Closed-Orbit Theory of Spatial Density Oscillations in Finite Fermion Systems

We investigate the particle and kinetic-energy densities for $N$ non-interacting fermions confined in a local potential. Using Gutzwiller's semi-classical Green function, we describe the oscillating parts of the densities in terms of closed non-perio…

Authors: Jer^ome Roccia, Matthias Brack

Closed-Orbit Theory of Spatial Density Oscillations in Finite Fermion   Systems
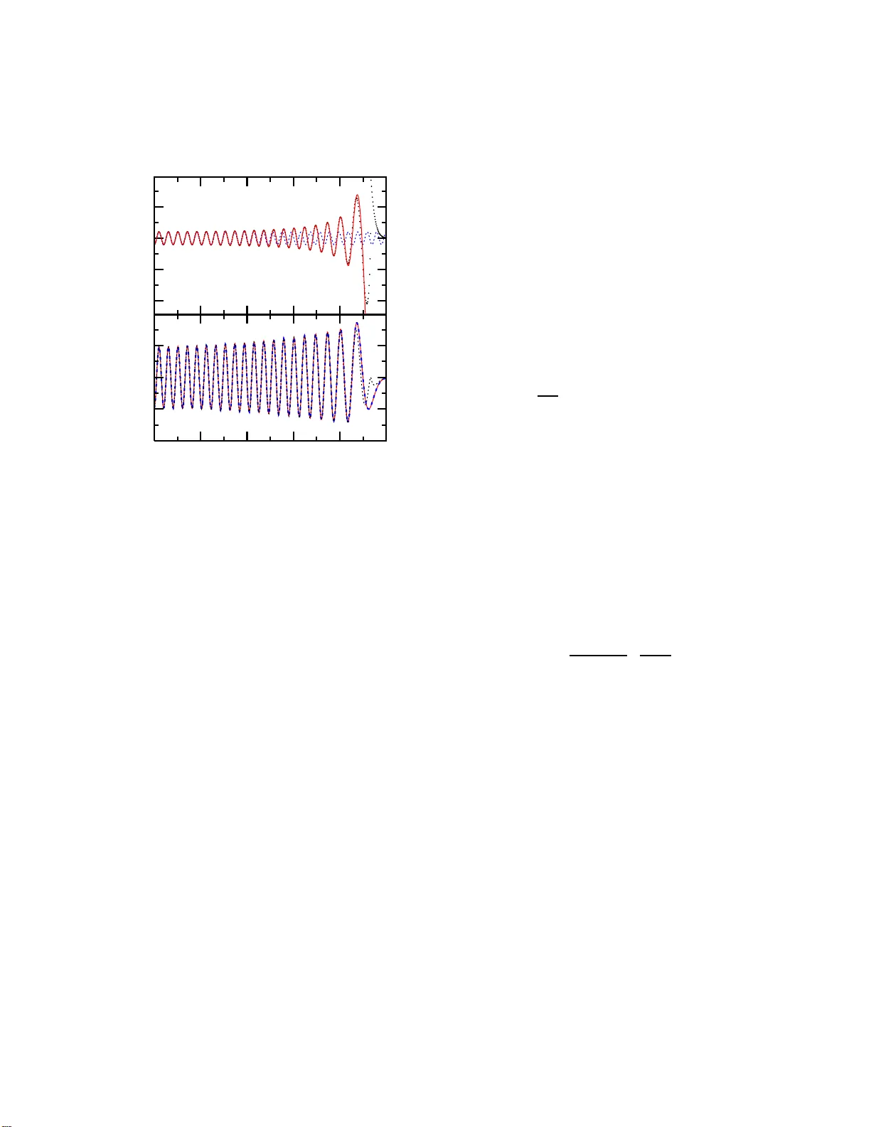
Closed-Orbit Theory of Spatial Density Oscillations in Finite F ermion Systems J´ erˆ ome Ro ccia and Matthias B rack Institut f¨ ur The or etisch e Physik, Universit¨ at R e gensbur g, D-93040 R e gensbur g, Germany (Dated: Octob er 27, 2018) W e inv estigate th e particle and kinetic-en ergy densities for N non-interacting fermions confined in a lo cal potential. Using Gutzwill er’s semi-classical Green function, we describ e the oscillating parts of the densities in terms of closed non- p eriodic classical orbits. W e deriv e universal relations b etw een the oscilla ting parts of the densities for p otentials with spherical symmetry in arbitrary dimensions, and a “ lo cal virial theorem” v alid al so for arbitrary non-integrable potential s. W e giv e simple analytical form ulae for the densit y oscillatio ns in a one-dimensional potential. P ACS n umbers: 03.65.Sq, 03.75.Ss, 05.30.Fk, 71.10.-w Intr o duction.— Finite systems of fermions ar e stud- ied in many bra nches of physics, e.g., electrons in atoms, molecules, and quantum dots; pr otons a nd neutr o ns in atomic nu clei; or fermionic atoms in traps. Common to these systems are pr onounced s he ll effects which r e- sult fro m the combination o f quantized energy s p ectr a with the Pauli exclusion principle. The shell effects man- ifest themselves most cle arly in ionization (or separa- tion) energies a nd total binding energies. They lead to “magic n umbers” of particles in particularly stable sp ecies, when deg enerate shells o r approximately degen- erate bunc hes of single-particle levels are filled. Shell effects a ppea r also in spatial pa rticle densities [1, 2] and kinetic-energy densities. Near the center of a system, the alternating parities of the o ccupied shells lead to regula r quantum oscillations, while the so-called “ F riedel oscilla- tions” c haracter istically app ear ne a r the surface of a suf- ficient ly steep confining p otential. Kohn and Sha m [1] analyzed bo th oscillatio ns in the particle density using Green functions in the one-dimensiona l WKB approxi- mation. Thouless and Thorp e [2] extended their metho d to give ana ly tical results also for the central oscillations in thre e - dimensional systems with r a dial symmetry . In the p erio dic orbit theor y (POT) [3, 4, 5], semi- classical “trace formulae” allow one to re la te the lev el density of a quantized Hamiltonia n system to the p e ri- o dic orbits o f the cor resp onding class ical sys tem. This can be used to interpret quantum she ll effects o ccurring in