolo gy , 58(46):20378–20388, 2024. ISSN 0013-936X. S. Ha jat and T. Kosatky . Heat-related mortality: a review and exploration of heterogeneity . Journal of Epidemiolo gy & Community Health , 64(9):753–760, 2010. ISSN 0143-005X. D. Hay es Jr, P . B. Collins, M. Khosravi, R.-L. Lin, and L.-Y. Lee. Bronchoconstriction triggered by breathing hot humid air in patients with asthma: role of cholinergic reflex. Americ an journal of respir atory and critical c ar e me dicine , 185(11):1190–1196, 2012. J. Hill, A. Linero, and J. Murray . Ba y esian additive regression trees: A review and look forward. Annual R eview of Statistics and Its Applic ation , 7(1):251–278, 2020. ISSN 2326-8298. Z. Huang, J. Lu, G. He, J. Hu, X. Guo, M. Chen, T. Liu, S. Lin, F. Liu, Y. Xu, et al. Ozone serve as mediator and effect modifier in the temper ature-egfr asso ciation: A longitudinal study on health examination cohort. Envir onmental Rese ar ch , page 122578, 2025. A. Z. Jiang and J. W akefield. Bart-simp: a novel framework for flexible spatial cov ariate mo deling and prediction using bay esian additive regression trees. arXiv pr eprint arXiv:2309.13270 , 2023. J. J. Kahle, L. M. Neas, R. B. Devlin, M. W. Case, M. T. Sc hmitt, M. C. Madden, and D. Diaz-Sanc hez. Interaction effects of temperature and ozone on lung function and markers of systemic inflammation, coagulation, and fibrinolysis: a crossov er study of healthy young volun teers. Envir onmental he alth p ersp e ctives , 123(4):310–316, 2015. ISSN 0091-6765. G. P . Kenny , J. Y ardley , C. Brown, R. J. Sigal, and O. Jay . Heat stress in older individuals and patients with common chronic diseases. Cmaj , 182(10):1053–1060, 2010. K. Knowlton, M. Rotkin-Ellman, G. King, H. G. Margolis, D. Smith, G. Solomon, R. T rent, and P . English. The 2006 california heat wa v e: impacts on hospitalizations and emergency department visits. Envir onmental health p ersp e ctives , 117(1):61–67, 2009. ISSN 0091-6765. H. R. K ¨ unsch. The jackknife and the b ootstrap for general stationary observ ations. The annals of Statistics , pages 1217–1241, 1989. ISSN 0090-5364. C. La y , D. Mills, A. Belov a, M. Sarofim, P . Kinney , A. V aidyanathan, R. Jones, R. Hall, and S. Saha. Emergency departmen t visits and ambien t temp erature: Ev aluating the connection and pro jecting future outcomes. Ge oHe alth , 2(6):182–194, 2018. ISSN 2471-1403. H. Lee and H.-Y. Y o on. Impact of ambien t temp erature on respiratory disease: a case-crossover study in seoul. R espir atory R ese ar ch , 25(1):73, 2024. ISSN 1465-993X. S. Lin, M. Luo, R. J. W alker, X. Liu, S.-A. Hwang, and R. Chinery . Extreme high temperatures and hospital admissions for respiratory and cardiov ascular diseases. Epidemiolo gy , 20(5):738–746, 2009. ISSN 1044-3983. S. Lin, W.-H. Hsu, A. R. V an Zutphen, S. Saha, G. Lub er, and S.-A. Hwang. Excessive heat and respiratory hospitalizations in new york state: estimating current and future public health burden related to climate change. Envir onmental health p ersp e ctives , 120(11):1571–1577, 2012. ISSN 0091-6765. S. Y. Lin, C. F. S. Ng, Y. Kim, Z. W. Htay , A. Q. Cao, R. Pan, and M. Hashizume. Ambien t temp erature and nervous system diseases-related mortality in japan from 2010 to 2019: a time-stratified case-crosso ver analysis. Scienc e of The T otal Envir onment , 867:161464, 2023. ISSN 0048-9697. Y. Ma, J. Zhou, S. Y ang, Z. Y u, F. W ang, and J. Zhou. Effects of extreme temp eratures on hospital emergency room visits for respiratory diseases in b eijing, china. Envir onmental Scienc e and Pol