Power Control and Scheduling In Low SNR Region In The Uplink of Two Cell Networks

In this paper we investigate the sub-channel assignment and power control to maximize the total sum rate in the uplink of two-cell network. It is assumed that there are some sub-channels in each cell which should be allocated among some users. Also, …

Authors: Ata Khalili, Soroush Akhlaghi

Power Control and Scheduling In Low SNR Region In The Uplink of Two Cell   Networks
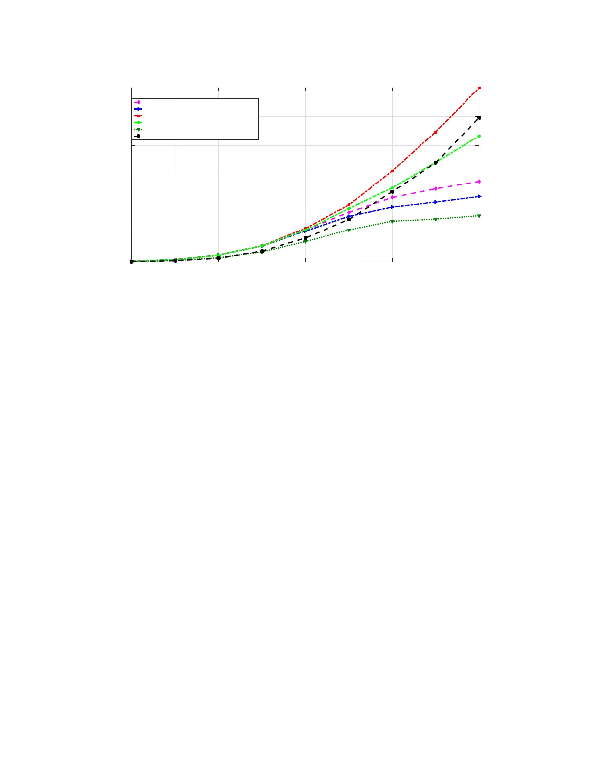
1 Po wer Control and Scheduling In Lo w SNR Re gion In The Uplink of T wo Ce ll Netw o rks Ataollah khalili, Soroush Akhlaghi Department of Engineering, Shahed Univ e rsity , T ehran, Iran Emails: { a.k h alili, akh lag hi } @shahed. a c.ir Abstract In this p aper we in vestigate the sub -channel assignment and po wer control to maximize the total su m rate in the uplink of two-cell netw ork. It is assumed that there are some sub -channels in each cell which should be allocated among some users. Also, each user i s subjected to a po w er constraint. The underlying problem is a non-con vex mixed integer non-linear optimization problem which does not have a tri vial solution. T o solve the problem, having fixe d the consumed powe r of each user, and assuming low co-channel interference region, the sub-channel allocation problem is reformulate i nto a more mathematically tractable problem which is shown can be tackled t hrough the so-called Hungarian algorithm. Then, the consu med power of each user is reformulated as a quadratic fractional problem which can be numerically deri ved. Numerical results demonstrate t he superiority of the proposed method in l o w SNR region as compared to existing works addressed in the li t erature Index T erms resource allocation,sub-channel assignment, mixed integer nonlinear problem,po wer control . I . I N T R O D U C T I O N Resource allocation is considered as a major challen g e in wireless comm unication n etworks. This is due to the limited av a ilab le band width, and total power, while there is a n on-stop deman d f o r emerging communic a tio n serv ices. It is widely recog nized that Ortho gonal Frequen cy Division Multiple Access (OFDMA) can e ffecti vely divide th e av ailable bandwidth into o rthogo nal sub- channels to be allocated among active users. OFDMA, on the other hand, can be em ployed in multi-u ser multi-path dispersive ch annel as it can effecti vely d ivide a fr equency selectiv e fading channel into some na rrowband flat fading chann els [1]. Noting this, OFDMA techn iq ue has been widely ado pted in broadb and wirele ss com munication s over the last decad e, due to its flexibility in resou rce allo c a tion. It is worth mention ing that in an OFDMA system, the intra-ce ll interferenc e is simply av oided d ue to the orthog onality among sub-ch annels [2]–[7]. In conventional cellular system, th e user from d ifferent p lace may utilize the same fr equency , which will cause the inter-cell interfere nce. the One limitin g factor that in fluences cellular pe r forman ce is the interference fro m ne ig hbor cells, the so called I n ter-Cell Inter f erence ( I CI). T o mitigate interfer e nce effecti vely , a classical m ethod is to adjust frequ ency reuse factor , howe ver this techniqu e alleviate inter-cell interferen c e it can redu ce the available sp ectrum with in each cell and m ay degrad e the overall throu g hput. Nevertheless, futur e mobile n etwork, such as L TE n etwork require to s uppor t h igh data rate serv ice. So to th is overcome this problem the Fractional Frequency Reuse ( FFR) has been pr oposed as a technique, since it can efficiently employ the av ailable frequ ency spectrum. I n this paper we consid