Distributed forward-backward (half) forward algorithms for generalized Nash equilibrium seeking
We present two distributed algorithms for the computation of a generalized Nash equilibrium in monotone games. The first algorithm follows from a forward-backward-forward operator splitting, while the second, which requires the pseudo-gradient mappin…
Authors: Barbara Franci, Mathias Staudigl, Sergio Grammatico
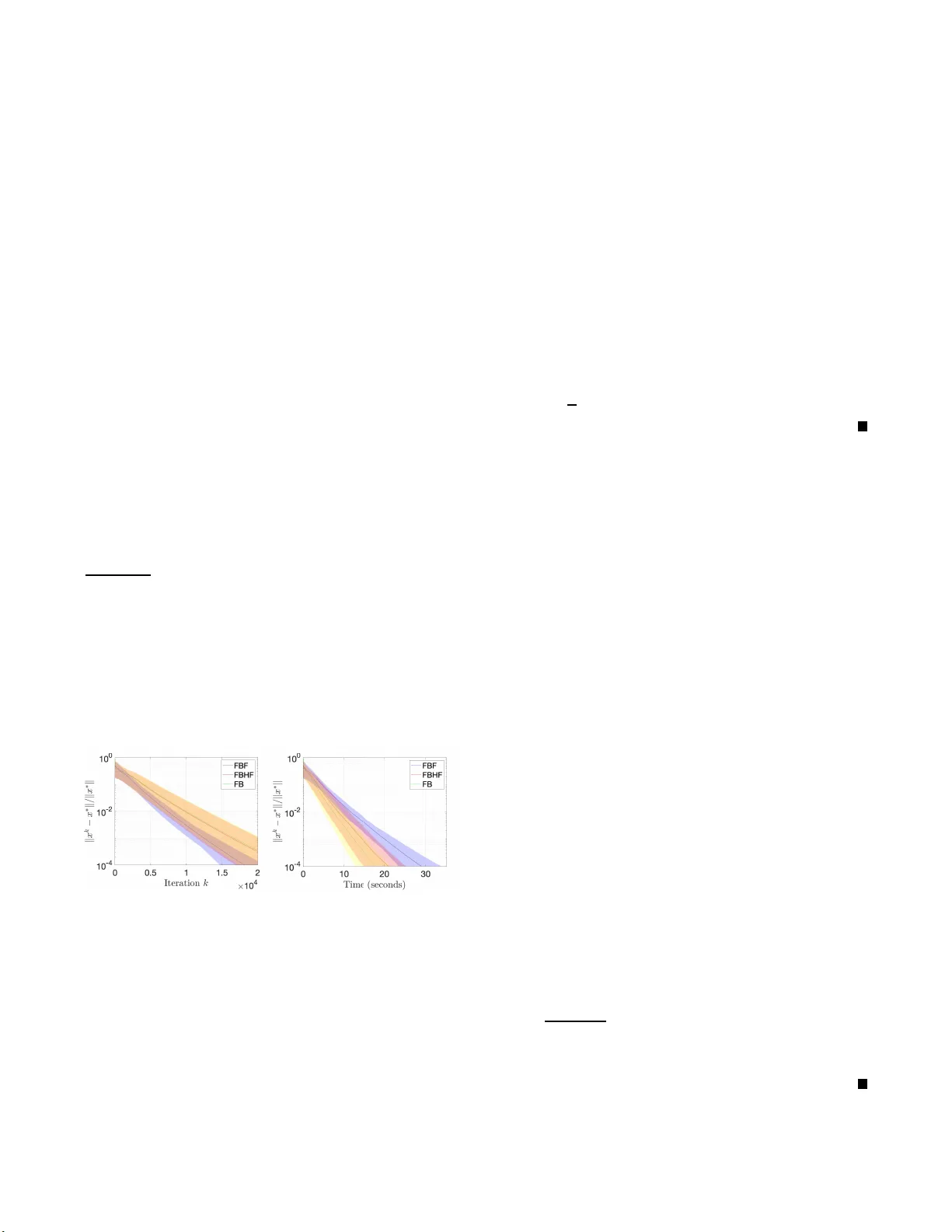
Distrib uted f orward-backward (half) fo rward algorithms fo r generalized Nash equilibrium seeking Barbara Franci 1 , Mathias Staudigl 2 and Sergio Grammatico 1 Abstract — W e pre sent tw o distributed algorithms for the computation of a generalized Nash equil i brium in monotone games. The first alg orithm f ollows fro m a fo rward-backward- fo rward operator splitting, while the second, wh ich requires the pseudo-gradient mapping of the game to be cocoer cive , follows from the forwa rd-backward-half-forward operator splitting. Finally , we compare them with the distributed, preconditioned, fo rward-backward algorithm via n umerical experiments. I . I N T RO D U C T I O N Generalized Nash equilibriu m pr oblems (GNEPs) h av e been widely studied in the literatu re [1], [2], [3] and such a strong interest is mo tivated by numerou s applications ranging from econom ic s to eng ineering [4], [5]. In a GNEP , ea ch agent seeks to minimize his own cost function , u nder loc al and coupled feasib ility con straints. In fact, both the cost function and the constrain ts depend o n the strategies chosen by the other a g ents. Due to th e p resence of these share d constraints, the search for generalized Nash equilibria is usually a quite challenging task. For the comp utation of a GNE, various algorithms have been proposed , bo th distributed [6], [7], and semi- decentralized [3], [8]. When dealing with cou pling con- straints, a co mmon prin ciple is the fo cus on a sp e c ial class of equilibria, which reflect some notion o f f airness among the agents. Th is class is known as variational equilibria (v-GNE) [9], [3]. B esides fairness considerations, v -GNE is com putationally attractive since it can b e form ulated in terms of variational in e q uality , which makes it possible to solve them via op erator splitting techniques [10], [2]. A recent breakthr ough a long these lines is the distributed, precon d itioned, forward- backward (FB) algorithm concei ved in [7] for stron gly-mo notone game s. Th e key le sson f r om [7] is that the FB method cannot be directly ap plied to GNEPs, thus a suitab le pre condition ing is necessary . Fro m a technical perspe cti ve, the FB op e r ator splitting require s that the pseud o -grad ien t map p ing of the game is stron gly monoto ne, an assumption which is not a lways satisfied. In this paper we investi gate two distributed algo r ithmic schemes for com puting a v-GNE. Moti vated b y th e need 1 Barbara Franci an d Se rgio Grammatico are with the De lft C enter for System and Control, T U Delft, The Netherland s { b.franci-1, s.grammatico } @tu delft.nl . 2 Mathia s Staudigl is with the Department of Data Scienc e and Kno wledge Engineeri ng, Maastricht Uni versity , The Netherl ands m.staudigl@ma astrichtunive rsity.nl . This work was partially supported by NWO under research project s OMEGA (613.001.702) and P2P-T ALES (647.003.003), and by the ERC under research p roject COSMOS (80 2348). M. Staudigl acknowl edges support from th e COST Acti on CA16228 ”European Netw ork form Game Theory”. to r e lax the stro ng mo notonicity assumption o n the p seudo- gradient of the game, w e first inv estigate a distributed forwar d - backwar d-fo rwar d (FBF) algorith m [1 1]. W e show that a suitab ly constructed FBF op erator splitting gua r antees not o nly f ully distributed co m putation, but also conver gence to a v-GNE und er the me r e assumption of monoto nicity of the in volved op e rators. This enab les us to d r op th e stron g monoto nicity assumption, wh ich is the main advantage with respect to the FB-based splitting meth ods [7]. As a secon d condition , in order to explo it the stru cture of the mon otone inclusion defining the v-GNE prob lem, we also in vestigate the fo rward-backwar d-half- forwar d (FBHF) algorithm [12]. W e would like to po int o ut tha t both o u r a lgorithms ar e distributed in the sense th at each ag e nt n eeds to know only his local cost fu nction and its loca l feasible set, and th ere is n o ce n