Distributed payoff allocation in coalitional games via time varying paracontractions

We present a partial operator-theoretic characterization of approachability principle and based on this characterization, we interpret a particular distributed payoff allocation algorithm to be a sequence of time-varying paracontractions. Further, we…

Authors: Aitazaz Ali Raja, Sergio Grammatico

Distributed payoff allocation in coalitional games via time varying   paracontractions
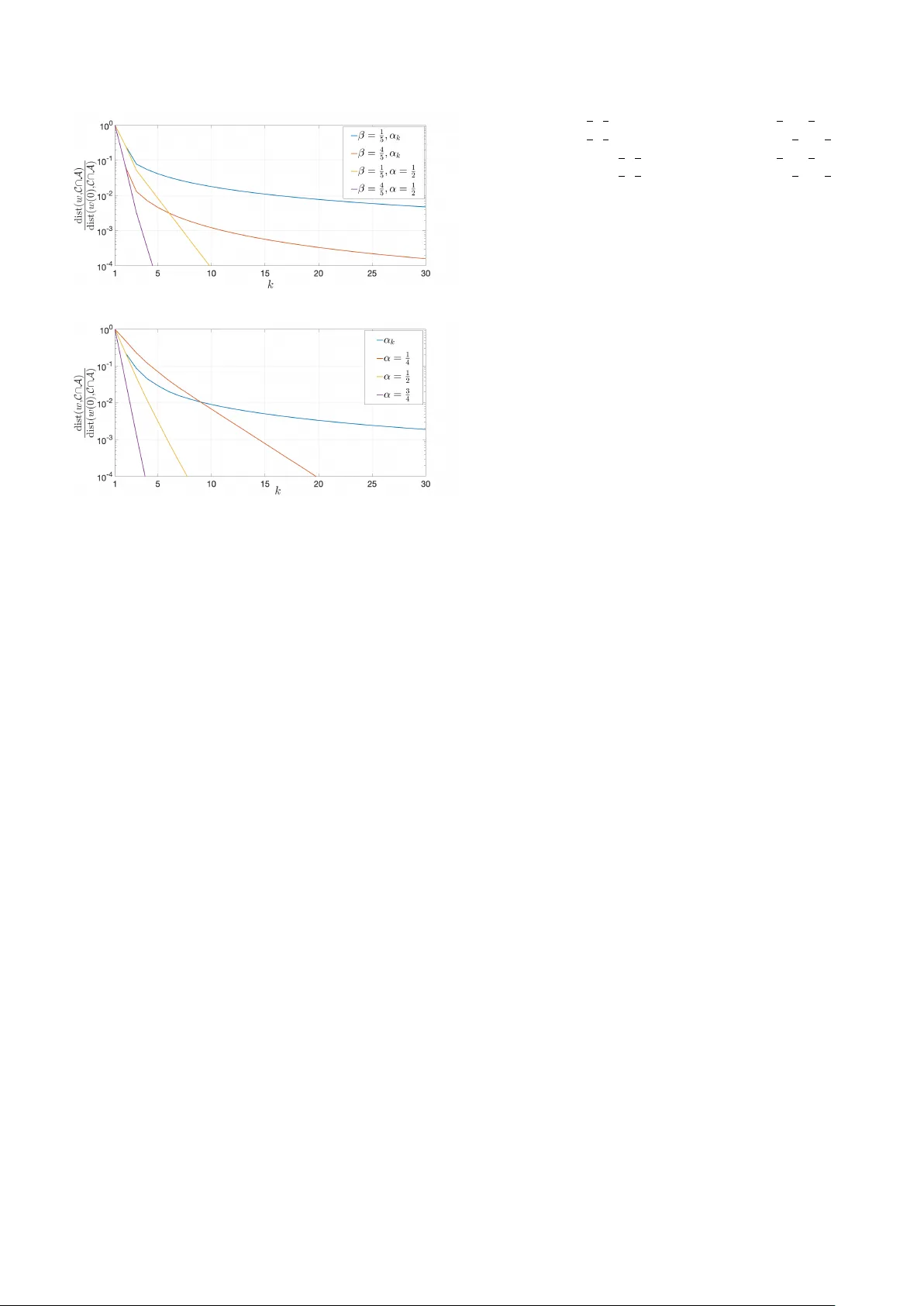
Distributed pa y off allo cation in coalitional games via time v arying paracon tractions Aitazaz Ali Ra ja, Sergio Grammatico Delft Center for Systems and Contr ol, TU Delft, The Netherlands. Abstract: W e present a partial op erator-theoretic c haracterization of approachabilit y principle and based on this characterization, w e interpret a particular distributed pa yoff allocation algo- rithm to be a sequence of time v arying paracon tractions. F urther, we also propose a distributed algorithm, under the context of coalitional game, on time-v arying comm unication net w ork. The state in the prop osed algorithm con verges to a consensus within, the predefined, desired set. F or con vergence analysis, we rely on the op erator-theoretic property of paracontraction. Keywor ds: Coalitional game theory , Approachabilit y principle, Paracon traction. 1. INTR ODUCTION Coalitional game theory provides an analytical framework and mathematical formalism, to study the behavior of selfish and rational agen ts, when they are willing to co- op erate. Interestingly , this scenario arises in many appli- cations, suc h as demand side energy management [Han et al. (2018)], in p ow er net works for transmission cost allo cation [Zolezzi and Rudnic k (2002)] and co op eration b et w een microgrids in distribution net works [Saad et al. (2011)], in v arious areas of communication netw orks by [Saad et al. (2009)], [Saad et al. (2008)] and as conceptual foundation for coalitional control [F ele et al. (2017)]. Sp ecifically , a coalitional game with tr ansfer able utility consists of a set of agen ts referred as pla y ers, who can form coalitions, and a characteristic function that determines the value of each coalition. Note that a selfish agent will co operate with other agents only if this coalition results in increasing its own benefit. The latter is determined b y the pa yoff the agen t receives from the v alue generated b y a coalition. The design of criteria for determining this pa yoff has receiv ed acute atten tion by researc h comm unity , suc h as Scarf (1967), Shapley (1953), Sc hmeidler (1969), Masc hler et al. (1971). The solutions prop osed determine the stability of a coalition, i.e., whether the coalition re- mains intact or gets defected by its agen ts. One of the most widely studied solution concepts is the CORE whic h ensures the stability of a game. The problem we address in this pap er is finding a pay off that b elongs to CORE and hence encourages co operation. Our practical treatment of this problem is in a multi- agen t scenario, where play ers in teract autonomously and in distributed manner to arriv e at common agreement on a pa yoff vector in the CORE. In this direction, Lehrer (2003) presented an allocation pro cess which con verges to the CORE (or if this is empty , to a least-CORE). Sm yrnakis et al. (2019) also consider an allo cation pro cess but under noisy observ ations and dynamic environmen t. Bauso et al. (2014) provide conditions for an av eraging ? This work w as partially supported by NW O under research pro ject P2P-T ALES (grant n. 647.003.003) and the ER C pro ject COSMOS, (802348).Email address: { a.a.ra ja, s.grammatico } @tudelft.nl. pro cess, with dynamics sub ject to controls and adversar- ial disturbances, under which the allo cations conv erge to consensus in the desired set. Nedich and Bauso (2013) prop ose an elegant distributed bargaining algorithm whic h con verges to a random CORE pay off allo cation. The k ey inspiration, ho wev er, of our work is the distributed pa yoff allo cation algorithm proposed b y Bauso and Notarstefano (2015). Their algorithm is based on the approac hability principle, which is a geometric condition introduced