e r an uplink two cell system which share the wh ole av ailab le spectrum . The fr equency reuse factor is one. T he problem of assigning sub-chan nels and a llo cating p ower to users in an OFDMA system h a s attracted many attentio n s in recen t years. Mo reover , the resource allocation p roblem in th e uplin k is more challenging than th a t o f the downlink as the uplink interfer ence is mostly affected by n eighbo u ring co -chann el user s [7], [8]. In this regard , a plethor a o f works are dev o ted to explore e ffective ways o f assigning sub- channels as well as allocating power to optimize a pe rforman ce fun ction [3 ]–[11]. For instance, the auth or of [3] inves tigate th e joint sub-chan nel assignm ent and p ower co ntrol mecha n ism in terms of max imizing the sum rate in an u plink OFDMA network. This problem is non-convex mixed integer non-line ar prob lem whic h can b e solved b y ad ding a p enalty term to the ob jectiv e f u nction an d relax the in teger variables can be co nverted in to a difference of two concave function (DC) pro blem. It is worth mention ing that the sub-optimal problem deriv e d in [3] is too complex and th e autho rs do not p r ovide the co ndition un der which the pro posed metho d appro aches the o ptimal solu tion. The au thor o f [4]determin es the r esource allocatio n in multi- cell OFDMA ne tworks in orde r to jo intly o ptimize the energy efficiency and spectra l efficienc y performan ce which allocate the sub -chann el an d power itera ti vely . This method, h owe ver, suffers from poo r perfor mance as co mpared to [3]. In [5] the joint sub-ch annel assignmen t an d power co n trol p roblems in a cellu lar network with the objective o f enhancin g the qu ality o f-service is studied. Accor d ingly , this pr oblem is tackled in two steps. First, it attempts to assign the sub-chan nels assuming all users make use o f an eq ual power . Th en, the power of each user is o ptimized for th e assigned channels. Again, this p roblem h as a poor p erform ance as compared to [3]. For achievement to the maximu m through put in this network. W e co nsider join t power and sub-chan nel allocation in the uplin k o f OFDMA network. T h e optimizatio n prob lem is a highly n on-co nvex mixed integer non -linear p roblem. The subop timal p ower and reso urce allocation policy can solve the con sidered p roblem via an optimization appro a ch based o n the sub - gradien t me th od. Also, a low-complexity suboptimal algorith m based on the Hu ngarian metho d is propo sed and it is shown that its r esults is close to optimal. Thus the main contribution of this p aper can be summa r ized as follows: we are going to propo se a novel appro ach which perfo r ms well in low SNR r egion. T o this end, it is demonstra te d that the original problem can be simplified to an assignment problem in lo w SNR region which can b e effecti vely tackled th r ough using the so-called Hungar ian meth od [13]. Mor e specifically , f or two-cell network an d ev e ry sub -chann el, a pair of users each belon ging to on e of existing cells is iden tified. T h en, the power of each pair of users is add ressed thr ough co n verting th e o riginal problem into a fraction al quadratic problem, h ence, the associated power can be effecti vely comp uted. I I . S Y S T E M M O D E L In this paper, we consider a two-cell network co mposing o f users per cell trying to send their sign als to the base station in the uplink channel. Also, there are N sub -chann els to be used by each user pair such that the sign al arising 2 Fig. 1. Structure of the considere d network . from a c o -chann el u ser in one cell is treated as an in terference in th e other cell. The set