tral co ordinato r th at up dates and bro adcasts the dual variables. The latter is the main difference w ith semi- decentralized sch e mes for aggregative games [13], [8]. Compared with the FB and the FBHF algorithms, the FBF requir e s less restrictive assumption s to guaran tee con- vergence, i.e. , plain monotonicity of th e pseud o-grad ient mapping . On th e o ther hand, the FB F algorithm requires two ev aluatio ns of the pseudo- g radient mappin g, which mean s that the agents must co mmunicate at least twice at each iterativ e step. Confro nted with the FBF algorithm , our second propo sal, the FBHF algorithm require s only one ev aluation of the pseudo-g r adient map ping, b u t needs strong m onoto n icity to provide theo retical convergence guaran tees. E ffecti vely , the FBHF algorithm is guaran teed to co n verge under the same assum ptions as the pr econdition ed FB [7]. Notation: R in dicates the set of real numbers an d ¯ R = R ∪ { + ∞} . 0 N ( 1 N ) is the vector of N zero s (ones). The Euclidean in ner p roduct and norm are indicated with h· , ·i and k·k , respec ti vely . Let Φ be a symmetric, positi ve definite matrix, Φ ≻ 0 . The induced inn er produ ct is h· , ·i Φ := h Φ · , ·i , and the associated no r m is k·k Φ := h· , ·i 1 / 2 Φ . W e call H Φ the Hilbert space with norm k·k Φ . Given a set X ⊆ R n , the normal con e map ping is denoted with N X ( x ) . Id is the id entity mapping . Given a set-valued opera to r A , the graph of A is the set gph( A ) = { ( x, y ) | y ∈ Ax } The set of zeros is zer A = { x ∈ R n | 0 ∈ Ax } . The resolvent of a maximally monoto ne o perator A is the map J A = (Id + A ) − 1 . If g : R n → ( −∞ , ∞ ] is a prope r, lower semi- continuo us, co n vex function , its su bdifferential is the m aximal mon otone oper ator ∂ g ( x ) . T he prox imal operator is defined as prox Φ g ( v ) = J Φ ∂ g ( v ) [10]. Given x 1 , . . . , x N ∈ R n , x := co l ( x 1 , . . . , x N ) = x ⊤ 1 , . . . , x ⊤ N ⊤ . I I . M AT H E M AT I C A L S E T U P : T H E M O N OT O N E G A M E A N D V A R I AT I O N A L G E N E R A L I Z E D N A S H E Q U I L I B R I A W e con sider a game with N age n ts wher e each age nt chooses an action x i ∈ R n i , i ∈ I = { 1 , . . . , N } . Each agen t i has an extend ed-valued local co st fu nction J i : R n → ( − ∞ , ∞ ] of the for m J i ( x i , x − i ) := f i ( x i , x − i ) + g i ( x i ) . (1) where x − i = col( { x j } j 6 = i ) is the vecto r of all de cision variables except for x i , an d g i : R n i → ( −∞ , ∞ ] is a lo c al idiosyncra tic co sts fu nction which is possibly non- sm o oth. Thus, the functio n J i in (1) has th e typ ical splitting in to smooth an d non-sm o oth p arts. Standin g Assump tion 1 ( Local cost): For each i ∈ I , the function g i in (1) is lower semic o ntinuou s and conve x . For each i ∈ I , dom( g i ) = Ω i is a closed conve x set. Examples for the local cost functio n are in d icator functions to enfo rce set con straints, or pen alty function s that p romote sparsity , or other d esirable structure. For the f unction f i in (1), we assum e c o n vexity and differentiability , as usual in the GNEP litera ture [3]. Standin g Assump tion 2 ( Local conve xity): For each i ∈ I and for a ll x − i ∈ R n − n i , the fu nction f i ( · , x − i ) in ( 1) is conv ex and continuo usly d ifferentiab le. W e assum e that the g ame displa y s joint conve xity with affine coupling con straints defin ing the collecti ve feasible set X := { x ∈ Ω | A x − b ≤ 0 m } (2) where A := [ A 1 , . . . , A N ] ∈ R m × n and b := P N i =1 b i ∈ R m . Effecti vely , each matrix A i ∈ R m × n i defines h ow agent i is in volved in th e coupling co nstraints, thus we consid e r it to be priv ate informatio n of agent i . Then, for each i , giv en the strategies of all other agents x − i , the feasible dec isio n set is X i ( x − i ) := n y i ∈ Ω i | A i y i ≤ b − P N j 6 = i A j x j o . (3) Next, we assum e a constraint q ualification cond ition. Standin g Assump tion 3: ( Con straint qualifica tion ) The set X in (2) satisfies Slater’ s constrain t qu alification. The aim of each agen t is to solve its local optimizatio n problem ∀ i ∈ I : min x i ∈ Ω i J i ( x i , x − i ) s.t. A i x i ≤ b − P N j 6 = i A j x j . (4) Thus, the solu tion concept fo r such a competitive scenar io is the gener alized Nash equ ilib rium [9], [3 ]. Definition 1: ( Generalized Na sh equilibrium ) A collective strategy x ∗ = co l( x ∗ 1 , . . . , x ∗ N ) ∈ X is a ge