LDPC Codes Which Can Correct Three Errors Under Iterative Decoding

In this paper, we provide necessary and sufficient conditions for a column-weight-three LDPC code to correct three errors when decoded using Gallager A algorithm. We then provide a construction technique which results in a code satisfying the above c…

Authors: Shashi Kiran Chilappagari, Anantha Raman Krishnan, Bane Vasic

LDPC Codes Which Can Correct Three Errors Under Iterative Decoding
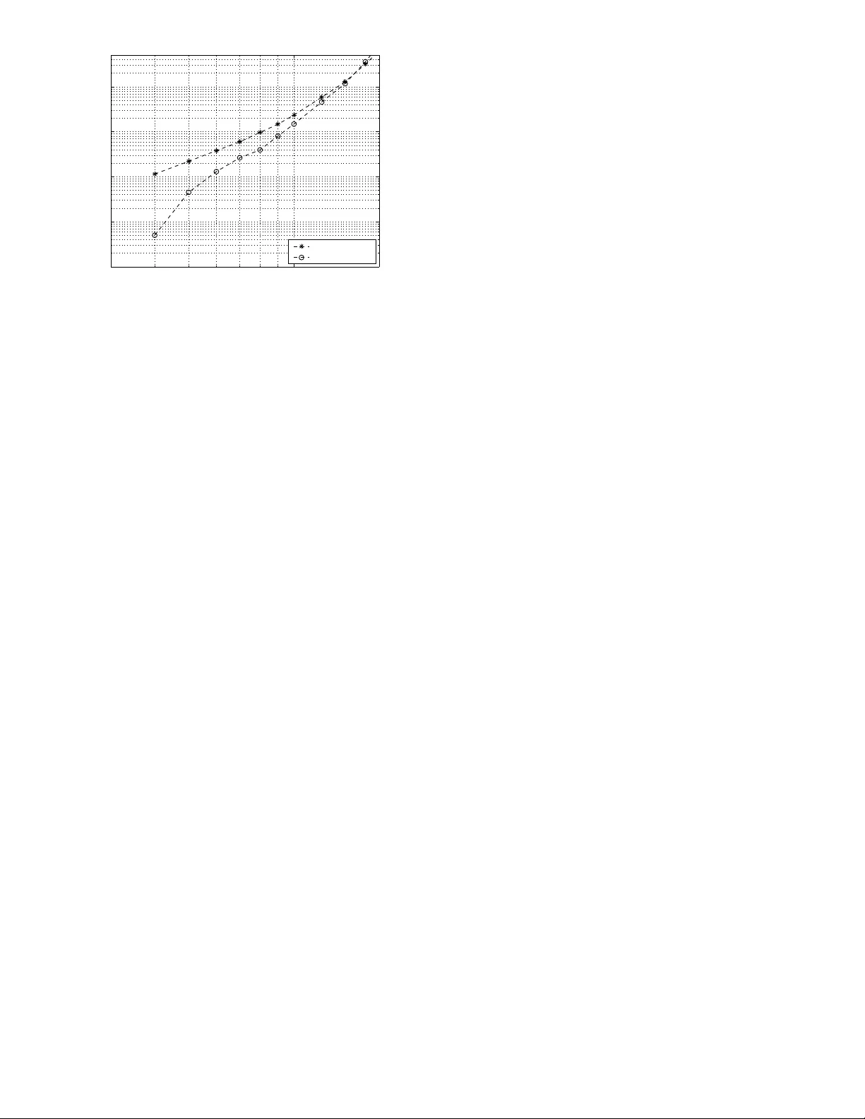
LDPC Codes Which Can Correct Three Errors Under Iterati v e Decoding Shashi Kiran Chilappagari Dept. of Electrical and Computer Eng. University of Arizona T ucson, AZ 85 721, USA Email: shashic@ece.arizona .edu Anantha Raman Krishnan Dept. of Electrical and Computer Eng. University of Arizona T ucson, AZ 85 721, USA Email: ananthak@ece. arizona.ed u Bane V asi ´ c Dept. of ECE and Dept. of Mathematics University of Arizo na T ucson, AZ 85 721, USA Email: vasic@ece.arizona.edu Abstract — In this paper , we p ro vide necessary and sufficient conditions fo r a column-weight-three LDPC code to correct three er rors when decoded using Ga llager A algorithm. W e then provide a constru ction techni que which results in a code satisfying the abov e conditi ons. W e also provide numerical assessment of code p erf ormance via simul ation results. I . I N T RO D U C T I O N Iterative message passing algo rithms f or decod ing low- density parity-ch eck (LDPC) cod es have been the focus of research over the past decade and most of their p roperties ar e well und erstood [ 1],[2]. These algo rithms operate by passing messages alo ng th e edg es of a graphical rep resentation of the code known a s the T anner graph and are optimal when the underly ing graph is a tree. Message passing decoders perform remarkab ly well which can be attributed to th eir ability to correct errors beyond the traditional bounded distance decodin g capability . Ho wever , in contrast to boun ded dis- tance decoders (BDDs), iterative d ecoders cannot guar antee correction of a fixed number of erro rs at relatively short code lengths. This is due to the fact that the associated T anne r graphs for shor t length co des have cycles an d the decod - ing beco mes suboptimal and there exist a f e w low-weight patterns (term ed as near code words [3] or trapping sets [ 4]) uncorr ectable b y the d ecoder . It is now well established that the trapping sets lead to the phenomenon of err or floor . Roughly , error floor is an abrupt change in the frame err or rate (FER) perfo rmance of an iterativ e deco der in the high signal-to-n oise ratio (SNR) region. The err or floor pr oblem is well understoo d fo r iter ativ e decodin g over binary erasure chann el (BEC) [5]. The decoder fails wh en the rec ei ved vector con tains erasures in locations correspo nding to a stop ping set. For the A WGN channel, Richardson in [4] presen ted a nu merical method to estimate error floors of LDPC codes. He established a relation between trapping sets and the FER perfo rmance o f the co de in the error flo or region (the n ecessary definition s will be given in the next s ection). The app roach from [4] w as further refined by Stepanov et al in [ 6]. V ontobel and Koetter [7] established a theo retical framework for finite leng th analysis of message passing iterativ e decod ing based on gr aph covers. This app roach was u sed by Smarandache et a l in [8] to analyze perfo rmance of LDPC cod es fro m pr ojectiv e and for LDPC conv olutional codes [9]. For the binary symmetric channel (BSC), error