finite fermion systems in terms o f the shor test p erio dic orbits (see Ref. [6] for an in tro duction to POT a nd ap- plications to v a rious branches o f physics). T o our knowl- edge, no attempt has b een made so far to interpret quan- tum o scillations of s patial dens ities in terms of classical orbits. In the pres e nt paper , we use the semi-classic al Green function o f Gutzwiller [3] to deriv e analytical ex- pressions for the oscilla ting parts of particle and kinetic- energy densities in ter ms of closed non-p erio dic classical orbits. Gener al fr a mework.— W e co nsider a D -dimensional system of N non-in teracting par ticles with mass m , which ob ey F ermi-Dirac statistics and are bound by a lo cal po - ten tial V ( r ). No te that V ( r ) can b e the s e lf- c o nsistent mean field of an inter acting fermio n system (suc h as a nu cleus). The energy eigenv alues E n and eigenfunctions ψ n ( r ) are given by the stationary Sc hr¨ odinger equation. The par ticle density of the system at zero temp erature, ignoring the spin deg eneracy , is given by ρ ( r ) = X E n ≤ λ ( N ) ψ ⋆ n ( r ) ψ n ( r ) , (1) where the F ermi energ y λ ( N ) is determined by norma liz- ing the density to the given particle n um b er N . F or the kinetic-energy dens ity we discuss t wo differen t for ms τ ( r ) = − ~ 2 2 m X E n ≤ λ ψ ⋆ n ( r ) ∇ 2 ψ n ( r ) , (2) τ 1 ( r ) = ~ 2 2 m X E n ≤ λ |∇ ψ n ( r ) | 2 , (3) which after in tegra tion b oth lead to the exact total k in- etic ener gy . W e rewrite the above dens ities in the form ρ ( r ) = − 1 π ℑ m Z λ 0 d E G ( E , r , r ′ ) | r ′ = r , (4) τ ( r ) = ~ 2 2 π m ℑ m Z λ 0 d E ∇ 2 r ′ G ( E , r , r ′ ) | r ′ = r , (5) τ 1 ( r ) = − ~ 2 2 π m ℑ m Z λ 0 d E ∇ r ∇ r ′ G ( E , r , r ′ ) | r ′ = r , (6) where G ( E , r , r ′ ) is the Green function in the e ne r gy rep- resentation G ( E , r , r ′ ) = X n ψ ⋆ n ( r ) ψ n ( r ′ ) E + iǫ − E n , ( ǫ > 0) , (7) and the iden tity 1 / ( E + iǫ − E n ) = P [1 / ( E − E n )] − iπ δ ( E − E n ) is used ( P is the Cauc hy principal v alue). T o obta in semi-cla ssical expressio ns, we replace the Green function b y Gutzwiller’s approximation [3] G scl ( E , r , r ′ ) = α D X cl . trj . p |D| e i ~ S ( E , r , r ′ ) − iµ π 2 , (8) 2 which is v a lid to leading or der in 1 / ~ in the s emi-classical limit ~ → 0, i.e., when the domina ting clas sical actions S ( E , r , r ′ ) are la rge compared with ~ . In Eq. (8), D is the V an Vleck determinant given below, µ is the Morse index and α D = 2 π (2 iπ ~ ) − ( D +1) / 2 . The sum is ov e r all classical tra jectories starting at r and ending at r ′ . The action integral along each tra jectory is S ( E , r , r ′ ) = Z r ′ r p ( r ′′ ) · d r ′′ . (9) Since we have to use r = r ′ in (4) - (6), only closed tra jectories starting and ending at the same p oint r hav e to be included in the sum of (8). F ollowing Gutzwiller [3], we use for ea ch tr a jectory a lo cal coo rdinate system r = ( q , r ⊥ ) = ( q , r ⊥ 1 , r ⊥ 2 , . . . , r ⊥ ( D − 1) ), whose first v ar iable q is