of u sers in th e j th cell is represented by I j where j = 1 , 2 . The network structu re is depicted in Fig. 1, wher e the d otted lines represen t inter-cell interferen ce pa ths. Moreover, the uplink transmission from the i th user in the j th cell to the base station j go e s throu gh a Rayleigh flat fading channel deno ted by , g n i ( j ) j .where the chann el stren gth is denoted by h n i ( j ) j = | g n i ( j ) j | 2 p n ij and x n ij , respectively represen t the transmit power an d a zero/one indicator showing if the n th sub-chan nel is assigned to i th user r esiding in cell j wh e re N = { 1 , 2 , ...N } . It is worth mentio ning that cha n nel state info rmation is globally known at the base stations. The data rate of the user located in the cell using the sub-ch annel acc o rding to the Shanno n capacity f ormula can be math ematically written as follows: R n ij = log 2 (1 + p n ij h n i ( j ) ,j σ 2 + P j ′ 6 = j P k ∈ I j ′ x n kj ′ p n kj ′ h n k ( j ′ ) ,j ) (1) Where h n i ( j ) ,j is in dicate th e channel from user i th in the j th cell to the j th cell and h n k ( j ′ ) ,j indicates the interferen c e channel from the user in the cell on the cell . Also, σ 2 is additive white Gaussian noise power .Moreover ,in the studied network, th e set of users taking the same sub-chann el are named as user p airs, w h ere each user pair consists of one user in each cell, so its car dinality is equ al to th e number o f cells. For the studied model, since the cell nu m ber is two, each two users having the sam e sub - channel from different cells make a u ser pair . Moreover , since d ifferent u ser pairs make use of d ifferent o rthogo nal su b-chan n els, the user pair s do n ot get interferenc e fro m other pair s and their interferen ce is just depend o n user(s) inside the pair . 3 I I I . P R O B L E M F O R M U L A T I O N The aim of this section is to find sub-chann el assignm ent and optimal power allocatio n such th at th e sum-rate of the network is max imized. Mathem atically speaking , the optimization problem is written as fo llows: max x,p X j =1 X i =1 X n =1 log 2 (1 + x n ij p n ij h n i ( j ) ,j σ 2 + P j ′ 6 = j P k ∈ I j ′ x n kj ′ p n kj ′ h n k ( j ′ ) ,j ) subject to C 1 : N X n =1 x n ij p n ij ≤ p max C 2 : p n ij ≥ 0 C 3 : N X n =1 x n ij = 1 C 4 : x n ij ∈ { 0 , 1 } (2) Where x = [ x 11 , ..., x I | j | j ] and p = [ p 11 , ..., p I | j | j ] .where x = [ x 1 ij , ..., x n ij ] and p = [ p 1 ij , ..., p n ij ] .In (2) , C1 represen ts the power con stra int of each user .C2 indicates tr a n smit powers take po sitive values. In addition , C3 shows that a single sub-chan nel should be a llocated to eac h user and C4 indic a te s that the indicator takes z e ro/one values. T he problem of (2) is no n-conve x in gene r al. W e formu la te d the prob lem in to a more mathe m atically tr actable form. It is no tew o rthy that since x n ij is a bin a r y variable we can write: x n ij R n ij = log 2 (1 + x n ij p n ij h n i ( j ) ,j σ 2 + P j ′ 6 = j P k ∈ I j ′ x n kj ′ p n kj ′ h n k ( j ′ ) ,j ) (3) It should be n oted that a s x n ij takes zero/one values, h ence, both side s o f (3) beco mes zero when x n ij is zero. Similarly , referrin g to the definition o f R n ij in (1), equatio n (3) h olds for the case of x n ij . One can readily verify that th e optimization p roblem in (2) inv olves some c o ntinuou s variables p n ij and in teger variables x n ij , h ence, it is not con vex in g e neral [12]. Th us, it d oes not y ield to a trivial solution. Howev er, having fixed the tr a nsmit power at its ma x imum allow ab le value, and co n sidering low SNR region, it is shown that using some app r oximation s, the orig inal prob lem