floo r estimation ba sed on trapp ing sets was pr oposed in [1 0] and we adop t the notatio n fro m [10]. In th is paper, we m ake th e following two f undamen tal contributions: (a) give necessary and sufficient cond itions fo r a column-weight-th ree LD PC code to correct three errors, and (b) propo se a constructio n method which results in a code satisfying the above conditio ns. W e conside r hard decision d ecoding for tr ansmission over BSC. The BSC is a simp le y et useful channel m odel used extensi vely in areas w here deco ding speed is a m ajor factor . Note that the p roblem of rec overing fro m a fixed num ber of erasures is solved for the BEC. If the T anner gr aph of a code does not contain any stopping sets up to size t (the size o f minimum stopping set is t + 1 ) , then the decoder is guaranteed to recover fr om any t erasures. An analogo us r esult for the BSC is still unknown. The problem o f guaranteed er ror correction capability is known to be d ifficult an d in this paper, we pre sent a first step tow ard such result. Previously , expansion arguments were used to sho w that message passing can correct a fixed fraction of err ors [1 1]. However , th e code length needed to guaran tee such co rrection c apability is generally very large an d to corr ect three er rors, the length would b e in the order of a few hun dred thou sand. Also, these arguments cannot b e used fo r colu mn-weigh t-three codes. Column-weig ht-three codes are of special impo rtance as their decoder s have very low co mplexity an d are used in a wide range of applications. W e also show th at the slope of the fram e e rror ra te (FER) is d ependen t on the critical number of th e most relev ant trap ping sets and hence the slope c an be imp roved by av oid ing such trappin g sets. W e provid e a techniqu e to construct codes wh ich o utperfo rm empir ically be st k nown codes of the same len gth. Our method can be seen as a modification of the pro gressiv e edge gr owth (PEG) technique propo sed in [12]. The rest of th e paper is organized as follows. In Section II we establish the no tation, d escribe the Gallager A algorithm and defin e trapping sets. In Section III we present the m ain theorem which gives the nece ssary an d sufficient con ditions to correct three errors. I n Sectio n IV we d escribe a tech nique to c onstruct codes satisfying the co nditions of th e theo rem and provide n umerical results. W e conclude with a few remarks in Section V I I . D E C O D I N G A L G O R I T H M S A N D T R A P P I N G S E T S In this section, we establish th e notation and d escribe a hard decision dec oding alg orithm k nown as Gallager A algorithm . W e then char acterize the failures of the Gallager A decoder with the help of fixed points. W e also intro duce the notion s of trapping sets and cr itical nu mber . A. Graphica l Repres entation s of LDPC Codes The T anner g raph of an L DPC cod e, G , is a b ipartite graph with two sets of no des: variable (b it) no des and ch eck (constraint) no des. Every ed ge e in the bipa rtite graph is associated with a variable nod e v and check n ode c . The check node s / variable nodes connec ted to a variable n ode / check n ode ar e ref erred to as its neigh bors. The degree of a node is th e numbe r of its neig hbors. In a ( γ , ρ ) regular LDPC code, each variable node has degree of γ and each check node has degre e ρ . Th e girth g is the length o f the shortest cycle in G . In this paper, • represents a variable node,  represents an even degre e che ck n ode and  represents