in Blac kwell’s approachabilit y Theorem [Blackw ell (1954)]. The approac hability principle provides a w a y to approach a particular set and hence can b e exploited to reach the CORE in the context of coalitional game theory . Contribution : In this pap er, we first show that the ap- proac hability condition con tains a paracon traction op er- ator. Briefly , an op erator T : R n → R n is said to b e a paracontraction if, for any fixed p oin t y = T ( y ) and x ∈ R n , where x 6 = y , it holds that k T ( x ) − y k < k x − y k . These op erators form the subclass of, p erhaps more kno wn, quasi-non-exp ansive mappings [Ernest Ryu and Bo yd (2016)]. Secondly , we prop ose a distributed pay off allo cation al- gorithm, in con text of coalitional games ov er time-v arying comm unication netw orks. The state of proposed algorithm con verges to a consensus v ector that b elongs to the CORE. Our approach to prov e conv ergence of our algorithm relies on the paracontraction property of the adopted op erator. Or ganization of the p ap er : In Section 2, we provide the mathematical background for coalitional games and dis- tributed allo cation pro cess. In Section 3, we discuss the approac hability principle and recall the distributed pa yoff allo cation algorithm by Bauso and Notarstefano (2015). In Section 4, we provide a partial operator-theoretic char- acterization of the approac hability principle, and we dis- cuss algorithm in [Bauso and Notarstefano (2015)]. In Section 5, we prop ose an algorithm for distributed allo- cation in coalitional games and establish its conv ergence using op erator-theoretic prop erties. F urther, we asses the con vergence speed of prop osed algorithm in Section 6, and in Section 7, we conclude the pap er. Notation : R and N denote the set of real and natural n umbers, resp ectiv ely . Giv en a mapping M : R n → R n , fix( M ) := { x ∈ R n | x = M ( x ) } denote the set of fixed p oin ts. Id denotes the iden tit y operator. F or a closed set S ⊆ R n , the mapping pro j S : R n → S denotes the pro jection onto S, i.e., pro j S ( x ) = arg min y ∈ S k y − x k . A ⊗ B denotes the Kronec k er pro duct b etw een the matrices A and B . I N denotes an identit y matrix of dimension N × N . dist( x, S ) denotes the distance of x from a closed set S ⊆ R n , i.e., dist( x, S ) := inf y ∈ S k y − x k . 2. MA THEMA TICAL BACK GROUND ON CO ALITIONAL GAMES A coalitional game consists of a set of agents, indexed b y I = { 1 , . . . , N } , who coop erate to achiev e selfish in terests. This co op eration results in generation of utility as defined b y the c haracteristic function v . F ormally , Definition 1. (Coalitional game): A transferable utility (TU) coalitional game is a pair G = ( I , v ), where I = { 1 , . . . , N } is the index set of the agen ts and v : 2 N → R is a characteristic function which assigns a real v alue, v ( S ), to each coalition S ⊆ I . v ( I ) is the v alue of so-called grand coalition. By conv ention, v (0) = ∅ .  The idea of coalitional game is that the v alue attained by a coalition S , i.e. , v ( S ) has to b e distributed among the mem b ers of the coalition, th us each agent receiv es a certain pa yoff. Definition 2. (P ay off vector): Let S ⊆ I b e a coalition of coalitional game ( I , v ). A pay off v ector is a v ector x ∈ R | S | . Where x i represen ts the share of agent i ∈ S of v ( S ).  Let us state tw o imp ortant characteristics of a pay off v ector which will further help us in explaining the solution concept of a coalitional game. First, for a game with a grand coalition I , a pay off v ector x ∈ R N is said to b e efficien t if P i ∈I x i = v ( I ). In words, all of the v alue generated by grand coalition will b e distributed among the agents. Second, a pa yoff vector is rational if for every p ossible coalition S ⊆ I w e hav e P i ∈ S x i ≥ v ( S ). Note that this should also hold for singleton coalitions S = { i } i.e. x i ≥ v ( i ) , ∀ i ∈ I . It means that, pa yoff allo cated to eac h agen t should b e at least equal to what they can get individually or by forming an y coalition S other than I . A pa yoff vector which is both efficient and rational lies in the CORE. CORE is the solution concept that relates with the