can be converted to an assignmen t p roblem leadin g to the best sub -chann el selection. Th en, the optim al powers associated with selected sub-cha nnels are n umerically d e riv ed in terms of m a ximizing the sum-rate o f the network. I V . R E S O U R C E A L L O C AT I O N This section tends to deter mine the sub-chan nel assignm ent of a each user .It is a ssumed the consumed power of each user is con stant v alue and operate in low SINR region.So, th e following appr oximation can be used in o rder to simplify th e rate of a user,i.e. R n ij R n ij = log 2 (1 + p max h n i ( j ) ,j σ 2 + P j ′ 6 = j P k ∈ I j ′ x n kj ′ p max h n k ( j ′ ) ,j ) ≈ p max h n i ( j ) ,j σ 2 + P j ′ 6 = j P k ∈ I j ′ p max h n k ( j ′ ) ,j ≈ p max h n i ( j ) ,j σ 2 (4) In this case no ting th at when SINR is m uch sma ller than on e, the log function can be app roximated as . Where it is assumed that th e noise power is greater th an that o f the in terferen c e . As a r e sult, one can u se equatio n (4) as an appro ximated achiev able rate of the i th user in the j th cell for th e n th sub-chan nel. As a result, the op timization 4 problem c a n be reformu late d as max x X j =1 X i =1 X n =1 x n ij p max h n i ( j ) ,j σ 2 subject to C 1 : N X n =1 x n ij = 1 C 2 : x n ij ∈ { 0 , 1 } (5) This pro blem can be tackled thr ough the so called assignme n t problem . Th e assignme nt problem is one of the fundam ental combinator ial o ptimization pr oblems. It con sists of findin g a maximum we ig ht match ing (or minimu m weight perfect matching) in a weighted bipartite graph and can be solved by u sing the Hu n garian algorithm [13]. Suppose that we have N sub-ch annels to b e a ssign ed to N users on a one to o ne ba sis. Also, the cost of assigning sub-chan nels to users ar e known. It is desirable to find the optimal assignme n t minimizing the to tal co st. Lets c n ij be the cost o f assigning th e n th sub-chan nel to the i th user . W e define the n ∗ n cost matrix to solve the assignm ent problem s in p o lynom ial time,the Hung a rian alg o rithm is sug gested.The algorithm mode ls an assign ment problem as an n ∗ i cost m a tr ix, wher e each element indica te the cost of allocatin g n th sub-chan nel to the i th user .Let us we define the c ost m atrix C ni to be n ∗ n matrix. As a result,th e cost matrix C associated with the assignment problem is con structed such that th e elem ent of i th row and the j th column, i.e, C n ij is set to: ph n i ( j ) ,j σ 2 (6) The Hu n garian method find th e best sub-chann el wh ich max imizes: max x X j =1 X i =1 X n =1 x n ij c n ij subject to C 1 : N X n =1 x n ij = 1 C 2 : x n ij ∈ { 0 , 1 } (7) Where x n ij is an integer variable and ind icator e n suring each su b -chann el is assigned to one user pair based o n the constraint in ( 5). It shou ld be noted that the assignm ent p roblem can b e extend e d to a mo r e ge neral case of having N sub-chan nels and I users th rough witho u t impo sing any con straint on th e size of su b-chan n els and u ser s. . V . P O W E R C O N T RO L S T R A T E G Y In the pr evious section, each sub-chan n el is assigned to on e u ser pair . In the studied ne twork, each u ser in a cell h as the same sub-chan nel a s ano th er u ser in the ne ighbor ing cell. These two u sers with the same sub-chan n el are named as a user pair . Different user pairs have different sub- channels an d th eir tra n smitted sig n als do not interfe rer on each other . Therefo re, e a ch user p air has no effect on oth e r pairs. Th us, the total network throug hput m aximization pro b lem can be simplified by the thro u ghpu t maximizatio n on each individual pair . T ypically , the sum rate maximizatio n pro blem 5 