an o dd degree check node . B. Ha r d Decision Decod ing Alg orithms Gallager in [13] pro posed two simp le bina ry message passing a lgorithms for decodin g o ver the BSC; Gallager A and Gallage r B. See [1 4] for a detailed description of Gallager B algorithm. For colu mn-weigh t-three codes, wh ich are the m ain focus of th is paper, these two algo rithms are the same. Every round o f message passing (iteration) starts with sen ding messages from variable n odes (first half o f th e iteration) and ends by sending me ssages from che ck nodes to variable n odes ( second h alf o f the iteration ). Initially , the variable nodes send their received values to the neighb oring checks. In th e k th iteration ( k = 2 , 3 , . . . ) , a variable no de, v sends the following message , − → m i ( e ) , alon g e dge e to its neighbo ring ch eck nod e c ; if all incomin g messages to v other than the message from c are equal to a certain value, it sen ds that value; else, it sends the received value. A ch eck node c sends to a variable n ode v , the modulo two sum of all incoming messages except the message from v . At th e end of each iteration , an estimate o f each variable n ode is m ade based on the incoming me ssages and possibly th e received value. Th e d ecoder is run un til a valid codeword is f ound or for a maximum nu mber of iterations is reached, whic hev er is ear lier . See [15] for a detailed descrip tion of the messages passed in Gallager A algor ithm. A Note on the Decision Ru le: Different r ules to estimate a variable node af ter each iteratio n are po ssible and it is likely that chang ing the rule after certain iteratio ns may be beneficial. Howe ver, the analysis of various scenarios is beyond the scope of this paper . For column-we ight-three codes only two rules are possible. • Decision rule A: if all incoming messages to a variable node from n eighbor ing check s are equal, set the variable node to that value; else set it to r eceiv ed value • Decision rule B: set the value of a variable node to the majority of the incom ing m essages; majority alw ays exists since the co lumn-weig ht is th ree W e ado pt Decision rule A throughou t this pap er . C. T rapp ing Sets of Gallager A Algorithm W e n ow char acterize failures of the Gallag er A deco der using fixed po ints and trapping sets. Mu ch o f the follo wing discussion ap pears in [16],[15],[10],[17] and we include it for sake of com pleteness. Consider an LDPC code of length n and let x be the binary vector which is the input to the Gallager A decoder . L et S ( x ) be th e s uppo rt of x . The support of x is de fined as the set o f all positions i where x i 6 = 0 . Definition 1: [ 16] A decoder failure is said to have o c- curred if th e o utput of the decoder is not eq ual to the transmitted co dew ord. Definition 2: [ 16] x is called a fixed point if for ev ery edge e and its associated variable no de v − → m k ( e ) = x ( v ) , ∀ k That is, the message passed from variable n odes to check nodes alo ng the edges ar e the same in every iteration . Since the o utgoing messages f rom variable no des are same in e very iteration, it follows that the incomin g messages from check nodes to variable no des are also same in every iteration and so is the estimate of a variable after each iteration. In fact, the estimate afte r each iteration coincides with the recei ved value. It is clear from ab ove definitio n tha t if the inp ut to the decoder is a fixed po int, th en the outp ut o f the decod er is the same fixed point. W ithout lo ss of generality , we assum e that the all zero co dew ord is sent over BSC and the inp ut to the decoder is the er ror vector . So, a fixed point with small weight mean s that few errors lea d to deco der failure. A detailed discussion about different kind s o f d ecoder failures is giv en in [ 17] Definition 3: [ 10] The support of a fixed point is known as a trapp ing set. A ( V , C ) trapping set T is a set o f V variable nodes whose induce d subgr aph has C odd degree checks. Our definition of a trap ping set gives n ecessary and suffi- cient co nditions for a set of v ariable no des to form a trapping set. W e state the follo wing th eorem wh ich is a co nsequenc e of Fact 3 fro m [ 4]. Theor em 1 : [1 6] Let T be a set consisting of v variable nodes with induced subg raph I . Let the checks in I b e partitioned in to two d isjoint subsets; O co nsisting of checks with odd degree and E con sisting of checks with ev en degree. Let |O| = c an d |E | = s . T is a trappin g set if : ( a) Every variable node in I is connected to at least two checks in E and at most one check s in O and (b) No two checks of O are connected to a variable no de outside I . Pr oof: See [16]. If the v ariable nodes correspo nding to a trappin g set ar e in error, then a decoder failure occurs. Howev er , not all variable nodes correspon ding to tr apping set need to be in erro r for a decoder failure to o ccur . Definition 4: [ 10] The minima l numbe r of variable nodes that have to be initially in error fo r th e decoder to end up in the tra pping set T will be referred to as c ritical n umber m for that trapping set. Definition 5: [ 16] A set of variable nodes which if in err or lead to a decod ing failure is known as a failu r e set . Remarks 1) T o “end u p” in a trapping set T means that, after a possible finite nu mber of iterations, the deco der will be in error, on at least one variable node from T , at ev ery iter ation [4]. 2) The n otion of a failure set is more fu ndamental th an a trapping set. However , fro m the d efinition, we cann ot derive n ecessary a nd suf ficient c onditions for a set of variable nodes to for m a failure set. 3) A tr apping set is a failure set. Subsets of tr apping sets can be failure sets. More specifically , for a trappin g set of size V , there exists at least o ne sub set of size equ al to the critical num ber which is a failure set. 4) The c ritical num ber of a trap ping set is not fixed. It depend s on the o utside co nnections o f checks in E . Howe ver, the m aximum v alue of critical nu mber of a ( V , C ) tra pping set is V . I I I . N E C E S S A RY A N D S U FFI C I E N T C O N D I T I O N S T O C O R R E C T T H R E E E R RO R S In this section, we establish th e necessary and sufficient condition s for a column- weight-thre e c ode to correct th ree errors. W e first illustrate three tr apping sets and show that the cr itical numb er o f th ese trapp ing sets is three thereby providing necessary condition to correct t hree erro rs. W e then prove that av oid ing structu res isomor phic to these trapping sets in the T a nner g raph is sufficient to g uarantee correction of three errors. Fig. 1 shows three subg raphs induced by different number of variable no des. Let us assume that in all the se induce d graphs, no two o dd degree check s are connected to a v ariable node ou tside the gr aph. By the con ditions of Th eorem 1, all these induc ed subgraphs are trapping sets. Fig. 1(a) is a (3 , 3) trapping set, Fig. 1(b) is a (5 , 3) trappin g set and Fig. 1(c) is a (8 , 0) trapp ing set. Note that a (3 , 3) is isom orphic to a six cycle. and the (8 , 0) trap ping set is a co dew ord of weight eight. Lemma 1: Th e c ritical n umber for (3 , 3) trapp ing set is three. There exist (5 , 3) and (8 , 0) trap ping sets with cr itical number three. Pr oof: For the (3 , 3 ) trapp ing set, the resu lt follows from definition . W e om it the proo f for (5 , 3 ) and (8 , 0) trapping sets d ue to space con siderations. Detailed proo fs can be foun d in the lon ger version of the paper [15]. Theor em 2 : T o correct three erro rs in a c olumn-weig ht- three LDPC code b y Gallager A algor ithm, it is necessary to av o id (3 , 3) trapp ing sets and (5 , 3) an d (8 , 0) trapping sets with critical numbe r three in its T an ner graph. Pr oof: Follo ws from the a bove discussion. W e now state an d prove th e main theorem. Theor em 3 : If th e T an ner g raph of a column- weight-three LDPC cod es has girth e ight and no set of variable n odes induces a su bgraph isomo rphic to (5 , 3) trapping set o r a subgrap h isomorph ic to (8 , 0) tr apping sets, then any three errors can be corrected using Gallager A algo rithm. Sketch of pr oo f: In a colum n-weight-th ree code thre e variable nodes can indu ce only one of the five subgrap hs given in Fig. 2 and the p roof pr oceeds b y examining the se subgrap hs one at a time. The co mplete proo f inv olves many argum ents and her e we just illustrate the method ology of the pr oof by considerin g two po ssible subg raphs. The proo f for the remaining sub graphs appear s in the long er version of the paper [15]. Subgraph 1: Since the gir th of the co de is eight, it has no six cycles and h ence the configur ation in Fig. 2 (a) is no t possible. Subgraph 5: The three variable nodes in error induce a subgrap h as shown in Fig . 2( e). In first ha lf of first iteration 1 , 2 and 3 send in correct messages. In the second half of first iteration, a, b, c, d, e, f , g , h a nd i send incorr ect messages to neighbo ring variables except to 1 , 2 and 3 . If there is n o variable node which receives three incorrect messages, a v alid codeword is re ached after first iteration . On the con trary , assume there exists a variable node, say 4 , which receives three incor rect m essages (w .l.o .g. we can assume that 4 is connected to a, d and g ). Also, there cannot be two such variable n odes as that would introd uce a six cycle or a graph isomo rphic to (5 , 3) trapping set. Also, there can be at most three variable nodes wh ich receive two inco rrect messages, say , 5 , 6 an d 7 . Let the oth er check s co nnected to the se variables be j, k and l re spectiv ely . In the first half of second iteratio n, 1 , 2 and 3 send all corre ct m essages, 4 sends all incorrec t m essages, 5 , 6 , 7 send incorre ct messages to j, k and l r espectiv ely . In second h alf of second iteration, a, d, g send incorr ect messages to their neighbors except to 4 . j, k and l send incor rect messages to neighbo ring v ar iables except to 5 , 6 a nd 7 . There ca nnot be a variable no de which is conne cted to one check fro m { j, k , l } and to one check from { a, d, g } . Also, ther e cannot be a variable node which is conn ected to all the three checks j, k and l as this would introdu ce a g raph isomo rphic to (8 , 0) trapping set. Howe ver , there can be at most two v ariable nodes which recei ve two incorrect messages f rom the check s j, k an d l , say 8 and 9 . L et th e othe r chec ks con nected to 8 and 9 b e m and p . At th e end of second iteration, 1 , 2 and 3 receive o ne incorrect message, 8 an d 9 receive tw o