chosen a long the tra jectory , while the v ector r ⊥ of the remaining D − 1 v ariables is transverse to it. The V an Vlec k determina n t then beco mes D = ( − 1) D m 2 D ⊥ p ( E , r ) p ( E , r ′ ) , D ⊥ = det ( ∂ p ′ ⊥ /∂ r ⊥ ) , (1 0 ) where p ( E , r ) = ˙ r    p 2 m [ E − V ( r )]    / | ˙ r | is the cla s sical momentum and p ( E , r ) = m ˙ q ( E , r ) its mo dulus. W e now w ant to k eep only the leading - order terms in the se mi-classical expansion para meter ~ . T o this pur- po se it is useful to deco mpo se the F ermi energy into a smo oth a nd a n osc illa ting par t: λ = e λ + δ λ . Assuming that δ λ ≪ e λ , one can show [8] that δ λ = − Z e λ 0 δ g ( E ) d E / e g ( e λ ) , Z e λ 0 e g ( E ) d E = N , (11) where e g ( E ) is the smo oth part of the level densit y and δ g ( E ) its oscilla ting pa rt, semi-classic ally given b y a sum ov er the p er io dic orbits of the classical system [3]. The sum o ver close d tra jectories to be used in (4) - (6 ) can be separa ted int o a sum o ver per io dic orbits (PO s) and a sum over no n-pe r io dic orbits (NPOs). The actions along the POs are indep endent of r ; their co nt ributions are therefore smoo th functions, g iven only b y the initial and final momen ta p = p ( E , r ) and p ′ = p ( E , r ′ ). T o low e st o rder in ~ , the semi-classica l densities ar e given by the POs with zer o lengt h . They are iden tical with the smo oth Tho mas-F er mi (TF) densities [9], lik e it is known [10] for the lev el density e g ( E ) = g T F ( E ). T o next or der in ~ , the sums ov er all NPOs yield the density os cillations, so that the semi- c la ssical par ticle densit y ha s the form ρ scl ( r ) = ρ T F ( r ) + δ ρ ( r ) . (1 2 ) Analogous for ms hold for τ ( r ) a nd τ 1 ( r ) F or the k inetic-energy densities we ha ve to derive the Green function (8) twice accor ding to (5,6 ). The semi- classically leading terms co me from the der iv atives o f S ( E , r , r ′ ), fo r which the relations ∇ r ′ S ( E , r , r ′ ) = p ′ and ∇ r S ( E , r , r ′ ) = − p hold. The energy integration in Eqs. (4) - (6) can b e done by parts. The leading-or der results come from the upp er integration limit, taken as e λ . The lower limit, which must b e taken to be V ( r ) since in the s e mi-classical approximation one has to stay in the classically allowed region, gives no con tributions. W e then obta in for the oscillating parts of the densities: δ ρ ( r ) = m ~ π ℜ e α D X NPO p |D ⊥ | r ′ = r p ( e λ, r ) T ( e λ, r ) e i Φ( e λ, r ) , (13) δ τ ( r ) = ~ 2 π ℜ e α D X NPO p ( e λ, r ) p |D ⊥ | r ′ = r T ( e λ, r ) e i Φ( e λ, r ) , (14) δ τ 1 ( r ) = ~ 2 π ℜ e α D X NPO { ( p · p ′ ) λ p |D ⊥ |} r ′ = r p ( e λ, r ) T ( e λ, r ) e i Φ( e λ, r ) , (15) where ( p · p ′ ) λ = p ( e λ, r ) · p ( e λ, r ′ ), the phase function in the exp onents is Φ( e λ, r ) = S ( e λ, r , r ) / ~ − µ π 2 , and T ( e λ, r ) = d S ( E , r , r ) / d E | E = e λ . Since the mo dulus p de- pends o nly on p ositio n and F ermi energy , but not on the orbits, we ca n ta ke it