for th e first user p air can be w r itten as: max p l og 2 (1 + p n 11 h n 1(1) , 1 σ 2 + p n 12 h n 1(2)1 ) + l og 2 (1 + p n 12 h n 1(2)2 σ 2 + p n 11 h n 1(1) , 2 ) subject to C 2 : p n 11 ≥ 0 and p n 12 ≥ 0 C 3 : N X n =1 x n ij p n ij ≤ p max (8) T o simplify , some variables are changed u sing the definitions: h n 1(1) , 1 = a, h n 1(2) , 1 = b, h n 1(2) , 2 = c, h n 1(2) , 1 = d (9) Thus, th e pro blem in (8)is cha n ged as follow : max p n 11 ,p n 12 l og 2 (1 + p n 11 a σ 2 + p n 12 b ) + log 2 (1 + p n 12 c σ 2 + p n 11 d ) subject to C 2 : p n 11 ≥ 0 and p n 12 ≥ 0 C 3 : N X n =1 x n ij p n ij ≤ p max (10) Noting l og (1 + A ) l og (1 + B ) is equ iv alent to l og (1 + B + A + AB ) .thus, the op timization pr o blem in (10) can be simplified to max p n 11 ,p n 12 ( p n 11 a σ 2 + p n 12 b ) + ( p n 12 c σ 2 + p n 11 d ) + ( p n 11 a σ 2 + p n 12 b )( p n 12 c σ 2 + p n 11 d ) subject to C 1 : p n ij ≥ 0 C 2 : N X n =1 x n ij p n ij ≤ p max (11) Which can be reformulated as: : max p n 11 ,p n 12  ( p n 11 ) 2 ad + ( p n 11 ) 2 aσ 2 + ( p n 12 ) 2 bc + ( p n 11 ) 2 cσ 2 + p n 11 p n 12 ac σ 4 + p n 12 bσ 2 + p n 11 dσ 2 + p n 11 p n 12 bd  subject to C 1 : p n ij ≥ 0 C 2 : N X n =1 x n ij p n ij ≤ p max (12) T o optimize the power of each user pair, we make u se of the following lem ma A. Lem ma1 let’ s con sider a nonline a r fr actional p rogram ming p roblem: max x h ( x ) g ( x ) x ∈ X ⊆ R n (13) The o b jectiv e function of (13) is a fractio n of two c o n vex functio n called fraction al problem . T o address th e optimal solution, we define the fo llowing fu nction: F ( x ; λ ) = h ( x ) − λg ( x ) , x ∈ X , λ > 0 (14) 6 Algorithm 1 Algorithm 1 Dinkelbach Algor ithm 1-Initialize λ = 0 2-set err o r toler ance δ ≪ 1 and iteration index n=1 3- Repeat 4- p ∗ = { max p f ( p ) − λg ( p ) } 5- λ n +1 = f ( p ∗ ) g ( p ∗ ) 6-n=n+ 1 7-Until f ( p ) − λg ( p ) ≤ δ (conv e rgence check) Pr oof: W e con sider the following optim ization pro b lem. x ( λ ) = arg max x F ( x ; λ ) (15) Also π ( λ ) = max x F ( x ; λ ) (16) If ther e exist λ ∗ ≥ 0 for wh ich π ( λ ∗ ) = 0 ,then x ∗ ≡ x ( λ ∗ ) is an optimal solutio n of (13). Proof : see [14] According to the Lemma1 and referrin g to (12), we defin e F ( p ; λ ) as follows : F ( p ; λ ) = { max p f ( p ) − λg ( p ) | p ∈ P } (17) subject to 0 ≤ P ≤ p max we d efine f ( p ) and g ( p ) where: f ( p ) =  ( p n 11 ) 2 ad + ( p n 11 ) 2 aσ 2 + ( p n 12 ) 2 bc + ( p n 11 ) 2 cσ 2 + p n 11 p n 12 ac  (18) g ( p ) =  σ 4 + p n 12 bσ 2 + p n 11 dσ 2 + p n 11 p n 12 bd  (19) The pr o blem in (11) is a standard fractional pro blem which can be solved by the Dinkelbach algorithm [16] in polyno mial time . T he algo rithm summar ized in p roposition 1 . Proposition1:O ptimality F ( λ ∗ ) = { max p f ( p ) − λ ∗ g ( p ) | p ∈ P } = 0 (20) if a n d on ly if λ ∗ = f ( p ∗ ) g ( p ∗ ) = max { f ( p ) g ( p ) | p ∈ P } (21) Based o n Lemm a1, the optimal power allocatio n can be ob tained. T o solve the step 4 o f th e this alg orithm we w ill a ssume that the o bjecttive op timization problem o f (11) can be define as fo llow: max p f ( p ) = p T Mp + c T p + α p T Qp + d T p + β subject to p ∈ P ⊆ R n , p ≤ p max (22) 7 Where M and Q are n ∗ n sy mmetric p ositiv e semi-defin ite matrices.T o addr ess the optimal solution,we d efine the following function . F ( p ; λ ) = ma x p { p T Mp + c T p + α − λ n ( p T Qp + d T p + β ) | p ∈ P } = p T ( M − λ n Q ) p + ( c − λ n ) T p + α − λ n β (23) subject to p ∈ P ⊆ R n , p ≤ p max (24) T o simplify we assum e th at ( M − λ n Q ) are positive semi defin ite matr ices. Th is hy pothesis gu aranties that the active set meth od for solving F ( p ; λ ) is finitely convergent.Dinkelbach algor