neralized Nash equilibriu m o f the g ame in ( 4) if, for all i ∈ I , J i ( x ∗ i , x ∗ − i ) ≤ inf { J i ( y , x ∗ − i ) | y ∈ X i ( x − i ) } . T o deri ve optimality conditions characterizin g GNE, we define a g ent i ’ s Lag rangian fun ction as L i ( x i , λ i , x − i ) := J i ( x i , x − i ) + λ ⊤ i ( A x − b ) where λ i ∈ R m ≥ 0 is the Lagr ange multiplier associated with the coup ling constraint A x ≤ b . Thanks to the sum rule of th e subgrad ient f or Lipschitz continuo us func tio ns [1 4, § 1.8], we ca n write the s ubgr adient of agent i as ∂ x i J i ( x i , x − i ) = ∇ x i f i ( x i , x − i ) + ∂ g i ( x i ) . Therefo re, Under Assumption 3, the Karush– Kuhn–T ucker (KKT) theor em ensures the existence of a p air ( x ∗ i , λ ∗ i ) ∈ Ω i × R m ≥ 0 , such that ∀ i ∈ I : ( 0 n i ∈ ∇ x i f i ( x ∗ i ; x ∗ − i ) + ∂ g i ( x ∗ i ) + A ⊤ i λ ∗ i 0 m ∈ N R m ≥ 0 ( λ ∗ i ) − ( A x ∗ − b ) . (5) W e con clude th e section by postulating a standar d assump- tion for GNEP’ s [3], and inclusion problems in g eneral [10], concern ing the monoton icity and Lip schitz con tinuity of the mapping th at collects the partial grad ients ∇ i f i . Standin g Assump tion 4 ( Monoton icity): The mappin g F ( x ) := col ( ∇ x 1 f 1 ( x ) , . . . , ∇ x N f N ( x )) (6) is mo notone on Ω , i.e., fo r all x , y ∈ Ω , h F ( x ) − F ( y ) , x − y i ≥ 0 . and 1 β -Lipschitz contin uous, β > 0 , i.e. , for all x , y ∈ Ω , k F ( x ) − F ( y ) k ≤ 1 β k x − y k . Among all po ssible GNEs of the ga me, this work fo cuses on the c omputatio n of a varia tio nal GNE (v-GNE) [3, Def. 3.10], i.e. a GNE in which all play ers share consen sus o n the d ual variables: ∀ i ∈ I : ( 0 n i ∈ ∇ x i f i ( x ∗ i ; x ∗ − i ) + ∂ g i ( x ∗ i ) + A ⊤ i λ ∗ 0 m ∈ N R m ≥ 0 ( λ ∗ ) − ( A x ∗ − b ) . (7) I I I . D I S T R I B U T E D G E N E R A L I Z E D N A S H E Q U I L I B R I U M S E E K I N G V I A O P E R A T O R S P L I T T I N G In this section, we p r esent th e prop osed distributed algo- rithms. W e allow each a gent to have inf ormation on his own local pro b lem data o nly , i.e., J i , Ω i , A i and b i . W e let e a ch agent i contr ol its local d ecision x i , and a local copy λ i ∈ R m ≥ 0 of d ual variables, as well as a local auxiliary variable z i ∈ R m used to en force co n sensus of the dua l variables. T o actu ally reach consen sus on the dual variables, we le t the ag e n ts exchang e information via an un directed weig hted communica tion graph , represented by its weigh te d adja c ency matrix W = [ w i,j ] i,j ∈ R N × N . W e assume w ij > 0 iff ( i, j ) is an ed ge in th e commu nication graph. The set of ne ig hbou rs of agen t i in the grap h is N λ i = { j | w i,j > 0 } . Standin g Assump tion 5 ( Graph conn ectivity): Th e matrix W is symmetric and irredu cible. Define the weighted Laplacian as L := diag { ( W1 N ) 1 , . . . , ( W1 N ) N } − W . It h olds that L ⊤ = L , ker( L ) = span( 1 N ) and that, gi ven Standing A ssum ption 5, L is positive semi-definite with real an d distinc t eig en values 0 = s 1 < s 2 ≤ . . . ≤ s N . Moreover , g iven the ma x imum degree of the gra p h G λ , ∆ := max i ∈I ( W1 N ) i , it hold s that ∆ ≤ s N ≤ 2∆ . Den oting by κ := | L | , it holds that κ ≤ 2∆ . W e d efine the tensor ized Laplacian as the matrix ¯ L = L ⊗ I m . W e set ¯ b = ( b 1 , . . . , b N ) ⊤ , x = c o l( x 1 , . . . , x N ) and similarly z and λ . Let A = dia g( A 1 , . . . , A N ) and define A ( x , z , λ ) := col( F ( x ) , 0 mN , ¯ L λ + ¯ b ) , B ( x , z , λ ) := col( A ⊤ λ , ¯ L λ , − A x − ¯ L z ) (8) Let us also define the operato r D := A + B , and the set- valued op erator C ( x , z , λ ) = G ( x ) × { 0 mN } × N R mN ≥ 0 ( λ ) (9) where G ( x ) = ∂ g 1 ( x 1 ) × · · · × ∂ g N ( x N ) . Let u s summa rize the pro perties of the oper ators above. Lemma 1: T he following statements hold: (i) A is maximally monotone and L A = ( 1 β + κ ) -Lip schitz continuo us. (ii) B is maximally mono tone and L B = (2 | A | + 2 κ ) - Lipschitz con tinuous. (iii) D is maximally m onoton e and L D = L A + L B -Lipschitz continuo us. (iv) C + D is maxim ally monoto ne. Pr oof: (i) The opera to r A is max imally mon otone by [10, Prop . 20.2 3]. Fu rthermo r e, given κ = | L | an d u := col( x , z , λ ) , it h o lds that kA u − A u ′ k ≤ k F ( x ) − F ( x ′ ) k + k ¯ L ( z − z ′ ) k ≤ ( 1 β + κ ) ( k x − x ′ k + k z − z ′ k ) , (10) showing tha t A is L A := ( 1 β + κ ) -Lipschitz co n tinuous. (ii) The oper ator B is ma x imally mono tone by [10, Cor . 