outside the sum ov er the NPO s. W e th us immediately find the general relatio n δ τ ( r ) = [ e λ − V ( r )] δ ρ ( r ) . (16) It holds for arbitra ry , in tegra ble or non-integrable, lo- cal p otentials in arbitr a ry dimensions. E q. (16) ma y b e termed a “lo cal virial theorem” b ecause it relates kine tic and p otential energ y densities locally at a ny p oint. F or δ τ 1 ( r ) w e hav e no such relation, since it depends on the relative directions of final and initial momen tum of each orbit. Due to the semi-cla ssical natur e of our approxima- tion, Eq. (16) and the r esults derived b elow are e x pected to b e v a lid in the limit of lar ge particle n um b ers N . One-dimensional systems.— F or the further develop- men t w e now fo c us on o ne- dimensional systems charac- terized by a s mo oth binding po ten tial V ( x ) with a mini- m um at x = 0. W e will explicitly derive a semi-classical expression for the par ticle density ρ ( x ); analo g ous results for the kinetic densities are found in the same wa y . The classical motion at fixed ener gy E is limited by the turning points x ± ( E ) defined by V ( x ± ) = E , with x + ( E ) > 0 and x − ( E ) < 0. In one dimension there are only tw o types of tra jectories g o ing from x to x ′ : the first t ype has its momenta at the initial and final p oints in the s a me direction, while for the second type they go in opp os ite directions . Without loss of generality w e may choose x − ≤ x ≤ x ′ ≤ x + . The shortest tra jectory of the first type g o es from x dir ectly to x ′ without rea chin g any of the turning p oints; it is indexed by the subscript ’0’ and has the action S 0 ( E , x, x ′ ) = S ( E , 0 , x ′ ) − S ( E , 0 , x ) . (17) All other tra jectories of the first type b ounce j = 1 , 2 , . . . times forth and bac k b etw een the turning points b efore 3 reaching x ′ ; they are indexed by ’1’ a nd hav e the actio ns S 1 ± ( E , x, x ′ ) = j S 1 ( E ) ± S 0 ( E , x, x ′ ) , ( j = 1 , 2 , . . . ) (18) where S 1 ( E ) is the a c tion of the primitiv e per io dic o r- bit a nd the sign ± refers to the starting dire c tion. The tra jectories of the second t yp e bounce k = 0 , 1 , . . . times forth and back b efore reaching x ′ ; they are indexed by ’2’ and hav e the actions S 2 ± ( E , x, x ′ ) = kS 1 ( E ) + 2 S ∓ ( E ) (19) ± [ S ( E , 0 , x ′ ) + S ( E , 0 , x ) ] , ( k = 0 , 1 , . . . ) where S − ( E ) = S ( E , x − , 0) and S + ( E ) = S ( E , 0 , x + ). F or a symmetric po ten tial with V ( x ) = V ( − x ), one has S − ( E ) = S + ( E ) = S 1 ( E ) / 2. F rom (10) w e hav e p |D ( E , x, x ) | = m/p ( E , x ) fo r all tra jectories . F or smo oth potentials in one dimension, the Morse index µ is equal to the n um b er of turning po in ts, which for the ab ov e tra jectories is µ 0 = 0, µ 1 ± = 2 j , and µ 2 ± = 2 k + 1. [F or a one- dimensional b ox with reflecting walls, the Morse index equals twice the num b er of turning p oints; our se mi-classical densities become exact in this ca se.] Using (17 – 19) and D =1 in Eq. (8), we