ith m is stated as follows: 4-1 Let p 1 ∈ P be a fisible poin t of and λ 1 = f ( p ∗ 1 ) g ( p ∗ 1 ) Let n = 1 , s = 1 , H n = M − λ n Q , c n = c − λ n d solve th e following direction to find th e pro blem as follows: 4-2 Q n ( p ∗ ) = min {−  y T H n y + ( c n + H n p ∗ )  } : a T i y = 0 and denote by y s the optimum obta in ed 4-3 I f y s = 0 let v ∗ i denote den ote the optimum lagra n ge multipliers for Q n ( p ∗ ) if v ∗ i ≥ 0 then p ∗ is optimal to F ( p ; λ ) and go to conver gence check Else y s 6 = 0 , let α s = p max − p ∗ y s If α s > 1 put p ∗ s +1 = p ∗ s + y s otherwise p ∗ s +1 = p ∗ s + α s y s 4-4 le t s=s+1 and go to step 4-2 V I . S I M U L A T I O N R E S U LT This section aims at comp aring the per forman ce o f the propo sed su b-chan n el assign ment and power control mechanism in the uplink a two-cell network to that of proposed in the literature includin g wha t is repo rted in [3]. W e sup p ose that the nu mber of su b -chann els as well as the numb er of users are three . The wireless chan n el has Rayleigh fading distribution.W e assume that th e ch annel gain are compo sed of the path loss and frequency selective Rayleigh flat fading accor ding to the h n i ( j ) j = φ n d − α i ( j ) j where, d is the distance be twe e n the i th user of th e j th cell to the j th Bs. The distance between e ach user an d correspo nding base station is 100m and the distance between it and anoth er base station is 5 00m. and the norm alized noise power is set to on e. W e u se Monte Carlo simulatio n in which the max imization problem is solved for many r ealizations of the ch annel a n d we repr e sent the average results.Fig2 illustrates the average of sum rate versus SNR for different metho d s. Metho d A r e presents the o ptimal solution for wh ich ch a n nel assignmen t is perfo rmed using exhaustiv e searc h and th e optim a l power contr ol is done accordin g to our pr o posed optimal power allocation p olicy . M ethod B de picts the propo sed m ethod for sub-chan nel assignment based on the Hu ngarian m ethod and the pro posed op tim al p ower control. Method C in dicates that sub- channel assignment and power control is done accordin g to the itera tive meth o d ad d ressed in [3] thr ough the use of DC-progr amming approa c h. the Hun garian metho d with full power assumptio n to the simulatio n r esults c onfirming our assertion regarding th e ad vantage of the propo sed metho d in m id SNR region. Mo reover , the sub- channe l assignme nt based on exhaustiv e sear ch metho d when inco rporatin g full power is also add ed to th e figu res, showing the advantage of power co ntrol mechanism for SNR values g r eater than zero.Fina lly last cur ve de pict random selec tio n strategy w ith 8 SNR(dB) -20 -15 -10 -5 0 5 10 15 20 Average Sum Rate 0 5 10 15 20 25 30 Exhaustive Search With Full Power Hungarian With Full Power Optimal Hungarian With Power Control Random With Full Power Iterative method proposed in [3]-DC programming Fig. 2. The ave rage data rate of network for dif ferent method full power control. Altho ugh sub- channel assignm ent at the high SNR r egion is not optimal, the results indicate that it yields fav or a ble result even a t high SNR r egion. Moreover, the p ower allocation po licy is optimal. As ob served in Fig.2, at low SNR region, our propo sed method o utperfo rms th e existing DC-program ming an d ach ieves higher data rates as w e expe c ted. Also, the average sum-r ate o f the prop osed method coincides that of th e exhau sti ve search with much lo w e r comp lexity . V I I . C O N C L U S I O N This paper pro poses a jo int uplink sub-chan nel assignmen t and power control which is close-to - optimal at low SNR