stability of a grand coalition. Where, the idea of stability , in this context, is based on the disin terest of agen ts in defecting a grand coalition. F ormally , Definition 3. (CORE): The CORE C of a coalitional game ( I , v ) is the following set of pay off v ectors: C :=  x ∈ R N | X i ∈I x i = v ( I ) , X i ∈ S x i ≥ v ( S ) , ∀ S ⊆ I  . (1)  Eac h pay off allo cation that b elongs to CORE stabilizes the grand coalition. It implies that no agent or coalition S ⊂ I has an incen tiv e to defect from the grand coalition. In the sequel, w e deal with the grand coalition only , there- fore w e use the CORE C as the solution concept. Note Fig. 1. Geometric interpretation of the approachabilit y principle. from (1) that C is closed and conv ex. W e also assume the CORE to b e non-empty through out the pap er. Next, w e discuss a p ossible strategy of finding the pa yoff vector, in a coalitional game G = ( I , v ), that b elongs to CORE, C in (1). Centralized metho ds for finding a v ector x ∈ C do not capture realistic scenarios of interaction among autonomous selfish agen ts. Thus, distributed me thods are emplo yed that allow agents to autonomously reac h a com- mon agreement on a pa yoff allocation, x ∈ C . Generally , the distributed allo cation is an iterative pro- cedure in which, at each step, an agen t i proposes a utilit y distribution x i ∈ R N b y av eraging the prop osals of all agents and introducing an innov ation factor. This pro cedure aspires to finally reach at a m utually agreed pay- off among participating agents. Even tually the prop osed utilit y distributions { x i } i ∈I m ust reach consensus. Definition 4. (Consensus set): The consensus set A ⊂ R N 2 is defined as: A := { x = col( x 1 , . . . , x N ) ∈ R N 2 | x i = x j , ∀ i, j ∈ I } . (2)  Therefore, in this pap er, we consider the problem of computing a mutually agreed, pay off allo cation vector in the CORE, i.e., ¯ x ∈ A ∩ C , via a iterativ e distributed allo cation, i.e., x ( k ) → ¯ x as k → ∞ . 3. APPR OA CHABILITY PRINCIPLE AND DISTRIBUTED P A YOFF ALLOCA TION 3.1 Appr o achability principle W e now discuss a geometric principle whic h can guarantee the conv ergence of a pa yoff allocation sequence to a target set, whic h in our coalitional game theory context, is the CORE C , as in (1).This principle, which we refer to as approachabilit y principle, is the geometric concept b ehind celebrated approachabilit y theorem by Blackw ell presen ted in [Blac kwell (1954)]. Definition 5. (Approac hability Principle)[Lehrer (2003), 3.2], Let ( y k ) k ∈ N b e a sequence of uniformly b ounded v ectors in R n , with running av erage ¯ y k := 1 k P k k 0 =1 y k 0 , and let C b e a non-empty , closed and conv ex set. If the sequence satisfies the condition, ( ¯ y k − pro j C ( ¯ y k )) > ( y k +1 − pro j C ( ¯ y k )) ≤ 0 , ∀ k ∈ N , (3) then lim k →∞ dist( ¯ y k , C ) = 0 .  In Figure 1, w e illustrate the approachabilit y condition in (3). Let us give a geometric in terpretation: the h yperplane through the p oin t pro j C ( ¯ y k ), p erpendicular to the vector ( ¯ y k − pro j C ( ¯ y k )), which is the first term in (3), separates the space into the half-spaces H + and H − . The the ap- proac hability condition requires that, the inno v ation y k +1 and the av erage ¯ y k should not lie in the same half-space. Among others, Bauso and Notarstefano (2015) ha ve used the approachabilit y principle to design a distributed pay off allo cation algorithm whic h con v erges to a consensus v ector in the CORE in (1). Let us recall their setup and solution algorithm in next subsection. 3.2 A time-varying Distribute d p ayoff al lo c ation pr o c ess Consider a set of agen ts I = { 1 , . . . , N } who syn- c hronously propose a distribution of utility at eac h discrete time step k ∈ N . Sp ecifically , e ac h agent i ∈ I prop oses a pay off distribution ˆ x i ( k ) ∈ R N , where the j th element denotes the share of agent j prop osed by agent i . Then, eac h agen t i computes ˆ x i b y a veraging the proposals b y his neighb oring agents and then by generating an innov ation v ector x as follows: ˆ x ( k + 1) = (1 − α k ) A k ˆ x ( k ) + α k x ( k + 1) , ∀ k ∈ N , (4) where ( α k ) k ∈ N is a positive sequence of step sizes, with α k := 1 k +1 , and A k := A ( k ) ⊗ I N represen ts an adjacency matrix. No w, Let the comm unication graph v ary ov er time as G ( k ) = ( I , E ( k )). Sp ecifically , ( j, i ) ∈ E ( k ) means that there is an activ e link b etw een agen ts i and j at time k . In [Bauso and Notarstefano (2015), Assumption 2], the graph sequence ( G ( k )) k ∈ N is assumed to b e Q − connected. Assumption 1. There exists an in teger Q ≥ 1 such that the graph ( I , ∪ Q l =1 E ( l + k )) is strongly connected, for all k ≥ 0.  