20.28 ]. By a co mputation similar to (1 0), it c a n be shown that B is L B = (2 | A | + 2 κ ) -Lip sch itz continu ous. (iii) Th e o perator D is maxim ally monoto n e since dom( B ) = Ω [10, Pr op. 2 0.23] . It is L D = L A + L B -Lipschitz continuo us beca use sum of Lip schitz oper ators. (iv) Th e operato r C is maximally mo notone by [7, Lem. 5 ] and C + D is maximally m o noton e by [10, Prop . 20.23] . The following r esult, which immediately follo w s from the definition of th e inner p roduct h· , ·i Φ , hold s fo r mono to ne operator s an d it will be recalled later on . Lemma 2: L et Φ ≻ 0 and T be a m onoton e op erator, then Φ − 1 T is m o noton e in the Hilbert space H Φ . Now , g i ven the oper ators A , B and C as in (8 ) an d (9 ), a simple p roof shows that the zero s of the sum A + B + C are v- GNE of the gam e in (4). In fact, this follows verbatim from [7, Thm. 2 ], so we omit the detailed pr oof here. Lemma 3: T he set zer( A + B + C ) is th e set of v - GNE of the g ame in ( 4) and it is non - empty . A. F orwar d-backwar d o perator splittin g The aim o f this section is to revisit a distributed fo rward- backward (FB) splitting algor ithm f o r the distributed co m- putation of a v-GNE, see Algo rithm 1 [7]. Fro m now on, Algorithm 1 Precon ditioned Forward Back ward Initialization: x 0 i ∈ Ω i , λ 0 i ∈ R m ≥ 0 , and z 0 i ∈ R m . Iteration k : Agent i ( 1 ) Receives x k j for j ∈ N J i , λ k j for j ∈ N λ i , the n upd ates x k +1 i = prox ρ i g i [ x k i − ρ i ( ∇ x i f i ( x k i , x k − i ) − A T i λ k i )] z k +1 i = z k i + σ i X j ∈N λ i w i,j ( λ k i − λ k j ) ( 2 ) Receives z k +1 j for j ∈ N λ i , the n upd ates λ k +1 i = pro j R m ≥ 0 { λ k i − τ i [ A i (2 x k +1 i − x k i ) − b i + X j ∈N λ i w i,j [2( z k +1 i − z j,k +1 ) − ( z k i − z k j )] + X j ∈N λ i w i,j ( λ k i − λ k j )] } the trip let u := c ol( x , z , λ ) defin es the state variable of a distributed algor ith m. Given the state at iteration k , u k = ( x k , z k , λ k ) , the FB algo rithm can b e written as fixed-po int iteration o f the fo rm u k +1 = T FB u k , whe r e T FB := J Φ − 1 FB ( C + B ) (Id − Φ − 1 FB A ) . (11) and Φ FB is th e preco nditionin g matrix d efined as Φ FB := ρ − 1 0 − A ⊤ 0 σ − 1 − ¯ L − A − ¯ L τ − 1 . (12) The matrices ρ = diag { ρ 1 I n 1 , . . . , ρ N I n N } , σ and τ (de- fined analog uosly) collect the step sizes of the primal, th e auxiliary and the dual up dates, respecti vely . By choosing the step sizes ap prop r iately , the precon ditioning matrix Φ can be made p o siti ve definite [6]. The FB algorithm is kn own to conv erge to a zero of a mon otone inclusion 0 ∈ A + B + C when the ope r ators are maximally mono tone and the single- valued opera tor Φ − 1 FB A is cocoerc ive [10, Thm. 2 6.14]. Thu s, the pseudo -gradien t mapp in g F in (6) should satisfy the following a ssumption. Assumption 1 (Str o ng monoto nicity): For a ll x , x ′ ∈ Ω , h F ( x ) − F ( x ′ ) , x − x ′ i ≥ η k x − x ′ k 2 ,for som e η > 0 . T o ensure the co coercivity con dition, we refer to th e following r esult. Lemma 4: [ 7, L em. 5 an d Lem . 7] Let Φ ≻ 0 and F as in ( 6) satisfy Assump tion 1. Then, the following hold: (i) A is θ -cocoer civ e with θ ≤ min { 1 / 2∆ , η β 2 } . (ii) Φ − 1 A is αθ -coco ercive with α = 1 / | Φ − 1 | . W e rec all that conv ergence to a v -GNE has been demon - strated in [7, T h. 3 ] , if the step sizes in (12) are chosen small enoug h [7, Lem. 6 ] . B. F orwar d-backwar d -forwar d splitting In this section , we pro pose ou r distributed fo rward- backward-fo rward (FBF) sch eme, Algorithm 2 . In com pact form, the FBF alg orithm generates two se- quences ( u k , v k ) k ≥ 0 as fo llows: u k = J Ψ − 1 C ( v k − Ψ − 1 D v k ) v k +1 = u k + Ψ − 1 ( D v k − D u k ) . (13) In (13), Ψ is the block- diagona l m atrix of th e step sizes: Ψ = diag( ρ − 1 , σ − 1 , τ − 1 ) , (14) W e r ecall that D = A + B is single-valued, m a ximally monoto ne an d Lipschitz continuous by Lemma 1. Each iteration differs from the scheme in (11) by o n e addition al forward step an d the fact that the resolvent is n ow defined in terms of th e operato r C only . Writing the coord inates as u k = ( ˜ x k , ˜ z k , ˜ λ k ) an d v k = ( x k , z k , λ k ) , the u p dates are explicitly giv en in Alg orithm 2. FBF opera tes o n the splitting C + D an d it c a n be comp a ctly written as the fixed- point iteration v k +1 = T FBF v k , w h ere the m apping T FBF