region. T o this end, the o ptimization proble m is di vided in two steps. First, th e sub-c h annel assignme nt is selected accordin g to the Hung a rian method and then the power of ea ch user is devised throu gh solvin g a f r actional quadra tic optimization p roblem. Nu merical results indicate that at low to mid SNR region, the propo sed method o utperfo rms the existing me th ods ad dressed in the literatur e. R E F E R E N C E S [1] D. Tse and P . V iswana th, Fundamental s of wireless communicat ions. Cambridge Univ ersity Press, 2005 [2] D. W . K. Ng, E. S. Lo and R. Schober , ”Energy -Effic ient Resource Allocation for Secure OFDMA Systems, ” in IEEE Transac tions on V ehicular T echnol ogy , vol. 61, no. 6, pp. 2572-258 5, July 2012. [3] B. Khamideh i, A. Rahmati and M. Sabbaghi an, ”Joint Sub-Channel Assignment and Powe r Allocation in Heterogeneous Netw orks: An Efficient Optimiza tion Method, ” in IEEE Communications L etters, vol. 20, no. 12, pp. 2490-2493, Dec. 2016. [4] W . Jing, Z. L u, X. W en, Z . Hu and S. Y ang, ”Flexi ble Resource Allocatio n for Joint Optimiza tion of Energ y and Spectral Effic ienc y in OFDMA Multi-Ce ll Networks, ” in IEE E Communicatio ns Letters, vol . 19, no. 3, pp. 451-454, March 2015. [5] D. T . Ngo, S. Khakurel and T . Le-Ngoc, ”Joint Sub-channe l Assignment and Power Allocati on for OFDMA Femtocel l Networks, ” in IE EE Tra nsactio ns on Wirel ess Comm unicat ions, vol. 13, no. 1, pp. 342-355, January 2014. 9 [6] S. Jangsher and V . O. K. Li, ”Resourc e Allocat ion in Movi ng Small Cell Network, ” in IEEE Transacti ons on Wi reless Communicat ions, vol. 15, no. 7, pp. 4559-4570 , July 2016. [7] K. Shen and W . Y u, ”A coordinated uplink scheduling and po wer control algorithm for multi-cel l networ ks, ” 2015 49th Asilomar Confere nce on Signals, Systems and Computer s, Paci fic Grove, CA, 2015, pp. 1305-1309. [8] K. Shen and W . Y u, ”Load and interfere nce awa re joint cell associat ion and user scheduling in uplink cellula r networks, ” 2016 IEEE 17th Interna tional W orkshop on Signal Processing Advances in W ireless Communicat ions (SP A WC), Edinburg h, 2016, pp. 1-5. [9] Y . S un, D. W . K. Ng, Z . Ding and R. Schober , ”Optimal J oint Power and Subcarrier Allocation for MC-NOMA Systems, ” 2016 IEEE Global Communicat ions Conferenc e (GLOBECOM), W ashington, DC, 2016, pp. 1-6. [10] A Khali li, S Akhlaghi, M Mirzaee - arXi v preprint arXiv:1 711.07913, 2017 [11] T . W ang and L. V andendorpe, ”Iterat i ve Resource Allocation for Maximizing W eighte d Sum Min-Rate in Downlink Cellular OFDMA Systems, ” in IEEE Tra nsactions on Signal Processing, vol. 59, no. 1, pp. 223-234, Jan. 2011. [12] S. Boyd and L .V andenber ghe, Con vex Optimization. Cambridge univ ersity press, 2004. [13] H.W . Kuhn, On the origin of the Hungarian Metho d, History of mathematica l programming; a colle ction of personal reminiscenc es (J.K. Lenstra, A.H.G . Rinnoo y Kan, and A. Schrijv er, eds.), North Holla nd, Amsterdam, 1991, pp. 7781. [14] Gotoh, J. and Konn o, H. (2001). Maximization of the ratio of two con vex quadrati c function s ov er a polytope. Computational Optimiza tion and Applicati ons, 20(1), 4360. [15] M. Mirzaee, S. Akhlaghi , ” Secrecy Capaci ty of T wo-Hop Relay Assisted W iretap Channels” . in W ireless Personal Communicat ions. vo l. 94,no.4, pp. 2901-292 3, June 2017 [16] Dinkelba ch, On Nonline ar Fractio nal Programming, Manage m ent Science , vol. 13, pp. 492498, Mar . 1967. [17] Extensions of Dinkel bach’ s algo rithm for solving non-li near fracti onal programming problems V ol.7,no.1,pp 3370,June 1999 10

Original Paper

Loading high-quality paper...

Comments & Academic Discussion

Loading comments...

Leave a Comment