The communication links in G ( k ) are weigh ted using an adjacency matrix A ( k ) = [ a i,j ( k )] N × N , whose element a i,j represen ts the weigh t assigned by agen t i to the pay off distribution prop osed by agent j , ˆ x j ( k ). By [Bauso and Notarstefano (2015), Assumption 1], the adjacency matrix is alwa ys doubly sto c hastic with p ositive diagonal. Assumption 2. F or all k ≥ 0, the matrix A ( k ) = [ a i,j ( k )] N × N satisfies following conditions: (i) It is doubly sto chastic; (ii) its diagonal elemen ts are strictly p ositiv e, i.e., a i,i ( k ) > 0 , ∀ i ∈ I ; (iii) ∃ γ > 0 such that a i,j ( k ) ≥ γ whenev er a i,j ( k ) > 0.  F urthermore, at each time k , the agents generate an inno v ation vector x ( k ) in (4), satisfying approachabilit y condition, as form ulated in (3). Sp ecifically , let w ( k ) := A k ˆ x ( k ), with ˆ x ( k ) as in (4), then following is p ostulated in [Bauso and Notarstefano (2015), Assumption 4]: Assumption 3. F or eac h k ∈ N , the inno v ation v ector x ( k + 1) in (4) satisfies the follo wing inequality: ( w ( k ) − pro j C ( w ( k ))) > ( x ( k + 1) − pro j C ( w ( k ))) ≤ 0 , (5) where C is the CORE set as in (1).  Moreo ver, to fulfil the conditions of the approac hability principle, the innov ation v ector is uniformly b ounded, [Bauso and Notarstefano (2015), Assumption 4]. Assumption 4. Let x ( k + 1) b e innov ation vector in (4). There exist L > 0, such that k x i ( k + 1) k ≤ L, ∀ k ≥ 0. The main result regarding the iteration in (4) by Bauso and Notarstefano (2015) is that, if Assumptions 1 − 4 hold then the av erage allo cation vector ˆ x ( k ) will conv erge to the set A ∩ C . In the context of coalitional game theory , this implies that through the distributed allo cation pro cess in (4), the agents will reach a common agreement on the pa yoff distribution, which lies in the CORE. 4. OPERA TOR THEORETIC CHARACTERIZA TION 4.1 Appr o achability principle as a p ar ac ontr action In this subsection, we aim at providing an op erator- theoretic c haracterization of the approac hability condition in (5), and present an interesting op erator contained by approac hability condition which holds a p ar ac ontr action prop ert y . T o sho w that, w e first define the notion of paracon traction. Definition 6. (P aracontraction): A contin uous mapping M : R n → R n is a paracontraction, with resp ect to a norm k · k on R n , if k M ( x ) − y k < k x − y k , for all x, y ∈ R n suc h that x / ∈ fix( M ) , y ∈ fix( M ).  The approachabilit y condition in (5), given w ( k ) = A k ˆ x ( k ) provides us the criterion for generating an inno- v ation vector x ( k + 1) to b e used in the iterative process in (4). In the next statement, we will present an alterna- tiv e formulation for the approachabilit y condition which, in terestingly , is the sum of a paracontracting operator and arbitrary vectors with specific geometric meaning. L emma 1. Let β ∈ [0 , 1), Q C := 2pro j C − Id b e the ov er- pro jection op erator, v ⊥ ( k ) = v ⊥ ( w i ( k )) b e an arbitrary v ector that b elongs to the hyperplane orthogonal to the v ector u := ( w i ( k ) − pro j C ( w i ( k ))) in (5) and v − ( k ) = v − ( w i ( k )) b e a v ector orthogonal to v ⊥ ( k ) in the direction opp osite to vector u , (Figure 2). Then, the follo wing equa- tion corresp onds exactly to the approachabilit y condition in (5): x i ( k + 1) = (1 − β )pro j C ( w i ( k ))+ β Q C ( w i ( k )) + v ⊥ ( k ) + v − ( k ) .  (6) In Figure 2, we geometrically illustrate Equation (6) for some β ∈ (1 / 2 , 1). Pro of. T o show that (6) corresp onds to the approacha- bilit y condition, let us plug (6) in to (5). In the remainder of the proof, we drop the dep endence on k for ease of notation. (a) (b) Fig. 2. Illustration of the approachabilit y condition as in Equation (6): pro jection and ov er-pro jection (a); inno v ation x + i (b). ( w i − pro j( w i )) > | {z } u ( x + |{z} (6) − pro j( w i )) ≤ 0 ⇔ ( u ) > ((1 − β )pro j C ( w i ) + β Q C ( w i ) | {z } 2pro j C ( w i ) − w i + v ⊥ + v − − pro j( w i )) ≤ 0 ⇔ ( u ) > ( β ( − u ) + v ⊥ + v − ) ≤ 0 ⇔ − β ( u ) > ( u ) + ( u ) > v ⊥ | {z } 0 +( u ) > v − ≤ 0 ⇔ − β k u k 2 − | u | | v − | ≤ 0 , Since all the steps are equiv alent and the vectors v ⊥ and v − can b e chosen arbitrarily for each given w i ( k ), and since any p oin t in H − can b e written in the form in (6), w e conclude that (6) is equiv alent to the approachabilit y condition in (5).  Let us no w consider the particular case of (6) with v ⊥ = v − = 0, and define the dep endence of x ( k + 1) from w ( k ) via an op erator T : ∀ i ∈ I : x + i = (1 − β )pro j C ( w i ) + β Q C ( w i ) = ((1 − β )pro j C + β Q C ) | {z } T i ( w i ) = T i ( w i ) . (7) The op erator T i := (1 − β )pro j C ( · ) + β Q C ( · ) in (7) is a mapping from w ( k ) to x ( k + 1) which, by Lemma 1, satisfies the approac hability condition in (5). Using this op erator T i , we can giv e the following representation to the process of generation of an innov ation v ector x ( k + 1) in (4), whic h is equiv alen t to the particular case in (7) of the approachabilit y condition. x ( k + 1) = T ( w ( k )) =    T 1 ( w 1 ( k )) . . . T N ( w N ( k ))    . (8) Next, we present an op erator-theoretic prop erty of the op erator T in the following statemen t. The or em 1. The op erator T : R n → R n defined in (7) − (8) is a paracontraction.  Before presen ting the proof of Theorem 1, we pro vide t wo tec hnical statements, which w e exploit later in the pro of. L emma 2. (Pro jection and Ov er-pro jection operators): Let C ⊂ R n b e a non-empt y , closed and con v ex set. Then, with resp ect to the Euclidean norm k · k 2 : (i) the pro jection op erator pro j C is a paracontraction; (ii) the ov er pro jection op erator, Q C := 2pro j C − Id, is non-expansiv e.  Pro of. (i): If C is closed and conv ex then pro j C is a paracon traction, [Elsner et al. (1992), Example 2]. (ii): By [Ernest Ryu and Boyd (2016), Subsection 3.1].  L emma 3. Let M b e a paracontraction, B b e a non- expansiv e op erator, with fix( M ) ∩ fix( B ) 6 = ∅ and α ∈ (0 , 1). Then, C := (1 − α ) M + αB is a paracon traction.  Pro of. Let y ∈ fix( M ) ∩ fix( B ) and x 6 = y . Then: k C ( x ) − C ( y ) k = k ((1 − α ) M + αB ) x − ((1 − α ) M + αB ) y k = k (1 − α )( M x − M y ) + α ( B x − B y ) k ≤ (1 − α ) k M x − y k + α k ( B x − y ) k < (1 − α ) k x − y k + α k ( x − y ) k = k x − y k , where w e hav e used the triangular inequality and then the definition of paracontraction for M . Therefore, with k C ( x ) − C ( y ) k < k x − y k , we obtain the definition of paracon traction.  R emark 1. Lemma 3 also holds if b oth op erators are paracon tractions (with the same pro of ).  Giv en these results, we are now ready to present the pro of of Theorem 1. Pro of. (Theorem 1): A t eac h time k an agent i generates an innov ation vector x i ( k + 1) in (4), satisfying the restricted approachabilit y condition in (7). By Lemma 2, the op erator T in (8) is a conv ex combination of a paracon traction, pro j C ( · ) and a non-expansive op erator, Q C ( · ). Thus, b y Lemma 3, it is a paracontraction.  4.2 Distribute d al lo c ation pr o c ess as a se quenc e of time varying p ar ac ontr actions The result in Theorem 1 further allows us to characterize an operator-theoretic prop ert y of the iteration in (4). W e show that, under a particular case of approac hability condition in (7), the iteration generates a sequence of time v arying paracon tractions. T o prov e this, w e recall t wo useful results related to paracon tractions. Pr op osition 1. (Comp osition of paracon tracting op era- tors): Supp ose M 1 , M 2 : R n → R n are paracon tractions with resp ect to same norm k · k and fix( M 1 ) ∩ fix( M 2 ) 6 = ∅ . Then the comp osition M 1 ◦ M 2 is a paracontraction with resp ect to the norm k · k and fix( M 1 ◦ M 2 ) = fix( M 1 ) ∩ fix( M 2 ), [F ullmer and Morse (2018), Prop. 1].  