incorr ect messages. In the fir st h alf of third iteration , 1 , 2 and 3 send two in correct messages each, 8 and 9 send one incorrect message each. In the second half of third iteration , b, c, e, f , h and i send incorrect messages to th eir n eighbor s except to 1 , 2 and 3 . m and p send inco rrect messages to their neighbo rs e xcept to 8 and 9 . I t can be shown that there c annot exist a variable node which r eceiv es three incor rect messages. At th e end o f third iteration , 1 , 2 and 3 receive all cor rect messages and no variable nod e rec ei ves all inco rrect m essages. So, if a decision is made , a v alid codeword is reac hed and decoder is successful. Remark: It is worth noting that the co mplete pr oof is mor e in volved than the pro ofs which use expansion arguments. Howe ver, the re sult is a lso more precise and ho lds for co des of small lengths. I V . N U M E R I C A L R E S U LT S In th is section, we descr ibe a technique to con struct codes which can correct thr ee errors. Cod es cap able o f correcting a fixed number of er rors show superior per formanc e on the BSC at low values of probab ility of tran sition α . This is because the slope of the FER curve is related to the min imum critical n umber [1 8]. A code which can co rrect i errors h as minimum critical n umber i + 1 and the slo pe of FER curve is i + 1 . W e restate the arguments f rom [18] to m ake th is connectio n clear . (a) 1 2 3 f e d c b h i g a 4 5 (b) (c) Fig. 1. Examples of trapping sets with criti cal number three (a) a (3 , 3) trappin g set (b) a (5 , 3) trappin g set and (c) an (8 , 0) trapping set 2 1 3 e c f d b a (a) 1 2 3 a b c d e f g (b) 2 3 1 a b c d e f g (c) a 2 1 3 c b d e f g h (d) 1 2 3 f e d c b h i g a (e) Fig. 2. All the possible subgraphs that can be induced by three v ariable nodes in a column-weight- three code Let α be the transition pro bability of BSC and c k be number of configurations of received bits for which k chann el errors lead to cod ew ord (frame) er ror . The frame err or rate (FER) is given b y: F E R ( α ) = n X k = i c k α k (1 − α ) ( n − k ) where i is the minimal n umber of chann el erro rs that c an lead to a d ecoding err or (size of instantons) and n is length of the code. On a semilog scale the FER is g i ven by the expr ession log( F E R ( α )) = log  n X k = i c k α k (1 − α ) n − k  = log( c i ) + i log( α ) + log((1 − α ) n − i ) + lo g  1 + c i +1 c i α (1 − α ) − 1 + . . . + c n c i α n − i (1 − α ) − i  In the limit α → 0 we note that lim α → 0 h log((1 − α ) n − i ) i = 0 and lim α → 0 h log  1 + c i +1 c i α (1 − α ) − 1 . . . + c n c i α n − i (1 − α ) i − n i = 0 So, the behavior of the FER curve f or small α is d ominated by log( F E R ( α )) ≈ log( c i ) + i log( α ) The log ( F E R ) v s log( α ) graph is close to a straight line with slope equal to i, the minim al critical numb er . If two codes C 1 and C 2 have minimu m critical num bers i 1 and i 2 , such that i 1 > i 2 , then the code C 2 will perform better than C 1 for small e nough α, indep endent o f the numb er of trapping sets. From the discussion in Section III and Section IV, it is clear that for a code to have a FER curve with slop e a t least 4 , th e correspo nding T ann er graph should no t con tain the trapping sets shown in Fig. 1 as subgra phs. W e now d escribe a method to constru ct such codes. T he method can be seen as a modificatio n of the PEG constru ction technique used by Hu e t al. [12]. The algor ithm is as f ollows: Data : The set of n variable n odes ( V ) and m check nodes ( C ). The