no w obtain the semi-classica l particle dens it y ρ scl ( x ) as a sum of the three types of contributions indexed as ab ov e: ρ scl ( x ) = ρ 0 ( x ) + X σ =+ − [ ρ 1 σ ( x ) + ρ 2 σ ( x ) ] . (20) Since we hav e to use x = x ′ , the only con tributing orbits of type 0 have zero leng th, those of type 1 are perio dic, and thos e of type 2 ar e non-p erio dic. Doing the energ y int egr a tion by parts, we get to leading-o rder in ~ ρ 0 ( λ, x ) = (2 m ) 1 / 2 π ~ p λ − V ( x ) , (21) ρ 1 ( x ) = 2 m π ∞ X j =1 ( − 1) j sin { j S 1 ( e λ ) / ~ } p ( e λ, x ) j T 1 ( e λ ) , (22) where T 1 ( e λ ) is the p erio d of the primitive p erio dic orbit. T aylor expanding ρ 0 ( λ, x ) in E q. (21) a round e λ yields the well-kno wn TF densit y , ρ T F ( x ) = ρ 0 ( e λ, x ), plus a term linear in δ λ whic h, using E q. (11), ca ncels exactly the contribution ρ 1 ( x ) in (22). The lea ding-order oscilla t- ing ter m is therefo r e given b y the t yp e 2 orbits, i.e., b y δ ρ ( x ) = ρ 2+ ( x ) + ρ 2 − ( x ) which ha s the explicit form δ ρ ( x ) = − m π ∞ X k =0 σ = ± ( − 1) k cos { [ k S 1 ( e λ ) + R σ ( e λ, x )] / ~ } p ( e λ, x )[ k T 1 ( e λ ) + R ′ σ ( e λ, x )] , (23) with R ± ( e λ, x ) = 2 S ± ( e λ ) ∓ 2 S ( e λ, 0 , x ). This result is equiv alent, altho ugh not obviously identical, with the re- sult g iven in Eq. (3.36) of [1]. F or the kinetic-e ne r gy densities we proce ed in the same wa y . The s mo o th parts of τ ( x ) and τ 1 ( x ) ar e iden tical and equal to the TF kinetic-energ y density τ T F ( x ); for their oscillating parts we obtain the o ne-dimensional ver- sion of the relation (16) and, in a ddition, the new re lation δ τ 1 ( x ) = − δ τ ( x ) , (24) which holds due to the opp os ite initial a nd final momenta of the NPOs of t yp e 2 which c ontribute to (15). In Fig . 1, we test our semi-clas s ical results for the po- ten tial V ( x ) = x 4 / 4 with N = 40 pa rticles (with units such that ~ = m = 1). The upp er panel shows δ ρ ( x ) given in (23) b y the solid line, while the dots represent the quan tum-mechanical expr ession (1) after subtract- ing the TF density . The agreement is very go o d except close to the classical turning point where the TF approx- imation breaks down. T he lo wer panel demonstrates the v alidity of the r elations (16) (with r → x ) and (24). The small deficiencies nea r the cla ssical turning p oints can b e ov ercome and the tail in the clas s ically for bidden re gion describ ed by the standard WKB treatment [1, 2] o r the TF-W eizs¨ ack er theory [9]. A simpler form for δ ρ ( x ) is found if o ne r estricts oneself to the in terio r par t of the s ystem around x = 0 , where V ( x ) ≪ e λ . Then the a ction in tegra l S ( e λ, 0 , x ) ca n b e approximated by S ( e λ, 0 , x ) ≃ xp λ , wher e p λ = (2 m e λ ) 1 / 2 is the smoo th F e rmi momentum. W e then obtain δ ρ ( x ) = − 2 m co s(2 xp λ / ~ + δ Φ) π p λ T 1 ( e λ ) C N ( e λ ) , (25) where δ Φ = [ S − ( e λ ) − S + ( e λ )] / ~ is a phase difference r e- lated to the as y mmetry of