Pr op osition 2. (Doubly sto c hastic matrix): Let A be a doubly sto c hastic matrix with strictly p ositiv e diagonal elemen ts. Then, the linear op erator defined b y the matrix A ⊗ I n is a paracon traction with resp ect to the mixed vector norm k · k 2 , 2 , [F ullmer and Morse (2018), Prop. 5].  Using the operator T in (8) and w ( k ) = A k ˆ x ( k ) as in (5), w e can rewrite (4) as: w ( k + 1) = (1 − α k ) A k w ( k ) + α k A k T ( w ( k )) , ∀ k ∈ N . (9) Note that, the step-size sequence ( α k ) k ∈ N in (4) is sp ecified to b e α k = 1 k +1 b y Bauso and Notarstefano (2015). Here, w e can generalize it sub ject to the following assumption. Assumption 5. Let ( α k ) k> 0 b e a sequence suc h that α k ∈ (0 , 1) , ∀ k ≥ 0, P ∞ k =0 α k = ∞ , and P ∞ k =0 α 2 k < ∞ .  Let us also define an op erator S k := (1 − α k ) A k ( · ) + α k A k T ( · ), which in turn allows us to represent the it- eration in (9) more concisely as: w ( k + 1) = S k ( w ( k )) . (10) With the latter formulation, we can now conv eniently c haracterize the paracontraction prop ert y of the op erator S k , according to the corollary b elo w. Cor ol lary 1. Let the op erator T : R n → R n b e as in (8). Then, for each k ∈ N , the op erator S k in (10) is a paracon traction.  Pro of. By Theorem 1, the op erator T is a paracontrac- tion. F urthermore, by Prop osition 1 and 2, the comp osi- tion A k ◦ T ( · ) is also a paracon traction. This fact and Prop osition 2 imply that for e ac h k ∈ N the operator S k := (1 − α k ) A k ( · ) + α k A k T ( · ) is a conv ex combination of paracontractions and hence, by Remark 1 on Lemma 3, is a paracontraction.  R emark 2. Corollary 1 also holds if, for all k ∈ N , α k = α ∈ (0 , 1) in (9).  The results in Theorem 1 and Corollary 1 provide an in teresting op erator-theoretic insigh t into the structure of algorithm presen ted by Bauso and Notarstefano (2015). W e use this insight to design our own distributed pay off allo cation algorithm, whic h w e presen t in the next section along with its conv ergence pro of. 5. DISTRIBUTED ALLOCA TION VIA P ARACONTRA CTION OPERA TORS OVER TIME-V AR YING NETW ORKS In this section, w e presen t our distributed allo cation algo- rithm and exploit the results derived in Section 4 to pro ve its conv ergence. The algorithm we prop ose is similar, in structure, to iteration presen ted in (9), so the same defini- tions hold except for the step size α , which is considered to b e fixed here. In fact, the paracontraction prop ert y of the employ ed op erator in proposed algorithm, allows us to pro ve the conv ergence, even with the fixed α . F urther, w e will show in Section 6 via numerical simulations that the algorithm actually p erforms faster with an appropriate c hoice of fixed step size α . Let the elements of the iteration, i.e., the set of agents I , the op erator T , the vector w ( k ) and the matrix A k = A ( k ) ⊗ I N b e as in (9), defined in Subsection 3.2. Then, the distributed allo cation pro cedure on time v arying net w orks, tak es the form: w ( k +1) = (1 − α ) A k w ( k )+ α A k T ( w ( k )) , ∀ k ∈ N . (11) Note that, in our prop osed iteration in (11), there are tw o differences compared to (9). First, the step size α is fixed and secondly the elemen ts of communication matrix A ( k ) can take v alues from finite set. The latter implies that there are finite n umber of adjacency matrices av ailable, for the communication among agen ts. F ormally , Assumption 6. Eac h element of communication matrix A k , i.e., a i,j ( k ) , ∀ ( i, j ) ∈ I , can tak e the v alues in a finite set.  W e can also redefine the op erator S in (10) with fixed α as S k := (1 − α ) A k ( · ) + α A k T ( · ) to write (11) in compact form as: w ( k + 1) = S k ( w ( k )) , ∀ k ∈ N . (12) Note that, b ecause of fixed step size α in (11) and Assumption 6, the op erator s equence ( S k ) k ∈ N will belong to a finite family of paracon tractions. This will allow us to exploit the following well-kno wn theorem, prov ed by Elsner et al. (1992), later for our conv ergence result. L emma 4. (Elsner et al. (1992)) Let M b e a finite family of paracon tractions such that T M ∈M fix( M ) 6 = ∅ , and consider the iteration x ( k + 1) = M k ( x ( k )) , where, for eac h k ∈ N , M k ∈ M . Then, the state x ( k ) con verges to a common fixed point of the paracontractions that o ccur infinitely often in the sequence.  