is d efined as T FBF := Ψ − 1 D + (Id − Ψ − 1 D ) ◦ J Ψ − 1 C ◦ (Id − Ψ − 1 D ) . ( 15) T o en sure co n vergence of Algorithm 2 to a v- GNE of the game in (4), we nee d th e next a ssum ption. Assumption 2 : | Ψ − 1 | < 1 /L D , with Ψ as in (14) an d L D being th e Lipschitz c o nstant of D as in Lemma 1 . Algorithm 2 Distributed Forward Backward Forward Initialization: x 0 i ∈ Ω i , λ 0 i ∈ R m ≥ 0 , and z 0 i ∈ R m . Iteration k : Agent i ( 1 ) Receives x k j for j ∈ N J i , λ k j and z j,k for j ∈ N λ i then updates ˜ x k i = pro x ρ i g i [ x k i − ρ i ( ∇ x i f i ( x k i , x k − i ) − A T i λ k i )] ˜ z k i = z k i + σ i X j ∈N λ i w i,j ( λ k i − λ k j ) ˜ λ k i = pro j R m ≥ 0 { λ k i − τ i ( A i x k i − b i ) + τ X j ∈N λ i w i,j [( z k i − z k j ) − ( λ k i − λ k j )] } ( 2 ) Rece ives ˜ x k j for j ∈ N J i , ˜ λ k j and ˜ z k j for j ∈ N λ i then updates x k +1 i = ˜ x k i − ρ i ( ∇ x i f i ( x k i , x k − i ) − ∇ ˜ x i f i ( ˜ x k i , ˜ x k − i )) − ρ i A T i ( λ k i − ˜ λ i,k ) z k +1 i = ˜ z k i + σ i X j ∈N λ i w i,j [( λ k i − λ k j ) − ( ˜ λ k i − ˜ λ k j )] λ k +1 i = ˜ λ k i + τ i A i ( ˜ x k i − x k i ) − τ i X j ∈N λ i w i,j [( z k i − z k j ) − ( ˜ z k i − ˜ z k j )] + τ i X j ∈N λ i w i,j [( λ i,k − λ k j ) − ( ˜ λ k i − ˜ λ k j )] Theor em 1: L e t Assumption 2 hold. The sequenc e ( x k , λ k ) gen erated by Alg orithm 2 conv erges to z e r( A + B + C ) , th us the primal variable converges to a v-GNE of the g ame in ( 4). Pr oof: The fixed-p oint iteration with T FBF as in ( 15) can be derived f rom (13) by sub stituting u k . Th erefore , th e sequence ( x k , λ k ) g enerated b y Algo rithm 2 converges to a v-GNE by [ 10, Th. 2 6.17] and [11, Th .3.4] since Ψ − 1 A is monoto ne b y Lemm a 2 and A + B + C is max imally mono tone by Lem ma 1. See App endix III- B for details. W e emp h asize that Algo rithm 2 does n ot req uire strong monoto nicity (Assumptio n 1) o f the pseu do-gr a dient m ap- ping F in (6). Moreover, we note that the FBF alg o rithm requires two evaluations of the individual gr a d ients, wh ich requires computin g the op erator D twice per iteration. At the level of the ind ividual agents, th is means th a t we need two commu nication rou nds p er iter ation in or d er to exchang e the necessary infor mation. Compar e d with the FB algor ith m, the n on-stron g mon otonicity assumption comes at the price of incr e ased comm unications at each iteration. C. F orward-backw ar d-half forward splitting Should the strong mon otonicity cond ition (Assumption 1) be satisfied, an alternative to the FB is the forward-backw ar d- half-forward (FBHF) ope r ator splitting, developed in [12]. Thus, ou r second GNE seeking algorithm is a distributed FBHF , descr ibed in Algorithm 3. In com pact for m, the FBHF algorith m reads as u k = J Ψ − 1 C ( v k − Ψ − 1 ( A + B ) v k ) v k +1 = u k + Ψ − 1 ( B v k − B u k ) . (16) Algorithm 3 Distributed Forward Backward Half Forward Initialization: x 0 i ∈ Ω i , λ 0 i ∈ R m ≥ 0 , and z 0 i ∈ R m . Iteration k : Agent i ( 1 ) Receives x k j for j ∈ N J i , λ k j and z j,k for j ∈ N λ i then updates ˜ x k i = pro x ρ i g i [ x k i − ρ i ( ∇ x i f i ( x k i , x k − i ) − A T i λ k i )] ˜ z k i = z k i + σ i X j ∈N λ i w i,j ( λ k i − λ k j ) ˜ λ k i = pro j R m ≥ 0 { λ k i − τ i ( A i x k i − b i ) + τ X j ∈N λ i w i,j [( z k i − z k j ) − ( λ k i − λ k j )] } ( 2 ) Receives ˜ λ k j and ˜ z j,k for j ∈ N λ i then up dates x k +1 i = ˜ x k i + ρ i A T i ( λ k i − ˜ λ i,k )] z k +1 i = ˜ z k i + σ i X j ∈N λ i w i,j [( λ k i − λ k j ) − ( ˜ λ k i − ˜ λ k j )] λ k +1 i = ˜ λ k i + τ i A i ( ˜ x k i − x k i ) − τ i X j ∈N λ i w i,j [( z k i − z k j ) − ( ˜ z k i − ˜ z k j )] W e n ote that the iter ates o f FBHF are similar to those of the FBF , but the second forward step re q uires th e operator B only . Mor e simply , we can wr ite th e FB HF as the fix ed-poin t iteration v k +1 = T FBHF v k , where T FBHF = (Id − Ψ − 1 B ) ◦ J Ψ − 1 C ◦ (Id − Ψ − 1 D ) + Ψ − 1 B . (1 7) Also in this case, we have a bou nd on th e step sizes. Assumption 3 : | Ψ − 1 | ≤ min { 2 θ A , 1 / L B } , with θ A as in Lemma 4 and L B as in Lemma 1. W e note that in Assump tion 3, th e step sizes in Ψ can be chosen larger compare d to tho se in Assump tion 2, since the upper bo und is related to the Lipschitz constant of the o perator B , n ot o f L D = L A + L B as f or the FBF (Assumption 2). A similar comp arison can be do n e with respect to the FB algorithm. I ntuitively , larger step sizes should be beneficial in term of conv ergence speed. W e can now establish o ur convergence result for th e FBHF algorithm . Theor em 2: L e t Assum ptions 1 and 3 hold. The sequence ( x k , λ k ) gen erated by Alg orithm 3 conv erges to z e r( A + B + C ) , th us the primal variable converges to a v-GNE of the g ame in ( 4). Pr oof: Algorithm 3 is th e fixed point iteration in (17) whose conv ergence is g uaranteed by [12, Th. 2.3 ] u nder Assumption 3 beca u se Ψ − 1 A is coc oercive b y Lemm a 4. See App endix VI-B f or details. I V . C A S E S T U DY A N D N U M E R I C A L S I M U L AT I O N S W e consider a networked Cou rnot game with market capacity con straints [7]. As a numerical setting, we use a set of 20 compan ies and 7 markets, similarly to [7 ]. Each co mpany i has a local con straint x i ∈ (0 , δ i ) where each component o f δ i is randomly drawn from [1 , 1 . 5] . The maximal capacity of each ma rket j is b j , rando mly drawn from [0 . 5 , 1 ] . The local cost fun ction of co mpany i is c i ( x i ) = π i P n i j =1 ([ x i ] j ) 2 + r ⊤ x i , wher e [ x i ] j indicates the j compo nent of x i . For all i ∈ I , π i is randomly drawn fr om [1 , 8] , an d the comp onents of r i are rando mly drawn f rom [0 . 1 , 0 . 6] . Notice that c i ( x i ) is stro ngly conve x with Lipschitz continu ous grad ient. The price is taken a s a linear f unction P = ¯ P − DA x where each compo nent of ¯ P = col( ¯ P 1 , . . . , ¯ P 7 ) is r andomly dr awn fr om [2 , 4] while the entries o f D = dia g( d 1 , . . . , d 7 ) are random ly drawn from [0 . 5 , 1] . Recall th at the co st f unction o f co mpany i is influenced b y th e variables of the agents selling in the same market. Such informa tio ns can be retrieved from [7, Fig. 1] . Since c i ( x i ) is strongly co n vex with Lipschitz con tinuous gradient and th e prices are linear, the p seudo grad ient of f i is strong ly mo notone . The com munication g r aph G λ for the d ual variables is a cycle grap h with the ad dition of the edges (2 , 15) and (6 , 13) . As local co st function s g i we use the indicator function s. In this way , the prox imal step is a projection o n the lo cal co nstraints sets. The aim o f these simulations is to comp are the pro p osed schemes. The step sizes are taken differently for e very algorithm . In particular, we take ρ FB , σ FB and τ FB as in [7, Lem. 6], ρ FBF , σ FBF and τ FBF such that Assumption 2 is satisfied a n d ρ FBHF , σ FBHF and τ FBHF such th at Assumption 3 h olds. W e select them to b e the maximu m possible. The initial points λ 0 i and z 0 i are set to 0 while the local decision variable x 0 i is rand omly taken in the f easible sets. The plots in Fig. 1 show the performan ce par ameter k x k +1 − x ∗ k k x ∗ k , that is, the convergence to a solution x ∗ , and the CPU time (in second s) used by each algo rithm. W e r un 10 simulations, changing the parameters of the cost function to show that the resu lt are replicable. Th e darker line represent the average path towards the solutio n . The plot in Fig 1 shows that with suitable p arameters conv ergence to a solution is faster with the FBF algorithm which, however , is co mputation ally more expansi ve than the FB an d FBHF alg orithms. Fig. 1. Relat i ve distance from v-GNE (left) and cumulati ve CPU time (right). V . C O N C L U S I O N The FBF and the FBHF splitting metho ds gen erate dis- tributed equ ilibrium seeking algorithms for solv ing gener- alized Nash equilibrium pr oblems. Compared to th e FB, the FB F has the advantage to conver ge under the non - strong mono tonicity assumption . This come s at th e price of in creased com munication s between the agents. If stron g monoto nicity holds, an alterna ti ve to the FBF is the FBHF that, in our numer ical experie n ce is less comp utationally expensiv e than the FBF . V I . A P P E N D I X A. Conver gence of the forwar d -backwar d- forwar d W e show the co n vergence p roof for th e FBF . From n ow on, H = R n × R mN × R mN and fix( T ) = { x ∈ H : T x = x } . Pr opo sition 1 : If Assum ption 2 holds, fix ( T FBF ) = Z . Pr oof: W e first show that Z ⊆ fix( T FBF ) . Let u ∗ ∈ Z : 0 ∈ C u ∗ + D u ∗ ⇔ − D u ∗ ∈ C u ∗ ⇔ u ∗ = J Ψ − 1 C ( u ∗ − Ψ − 1 D u ∗ ) ⇔ Ψ − 1 D u ∗ = Ψ − 1 D J Ψ − 1 C ( u ∗ − Ψ − 1 D u ∗ ) ⇔ u ∗ = T FBF u ∗ . Con versely , let u ∗ ∈ fix( T FBF ) . T hen u ∗ − J Ψ − 1 C ( u ∗ − Ψ − 1 D u ∗ ) = Ψ − 1 D u ∗ − Ψ − 1 D J Ψ − 1 C ( u ∗ − Ψ − 1 D u ∗ ) ans k u ∗ − J Ψ − 1 C ( u ∗ − Ψ − 1 D u ∗ ) k ≤ ≤ α − 1 kD u ∗ − D J Ψ − 1 C ( u ∗ − Ψ − 1 D u ∗ ) k ≤ L α k u ∗ − J Ψ − 1 C ( u ∗ − Ψ − 1 D u ∗ ) k . Hence, u ∗ = J Ψ − 1 C ( u ∗ − Ψ − 1 D u ∗ ) . Pr opo sition 2 : For all u ∗ ∈ fix( T FBF ) an d v ∈ H , the r e exists ε ≥ 0 suc h that k T FBF v − u ∗ k 2 Ψ = k v − u ∗ k 2 Ψ − 1 − ( L/α ) 2 k u − v k 2 Ψ − 2 ε. (18) Pr oof: Let u ∗ ∈ fix( T FBF ) and u = J Ψ − 1 C ( v − Ψ − 1 D v ) , v + = T FBF v , for v ∈ H arbitra r y . Th en, k v − u ∗ k 2 Ψ = k v − u + u − v + + v + − u ∗ k 2 Ψ = k v − u k 2 Ψ + k u − v + k 2 Ψ + k v + − u ∗ k 2 Ψ + 2 h v − u, u − u ∗ i Ψ + 2 h u − v + , v + − u ∗ i Ψ . Since, 2 h u − v + , v + − u ∗ i Ψ = 2 h u − v + , v + − u i Ψ + 2 h u − v + , u − u ∗ i Ψ = − 2 k u − v + k 2 Ψ +2 h u − v + , u − u ∗ i Ψ . This gives k v − u ∗ k 2 Ψ = k v − u k 2 Ψ − k u − v + k 2 Ψ + k v + − u ∗ k 2 Ψ + 2 h u − u ∗ , v − v + i Ψ . By d efinition of the updates, we have for ¯ v ≡ B v , ¯ u ≡ B u, ˆ v ∈ C u , the identities u + Ψ − 1 ˆ v = v − Ψ − 1 ¯ v and v + = u + Ψ − 1 ( ¯ v − ¯ u ) . Furth e rmore, since 0 ∈ D u ∗ + C u ∗ , there exists ˆ v ∗ ∈ C u ∗ and ¯ u ∗ ≡ D u ∗ such th a t 0 = ¯ u ∗ + ˆ v ∗ . It follows that v − v + = v − u − Ψ − 1 ( ¯ v − ¯ u ) = Ψ − 1 ( ˆ v + ¯ u ) . Hence, k v − u ∗ k 2 Ψ = k v − u k 2 Ψ − k u − v + k 2 Ψ + + k v + − u ∗ k 2 Ψ + 2 h u − u ∗ , ˆ v + ¯ u i = k v − u k 2 Ψ − k u − v + k 2 Ψ + k v + − u ∗ k 2 Ψ + + 2 h ˆ v − ˆ v ∗ − ¯ u ∗ + ¯ u, u − u ∗ , u − u ∗ i . Since ( u, ˆ v ) , ( u ∗ , ˆ v ∗ ) ∈ gph( C ) , ( u ∗ , ¯ u ∗ ) , ( u, ¯ u ) ∈ gph( B ) , it f ollows f rom the mon otonicity that ε := h ˆ v − ˆ v ∗ − ¯ u ∗ + ¯ u, u − u ∗ , u − u ∗ i ≥ 0 . Finally , observe that u − v + = Ψ − 1 ( D u − D v ) , an d that k Ψ − 1 ( D u − D v ) k 2 Ψ = h Ψ − 1 ( D u − D v ) , D u − D v i ≤ λ max (Ψ − 1 ) kD u − D v k 2 ≤ L 2 λ max (Ψ − 1 ) k u − v k 2 ≤ L 2 λ max (Ψ − 1 ) λ min (Ψ) k u − v k 2 Ψ . Since α = 1 /λ max (Ψ − 1 ) = λ min (Ψ) , it fo llows from the Lipschitz contin u ity of the op e rator B that k u − v + k 2 Ψ ≤ ( L/α ) 2 k u − v k 2 Ψ and the statement is proven. Cor ollary 1: If L/ α < 1 , the map T FBF : H → H is quasinon expansiv e in the Hilbert space ( H , h· , ·i Ψ ) , i.e. ∀ v ∈ H ∀ u ∗ ∈ fix( T FBF ) k T FBF v − u ∗ k Ψ ≤ k v − u ∗ k Ψ . Pr opo sition 3 : If Assumption 2 holds, th e sequ ence gen- erated by th e FBF a lg orithm, ( v k ) k ≥ 0 , is bo unded in norm, and all its accumu la tio n po ints are elem ents in Z . Pr oof: Form (1 8) we ded uce that ( v k ) k ≥ 0 is Fej ´ er monoto ne with respe c t to fix( T FBF ) = Z . Therefo r e, it is bound ed nor m. I t rema in s to show that a ll accumulation points are in Z . By an obvio us abuse of no tatio n, let ( v k ) k ≥ 0 denote a conver ging subsequenc e with limit u ∗ . From (18) it follows k u k − v k k Ψ → 0 , and hen ce k u k − v k k → 0 as k → ∞ . By con tinuity , it therefor e f ollows as well kD u k − D v k k → 0 as k → ∞ . Since u k = J Ψ − 1 C ( v k − Ψ − 1 D v k ) , it follows that w k := Ψ( v k − u k ) + D u k − D v k ∈ D u k + C u k . Since w k → 0 and th e op erator C + D is maximally mon otone by Lem ma 1 an d has a closed gra ph [11, Lem . 3.2] , we conclud e 0 ∈ D u ∗ + C u ∗ . Hence, u ∗ ∈ Z . B. Conver gence of the forwar d -backwar d- half-forward W e he re provide the conv ergence proof f o r the FBHF . Pr opo sition 4 : If Assumption 3 holds, th e sequ ence gen- erated by the FBHF algo rithm conver ges to Z . Since, w − u ∈ Ψ − 1 C u , it follows that ( u, w − u ) ∈ gph(Ψ − 1 C ) . Addition ally , 0 ∈ D u ∗ + C u ∗ , implyin g that ( u ∗ , − Ψ − 1 D u ∗ ) ∈ gph(Ψ − 1 C ) . Monoton icity of the in- volved op erators, implies that h u − u ∗ , w − u − Ψ − 1 D u ∗ i Ψ ≤ 0 , an d h u − u ∗ , Ψ − 1 ( B u ∗ − B u ) i Ψ ≤ 0 , Using th ese two inequalities, we see h u − u ∗ , u − w − Ψ − 1 B u i Ψ = h u − u ∗ , Ψ − 1 A u ∗ i Ψ + h u − u ∗ , u − w − Ψ − 1 D u ∗ i Ψ + h u − u ∗ , Ψ − 1 ( D u ∗ − B u ) i Ψ ≤ h u − u ∗ , Ψ − 1 A u ∗ i Ψ Therefo re, 2 h u − u ∗ , Ψ − 1 ( B v − B u ) i Ψ = 2 h u − u ∗ , Ψ − 1 B v + w − u i Ψ + 2 h u − u ∗ , u − w − Ψ − 1 B u i Ψ ≤ 2 h u − u ∗ , Ψ − 1 B v + w − u i Ψ + 2 h u − u ∗ , Ψ − 1 A u ∗ i Ψ = 2 h u − u ∗ , Ψ − 1 D v + w − u i Ψ + 2 h u − u ∗ , Ψ − 1 ( A u ∗ − A v ) i Ψ = 2 h u − u ∗ , v − u i Ψ + 2 h u − u ∗ , Ψ − 1 ( A u ∗ − A v ) i Ψ , (19) where in the last eq u ality we have used th e id entity w = v − Ψ − 1 D v . Using th e co sine form ula, (19) beco mes 2 h u − u ∗ , Ψ − 1 ( B v − B u ) i Ψ ≤ k v − u ∗ k 2 Ψ − k u − u ∗ k 2 Ψ − k v − u k 2 Ψ + 2 h u − u ∗ , Ψ − 1 ( A u ∗ − A v ) i Ψ . (20) The co coercivity of Ψ − 1 A in ( H , h· , ·i Ψ ) g i ves for all ε > 0 2 h u − u ∗ , Ψ − 1 ( A u ∗ − A v ) i Ψ = 2 h v − u ∗ , Ψ − 1 ( A u ∗ − A v ) i Ψ + 2 h u − v , Ψ − 1 ( A u ∗ − A v ) i Ψ ≤ − 2 αθ k Ψ − 1 ( A u ∗ − A v ) k 2 Ψ + 2 h u − v , Ψ − 1 ( A u ∗ − A v ) i Ψ = − 2 αθ k Ψ − 1 ( A u ∗ − A v ) k 2 Ψ + 1 ε k Ψ − 1 ( A v − A u ∗ ) k 2 Ψ + ε k v − u k 2 Ψ − ε k v − u − 1 ε Ψ − 1 ( A v − A u ∗ ) k 2 Ψ = ε k v − u k 2 Ψ − 2 αθ − 1 ε k Ψ − 1 ( A v − A u ∗ ) k 2 Ψ − ε k v − u − 1 ε Ψ − 1 ( A v − A u ∗ ) k 2 Ψ . Combining th is estimate with (20), we see 2 h u − u ∗ , Ψ − 1 ( B v − B u ) i Ψ ≤ k v − u ∗ k 2 Ψ − k u − u ∗ k 2 Ψ − k v − u k 2 Ψ + ε k v − u k 2 Ψ − 2 αθ − 1 ε k Ψ − 1 ( A v − A u ∗ ) k 2 Ψ − ε k v − u − 1 ε Ψ − 1 ( A v − A u ∗ ) k 2 Ψ . Therefo re, k v + − u ∗ k 2 Ψ = k u + Ψ − 1 ( B v − B u ) − u ∗ k 2 Ψ = k u − u ∗ k 2 Ψ + 2 h u − u ∗ , Ψ − 1 ( B v − B u ) i Ψ + k Ψ − 1 ( B v − B u ) k 2 Ψ ≤ k u − u ∗ k 2 Ψ + k Ψ − 1 ( B v − B u ) k 2 Ψ − k u − u ∗ k 2 Ψ − 2 αθ − 1 ε k Ψ − 1 ( A v − A u ∗ ) k 2 Ψ + k v − u ∗ k 2 Ψ − k v − u k 2 Ψ + ε k v − u k 2 Ψ − ε k v − u − 1 ε Ψ − 1 ( A v − A u ∗ ) k 2 Ψ . Since, k Ψ − 1 ( B v − B u ) k 2 Ψ ≤ ( L/α ) 2 k v − u k 2 Ψ , th e a bove reads as k T FBHF v − u ∗ k 2 Ψ ≤k v − u ∗ k 2 Ψ − L 2 1 − ε L 2 − 1 α 2 k v − u k 2 Ψ − 1 αε 2 θ ε − 1 α k Ψ − 1 ( A v − A u ∗ ) k 2 Ψ − ε k v − u − 1 ε Ψ − 1 ( A v − A u ∗ ) k 2 Ψ . In order to choo se the largest inter val fo r 1 /α ensuring that the second and th ir d terms are negative, we set χ ≤ min { 2 θ , 1 /L } . Then, k T FBHF v − u ∗ k 2 Ψ ≤k v − u ∗ k 2 Ψ − L 2 χ 2 − 1 α 2 k v − u k 2 Ψ − 2 θ αχ χ − 1 α k Ψ − 1 ( A v − A u ∗ ) k 2 Ψ − χ 2 θ k v − u − 2 θ χ (Ψ − 1 ( A v − A u ∗ )) k 2 Ψ . From he r e, we obtain conv ergence of the sequence ( v k ) k ≥ 0 as a consequ ence o f [ 12, Thm. 2.3] fo r 1 /α ∈ (0 , χ ) . R E F E R E N C E S [1] J. B. Rosen, “Existenc e and uniquene ss of equilibrium points for conca ve n-person games, ” Econo metrica: J ournal of the Econ ometric Societ y , pp. 520–5 34, 1965. [2] F . Facc hinei and J.-S. Pang, F inite-dimensi onal variational inequaliti es and c omplement arity proble ms . Springer , 2007. [3] F . Facc hinei and C. Kanzo w, “General ized Nash equilibriu m prob- lems, ” Annals of Oper ations Researc h , vol. 175, no. 1, pp. 177–211, 2010. [4] L. Pave l, “ An extension of duality to a game-theore tic framew ork, ” Automat ica , vol . 43, no. 2, pp. 226–237, 20 07. [5] A. A. Kulkarni and U. V . Shanbhag, “On the varia tional equilibrium as a refinement of the generalized Nash equilibrium, ” Automatic a , vol. 48, no. 1, pp. 45–55 , 2012. [6] G. Belgioioso and S. Grammatico, “Project ed-gradi ent algorithms for generali zed equilibrium seeking in aggre gati ve games are pre- conditi oned forward-bac kward methods, ” in 2018 Eur opean Contr ol Confer ence (ECC) . IEEE , 201 8, pp. 2188–2193. [7] P . Y i and L. Pav el, “ An operator s plitt ing approach for distribute d general ized Nash equilibria computation, ” Automat ica , vol. 102, pp. 111–121, 2019. [8] G. Belgioi oso and S. Gra mmatico, “Semi-dec entral ized nash equil ib- rium seeking in aggrega ti ve games with s eparabl e coupling constraint s and non-diff erentia ble cost function s, ” IEEE contr ol systems letters , vol. 1, no. 2, pp. 400–405, 2017. [9] G. Debre u, “ A soci al equi librium exi stence theorem, ” Pr oceedings of the National Academy of Scie nces , vol. 38, no. 10, pp. 886–893, 1952. [10] H. H. Bauschke and P . L. Combettes, Con vex A nalysis and Mo notone Operat or Theory in Hilbert Spaces . Springer - CMS Books in Mathemat ics, 2016. [11] P . Tseng, “ A m odified forward-backw ard splitting method for maximal monotone mappings, ” SIAM J ournal on Contr ol and Optimization , vol. 38, no. 2, pp. 431–446, 2000. [12] L. Brice ˜ no Arias and D. Davis, “Forw ard-bac kward-ha lf forward algorit hm for solving monotone inclusions, ” SIAM Journal on Op- timizati on , vol. 28, no. 4, pp. 283 9–2871, 2018. [13] S. Grammatico, “Dynamic control of agents playing aggre gati ve games with coup ling con straints, ” IEEE T ra nsactions on Automatic Cont r ol , vol. 62, no. 9, pp. 4537–4548, 2017. [14] F . Clarke, Y . S. Ledyaye v , R. Stern, and P . W olenski, Nonsmooth analysis an d Cont r ol theo ry . Springer Berlin H eidelberg , 1998.
Original Paper
Loading high-quality paper...
Comments & Academic Discussion
Loading comments...
Leave a Comment