colum n weight of the co de ( γ ) Result : Code with colu mn weigh t γ for j = 1 to n do for k = 1 to γ do if k = 1 then Connect the k th edge of variable node j to the check no de with the smallest po siti ve degree. else Expand the tree roo ted at nod e j to a depth of 6 . Assimilate all check nod es which do no t appear in the tree into C j, T , the set of candidates for con necting variable n ode j to. while k th edge is no t fou nd do Find the check node c i in C j, T with the lowest degree. If connecting c i to variable node j does n ot cr eate a (5 , 3) trapping set, set this as the k th edge. If it does, remove c i from C j, T . end end end end Note th at ch ecking f or a graph isom orphic to (8 , 0) trap- 10 −2 10 −8 10 −7 10 −6 10 −5 10 −4 Probability of transition ( α ) Frame error rate(FER) PEG Original PEG New Fig. 3. Performanc e comparison of origin al PEG and the ne w PE G cod e ping set at ev ery step o f code co nstruction is compu tation- ally c omplex. Sin ce, the PEG construction empir ically giv es good co des, it is unlikely that it intro duces a weig ht-eight codeword. Howe ver, once th e graph is grown fully , it can be ch ecked for the presen ce of weight-eight cod ew ords and these can be removed by swapping few edges. Using th e above alg orithm, a column- weight-thre e code with 504 variable no des and 252 check n odes was con- structed. Th e code has sligh t irregular ity in che ck degree. There is one c heck no de degree fi ve and o ne check node with degree seven, but the majority of th em have degree six. The code has r ate 0.5. In th e algorithm, we restrict maximu m check degree to seven. The perf ormance of the cod e on BSC is compared with the PEG code of same length. T he PEG code is emp irically the b est kn own co de at that len gth on A WGN chann el [19]. Ho wever , it has fou rteen (5 , 3) trappin g sets. Fig. 3 shows th e perform ance com parison o f the two codes. As can be seen, th e new c ode perform s better th an the origin al PEG code at small values o f α . V . C O N C L U S I O N In this p aper, we ha ve g iv en co nditions fo r a column- weight-thr ee code to co rrect three erro rs. Since, the check degree does not p lay any part in the proo f, it follows tha t the r esult is indepe ndent of cod e rate. A d irection for future work is extendin g the analysis to more num ber o f error s and high er c olumn weigh t codes. Preliminar y investigation shows a lot o f prom ise. The comp lexity o f the proof, even in the case of thr ee errors, sugg ests tha t solv ing th e pro blem for an arbitrary num ber of err ors w ill be a challen ge. On the code con struction fr ont, we h a ve shown th at av o iding trapping sets with m inimum critical numb er is the criterion to suppress error flo or . Howe ver , the cond itions for corr ecting more err ors cou ld be mo re complicated ther eby increasing the co mplexity of code c onstruction . Deriving b ounds on lengths an d m inimum distance of codes wh ich avoid certain structures also need to be investigated. A C K N OW L E D G M E N T This work is funded b y NSF under Grant CCF-06 34969 and INSIC-EHDR progr am. R E F E R E N C E S [1] T . J. Richardson and R. Urbanke , “The capacit y of lo w-density pari ty- check codes under message-passing decodi ng, ” IEEE T rans. Inform. Theory , vo l. 47, no. 2, pp. 599–618, Feb . 2001. [2] T . J. Richa rdson, M. Shokrollahi, and R. Urbanke, “Design of capac ity- approac hing irreg ular low-densi ty parit y-check codes, ” IEEE T rans. Inform. Theory , v ol. 47, no. 2, pp. 638–656, Feb . 