W e no w hav e the necessary tools and algorithmic setup to sho w, in the following theorem, that iteration in (11) − (12) con verges to a consensus vector, see A in (2) which b elongs to CORE, C in (1). The or em 2. Let α ∈ (0 , 1] and the op erator T : R n → R n b e a paracontraction with fix( T ) = C in (1). Let Assumptions 1 − 3 and 6 hold. Then, the iteration in (12) is such that: (i) ( S k ) k ∈ N is a sequence of time-v arying paracon trac- tions; (ii) fix( S k ) = C ∩ A , ∀ k ∈ N ; (iii) lim k →∞ w k = w ∗ for some w ∗ ∈ C ∩ A , where C is the CORE set (1) and A is the consensus set (2).  Pro of. (i): It follo ws directly from Remark 2 on Corollary 1. (ii): T o characterise the fixed p oin ts of S k in (12), let y ∈ fix( S k ) i.e. y = (1 − α ) A k y + α A k T ( y ). And let ¯ w ∈ fix( T ) ∩ A . Here, we w an t to sho w that y = ¯ w . It follo ws b y P erron-F rob enius theorem that fix( A k ) = A , regardless of the temp oral v ariation in A k . So, ¯ w ∈ A ⇒ ¯ w = A k ◦ T ( ¯ w ). Consequently , y = (1 − α ) A k ¯ w + α A k T ( ¯ w ) ⇒ y = ¯ w . And, as fix( T ) = C , hence fix( S k ) = C ∩ A , which concludes the pro of of this assertion. (iii): It follows from assertion (i), (ii), Assumption 6 and direct application of Lemma 4.  (a) (b) Fig. 3. (a): The tra jectories of dist( w ( k ) , C ∩ A ) / dist( w (0) , C ∩ A ) with α = 1 / ( k + 1) for β = 1 / 5 , 4 / 5 and α = 1 / 2 for β = 1 / 5 , 4 / 5 . (b): The tra jectories of dist( w ( k ) , C ∩ A ) / dist( w (0) , C ∩ A ) with α = 1 / 4 , α = 1 / 2 , α = 3 / 4 and α = 1 / ( k + 1). This result sho ws a remark able ability of operator- theoretic to ols to describe algorithms in general form. F or instance, our algorithm in (10) allows a mec hanism designer to choose an op erator T in (11) of his c hoice to p ossibly steer the consensus tow ards a particular p oin t in set C in (1). This op erator is primarily required to fulfill t wo necessary requiremen ts: it should b e a paracon traction and fix( T ) = C . 6. NUMERICAL SIMULA TIONS In our numerical sim ulations, w e consider a coalitional game ( I , v ) play ed among N = 4 agen ts with a set of agen ts as I = { 1 , 2 , 3 , 4 } . Coalitions, including the single- ton, are assigned with a v alue sp ecified by characteristic function v . W e set, v ( { 1 } ) = 4 , v ( { 2 } ) = 3 , v ( { 3 } ) = 0 , v ( { 4 } ) = 3 , v ( { 1 , 2 } ) = 5 , v ( { 3 , 4 } ) = 3 , v ( { 1 , 2 , 3 } ) = 7 , v ( I ) = 10. No w, a pa y off v ector, as in Definition 2, that b elongs to CORE, C in (1) m ust allo cate each agent at- least its individual v alue, sum of their allo cations should b e v N = 10 and b e group rational. Consistent with these requiremen ts, the CORE of this game is the following set: C =  x ∈ R 4 | x 1 + x 2 + x 3 + x 4 = 10 , x 1 + x 2 + x 3 ≥ 7 , x 1 + x 2 ≥ 5 , x 3 + x 4 ≥ 3 , x 1 ≥ 4 , x 2 ≥ 3 , x 3 ≥ 0 , x 4 ≥ 3  . The agen ts comm unicate o ver time-v arying graphs asso ci- ated with the adjacency matrices A ( k ). Here, we set the adjacency matrices to b e: A (2 k + 1) =     1 2 1 2 0 0 1 2 1 2 0 0 0 0 1 2 1 2 0 0 1 2 1 2     , A (2 k + 2) =     1 2 0 1 2 0 0 1 2 0 1 2 1 2 0 1 2 0 0 1 2 0 1 2     , for all k ∈ N . Note that this graph sequence satisfies Assumption 1 with Q = 2, and the elemen ts of the adjacency matrices satisfy Assumption 2 with γ = 1 / 2 . F or the initial assignments, w e assume that each agent allo cates entire v alue of coalition, i.e., v ( I ) = 10 to itself. F or example, the initial proposal by agen t 1 will b e w 1 (1) = [ 10 0 0 0 ] > . Finally , w e apply the iteration in (11) with the op erator T = (1 − β )pro j C ( · ) + β Q C ( · ), and as exp ected, the lo cal allocations con verge to C ∩ A . In Figure 3(a), we compare the tra jectories of normalized distances dist( w ( k ) , C ∩ A ) / dist( w (0) , C ∩ A ), by v arying β for a sp ecified α k . W e can observe that a higher v alue of β corresp onds to a faster conv ergence. In Figure 3(b), w e use the same metric and observ e the con vergence speed while v arying α . As expected, the con vergence of iteration with fixed step size α , is faster compared to a decreasing sequence ( α k ) k ∈ N as in [Bauso and Notarstefano (2015)]. 