lution R ese ar ch , 26:3055–3064, 2019. ISSN 0944-1344. S. Magzamen, B. F. Mo ore, M. G. Y ost, R. A. F ensk e, and C. J. Karr. Ozone-related respiratory morbidity in a low-pollution region. Journal of o c cup ational and environmental me dicine , 59(7):624–630, 2017. ISSN 1076-2752. R. D. Meade, A. P . Akerman, S. R. Notley , R. McGinn, P . Poirier, P . Gosselin, and G. P . Kenny . Physiological factors characterizing heat-vulnerable older adults: a nar rative review. Envir onment international , 144:105909, 2020. M. T. Moghadamnia, A. Ardalan, A. Mesdaghinia, A. Keshtk ar, K. Naddafi, and M. S. Y ekaninejad. Am bien t temperature and cardiov ascular mortalit y: a systematic review and meta-analysis. Pe erJ , 5:e3574, 2017. ISSN 2167-8359. A. J. Monaghan, L. Hu, N. A. Brunsell, M. Barlage, and O. V. Wilhelmi. Ev aluating the impact of urban morphology configurations on the accuracy of urban canop y model temp erature sim ulations with modis. Journal of Ge ophysic al R ese ar ch: Atmospher es , 119(11):6376–6392, 2014. ISSN 2169-897X. A. J. Newman, C. Kalb, T. C. Chakrab orty , A. Fitch, L. A. Darrow, J. L. W arren, M. J. Strickland, H. A. Holmes, A. J. Monaghan, and H. H. Chang. The High-resolution Urban Meteorology for Impacts Dataset (HUMID) daily for the Con terminous United States. Scientific Data , 11(1):1321, Dec. 2024. ISSN 2052-4463. doi: Short Article Title 13 10.1038/s41597- 024- 04086- 2. J. Pearl. Dire ct and indir e ct effects , volume 36, pages 373–392. Asso ciation for Computing Machinery , New Y ork, NY, USA, 1 edition, Jan. 2022. ISBN 978-1-4503-9586-1. N. Senthilkumar, M. Gilfether, F. Metcalf, A. G. Russell, J. A. Mulholland, and H. H. Chang. Application of a fusion metho d for gas and particle air p ollutants b etw een observ ational data and chemical transport mo del simulations ov er the con tiguous united states for 2005–2014. International journal of envir onmental r ese ar ch and public he alth , 16(18):3314, 2019. ISSN 1660-4601. J. Steen, T. Loeys, B. Mo erkerk e, and S. V ansteelandt. Flexible mediation analysis with multiple mediators. Americ an journal of epidemiolo gy , 186(2):184–193 , 2017. L. B. Strand, A. G. Barnett, and S. T ong. The influence of season and ambien t temp erature on birth outcomes: a review of the epidemiological literature. Envir onmental r ese ar ch , 111(3):451–462, 2011. ISSN 0013 -9351. T. J. V anderW eele and S. V ansteelandt. Odds ratios for mediation analysis for a dichotomous outcome. Americ an journal of epidemiolo gy , 172(12):1339–1348, 2010. ISSN 1476-6256. S. V ansteelandt, M. Linder, S. V andenberghe, J. Steen, and J. Madsen. Mediation analysis of time-to-ev en t endpoints accounting for repeatedly measured mediators sub ject to time-v arying confounding. Statistics in me dicine , 38(24):4828–4840, 2019. K. V. V arotsos, C. Giannakopoulos, and M. T ombrou. Ozone-temp erature relationship during the 2003 and 2014 heatw a v es in europ e. R egional Envir onmental Change , 19:1653–1665, 2019. ISSN 143 6-3798. A. Winquist, A. Grundstein, H. H. Chang, J. Hess, and S. E. Sarnat. W arm season temp eratures and emergency department visits in atlanta, georgia. Envir onmental r ese ar ch , 147:314–323, 2016. ISSN 0013-9351. Z. Zhu, B. Ji, J. Tian, and P . Yin. Heat exp osure and respiratory diseases health outcomes: An umbrella review. Scienc e of The T otal Envir onment , 970:179052, Mar. 2025. ISSN 0048-9697. doi: 10.1016/j.scitoten v.2025. 179052.

Original Paper

Loading high-quality paper...

Comments & Academic Discussion

Loading comments...

Leave a Comment