2001. [3] D. J. C. MacKay and M. J. Postol, “W eaknesses of Margulis and Ramanuja n–Margu lis low-densi ty parity -check codes, ” in Proc eedings of MFCSIT2002, Galway , ser . Electroni c Notes in Theoretical Computer Science , v ol. 74. Else vier , 2003 . [Online]. A vail able: http:/ /www .inference.phy .cam.ac.uk/mackay/abstracts/margulis.html [4] T . J. Richardson, “Error floors of LDPC codes, ” in 41st Annual Allerton Conf . on Communicati ons, Contr ol and Computing , 2003, pp. 1426– 1435. [5] C. Di, D. Proietti, T . Rich ardson, E. T elatar , and R. Urbanke, “Fi- nite length analysis of low-densit y parity-chec k codes, ” IEEE T rans. Inform. Theory , v ol. 48, pp. 1570–1579, June 2002. [6] M. G. Ste panov , V . Che rnyak, M. Chertk ov , and B. V asic, “Diagnosi s of weaknesses in modern error correct ion codes: A physics approac h, ” Phys. Rev . Lett. , vo l. 95, p. 2287 01, Nov . 2005. [7] P . O. V ontobe l and R. Koette r , “Graph-co ver decod- ing and finite-l ength analysis of message-passin g itera ti ve decodin g of LDPC codes, ” 2005. [Online]. A va ilable : http:/ /www .citebase.or g/abstract?id=oai:arXi v.or g:cs/0512078 [8] R. Smarandache and P . O. V ontobel, “Pseudo -code word analysis of T anner graphs from project i ve and euclide an planes, ” IEE E T rans. Inform. Theory , v ol. 53, no. 7, pp. 2376–2393, July 2007. [9] R. Smarandache, A. E . Pusane, P . O. V ontobel, and J. C. D.J ., “Pseudo- code words in LDPC con volut ional codes, ” in Internationa l Symposium on Informati on Theory , July 2006, pp. 1364–1368. [10] S. K. Chilappag ari, S. Sankarana rayanan, and B. V asic, “Error floors of L DPC codes on the binary symmetric channel, ” in Internat ional Confer ence on Communicat ions , vol. 3, June 11-15 2006, pp. 1089– 1094. [11] D. Burshtei n and G. Miller , “Expander graph arguments for message- passing algorithms, ” IEEE Tr ans. Inform. Theory , vol. 47, no. 2, pp. 782–790, Feb . 2001. [12] X.-Y . Hu, E. Eleftheriou , and D. M. Arnold, “Regul ar and irregula r progressi ve edge -gro wth Tanne r graphs, ” IEEE T rans. Inform. Theory , vol. 51, no. 1, pp. 386–398, J an. 200 5. [13] R. G. Gallager , Low Density P arity Chec k Codes . Cambridge , MA: M.I.T . Press, 1963. [14] A. Shokrollahi, “ An introduc tion to low-densit y parity-c heck codes, ” in Theoreti cal aspects of comput er science : advanc ed lectur es . Ne w Y ork, NY , USA: Springer-V erlag New Y ork, Inc., 2002, pp. 175–197. [15] S. K. Chilappa gari and B. V asic, “LDPC codes which can correct fixed number of error s under iter ati ve decodi ng, ” in preparatio n. [16] ——, “Error co rrection cap abilit y of co lumn-weight -three L DPC codes, ” submitt ed to IEEE T rans. Inform. T heory . [Online]. A vai lable: http:/ /arxi v .org/ab s/0710.3427 [17] S. Sankaranara yanan, S. K. Chilappaga ri, R. Radhakrishn an, and B. V asic, “Fai lures of the Galla ger B decoder: Analysis and applic ations, ” in UCSD Center for Information Theory and its Applicat ions Inaugural W orkshop , Feb 6-9 2006. [Online]. A vail able: htpp//i ta.5i.net/ papers/160.pdf [18] M. Ivko vic, S. K. Chilappaga ri, and B. V asic, “Eliminating trapping sets in lo w-density parity che ck codes using Tanner graph lift ing, ” in Internati onal Symposium on Informati on T heory , June 24-29 2007, pp. 2266–2270. [19] D. J. C. MacKay , “Encyc lopedia of sparse graph codes. ” [Online]. A va ilable : http:/ /www .inference.phy .cam.ac.uk/mackay/codes/data.html

Original Paper

Loading high-quality paper...

Comments & Academic Discussion

Loading comments...

Leave a Comment