7. CONCLUSION W e presented a partial operator-theoretic characterization of the approachabilit y principle and show ed that it con- tains a paracontraction op erator. Based on this result, w e ha ve prop osed a distributed pa yoff allo cation algo- rithm, with fixed step sizes, and pro ved its con v ergence via op erator-theoretic argumen ts. Suc h analysis of algorithms, based on op erator theory , allo w more general description of their structure and hence op en further impro vemen t p ossibilities. As future work, we aim to completely characterize the approac hability principle in operator-theoretic terms. It w ould also b e v aluable to relax the assumption on the comm unication graph from double sto chasticit y to row sto c hasticit y . REFERENCES Bauso, D., Cannon, M., and Fleming, J. (2014). Robust consensus in so cial netw orks and coalitional games. IF A C Pr o c e e dings V olumes , 47(3), 1537–1542. Bauso, D. and Notarstefano, G. (2015). Distributed n-pla yer approac hability and consensus in coalitional games. IEEE T r ansactions on A utomatic Contr ol , 60(11), 3107–3112. doi:10.1109/T AC.2015.2411873. Blac kwell, D. (1954). An analog of the minimax theorem for v ector pa yoffs. Pacific Journal of Mathematics , 6(1), 1–8. doi:10.2140/p jm.1956.6.1. Elsner, L., Koltrach t, I., and Neumann, M. (1992). Con- v ergence of sequential and async hronous nonlinear para- con tractions. Numerische Mathematik , 62(1), 305–319. doi:10.1007/BF01396232. Ernest Ryu and Boyd, S. (2016). a Primer on Monotone Op erator Metho ds. Applie d and c omputational mathe- matics , 15(1), 3–43. F ele, F., Maestre, J.M., and Camacho, E.F. (2017). Coali- tional control: Co operative game theory and con trol. IEEE Contr ol Systems Magazine , 37(1), 53–69. F ullmer, D. and Morse, A.S. (2018). A Distributed Algorithm for Computing a Common Fixed Poin t of a Finite F amily of Paracon tractions. IEEE T r ansac- tions on A utomatic Contr ol , 63(9), 2833–2843. doi: 10.1109/T AC.2018.2800644. Han, L., Morstyn, T., and McCullo c h, M. (2018). Incen- tivizing prosumer coalitions with energy managemen t using co op erativ e game theory . IEEE T r ansactions on Power Systems , 34(1), 303–313. Lehrer, E. (2003). Allo cation pro cesses in coop erativ e games. International Journal of Game The ory , 31(3), 341–351. Masc hler, M., Peleg, B., and Shapley , L.S. (1971). The k er- nel and bargaining set for conv ex games. International Journal of Game The ory , 1(1), 73–93. Nedic h, A. and Bauso, D. (2013). Dynamic coalitional TU games: Distributed bargaining among play ers’ neigh- b ors. IEEE T r ansactions on Automatic Contr ol , 58(6), 1363–1376. doi:10.1109/T AC.2012.2236716. Saad, W., Han, Z., Debbah, M., and Hjørungnes, A. (2008). A Distributed Merge and Split Algorithm for F air Co operation in Wireless Net works. IEEE T r ansactions on Wir eless Communic ations , 8(9), 4580– 4593. doi:10.1109/ICCW.2008.65. Saad, W., Han, Z., Debbah, M., Hjørungnes, A., and Baar, T. (2009). Coalitional game theory for communication net works. IEEE Signal Pr o c essing Magazine , 26(5), 77– 97. doi:10.1109/MSP .2009.000000. Saad, W., Han, Z., and Poor, H.V. (2011). Coalitional Game Theory for Co operative Micro-Grid Distribution Net works. In 2011 IEEE International Confer enc e on Communic ations Workshops (ICC) , 1–5. IEEE. doi: 10.1109/iccw.2011.5963577. Scarf, H.E. (1967). The core of an n p erson game. Sc hmeidler, D. (1969). The nucleolus of a characteristic function game. SIAM Journal on applie d mathematics , 17(6), 1163–1170. Shapley , L.S. (1953). A v alue for n-p erson games. Contri- butions to the The ory of Games , 2(28), 307–317. Sm yrnakis, M., Bauso, D., and T embine, H. (2019). Game- theoretic learning and allo cations in robust dynamic coalitional games. SIAM Journal on Contr ol and Opti- mization , 57(4), 2902–2923. Zolezzi, J.M. and Rudnick, H. (2002). T ransmission cost allo cation b y coop erative games and coalition formation. IEEE T r ansactions on p ower systems , 17(4), 1008–1015.

Original Paper

Loading high-quality paper...

Comments & Academic Discussion

Loading comments...

Leave a Comment