the po tent ial, and C N ( e λ ) = ∞ X k =0 ( − 1) k cos { [( k + 1 / 2) S 1 ( e λ )] / ~ } ( k + 1 / 2) . (26) T o e v aluate this sum, we e xploit the fact that the ac- tion S 1 ( e λ ) in one dimension can b e related to the par- ticle n umber N b y S 1 ( e λ ) ≈ 2 π ~ N , which is nothing but the well-known Bohr-So mmer feld quantization co n- dition. U sing this r elation in (26) a nd the identit y P ∞ k =0 ( − 1) k cos[(2 k + 1) N ] / (2 k + 1) = ( − 1) N π / 4 , we find the a ppr oximate expression for the central oscillations δ ρ ( x ) = ( − 1 ) N +1 m p λ T 1 ( e λ ) cos(2 xp λ / ~ + δ Φ) , (27) which can also be o btained from Eq . (3 .3 6) in Ref. [1] in the limit V ( x ) ≪ e λ . It is shown b y the da shed line in the upper pa nel of Fig. 1 . Using Eqs. (16) and (24) o ne can give analog ous simple res ults fo r the kinetic-energy density oscillations near x = 0 . Our deriv ation sho ws that p erio dic orbits do not con- tribute to the oscillations in the densities ρ ( x ), τ ( x ) and τ 1 ( x ), while they are known [3] to giv e the most imp or - tant contributions to the oscillating level density δ g ( E ). In fact, the most impor tant contribution to (23) comes 4 from the tw o shortest non-p erio dic orbits whic h go from x to one of the turning po ints and back; for small x their action difference is 2 xp λ . The summation ov er all longer non-p erio dic orbits yields the oscillating sign dep ending on the particle num be r N . W e emphasize that the oscil- δ ρ 0.2 0 -0.2 -0.4 δ ρ 0.2 0 -0.2 -0.4 δ ρ 0.2 0 -0.2 -0.4 x δ τ , − δ τ 1 , ( e λ − V ) δ ρ 5 4 3 2 1 0 5 0 -5 -10 x δ τ , − δ τ 1 , ( e λ − V ) δ ρ 5 4 3 2 1 0 5 0 -5 -10 x δ τ , − δ τ 1 , ( e λ − V ) δ ρ 5 4 3 2 1 0 5 0 -5 -10 FIG. 1: (Color online) Upp er p anel: Osci llating part δ ρ ( x ) of the particle densit y of N =40 fermio ns in the p otentia l V ( x ) = x 4 / 4. Dots show the quantum-mec hanical result; the solid line sho ws th e semi-clas sical result δρ ( x ) in (23) and the dashed line the ap p ro ximation (27) for small x v alues. L ower p anel: Oscillating parts of th e qu antum-mec hanical kinetic-energy den sities in th e same system: δ τ ( x ) (solid line) and − δ τ 1 ( x ) (dashed line). The dotted line sho ws the function [ e λ − V ( x )] δ ρ ( x ) using the quantum-mec hanical δ ρ ( x ). lations in Eq. (27) hav e the universal wav e length ~ π /p λ independent on the par ticular form of the p o tent ial V ( x ). Higher-dimensional r adial systems.— In a forthco m- ing pa pe r [1 1], we genera lize our metho d for higher- dimensional systems. F or binding p otentials V ( r ) with spherical symmetry in D > 1 dimensions, o ne can sepa- rate tw o kinds o f spa tial o scillations in the radial v ariable : ( i ) ir regular lo nger-ra nged oscillations, which a re attrib- uted to nonlinear clas sical orbits, and ( ii ) regula r, ra pid oscillations of the k ind discussed ab ov e and denoted here by δ ρ ( r ), δ τ ( r ), and δ τ 1 ( r ). The regular rapid o scillations originate fro m non-p er io dic line ar o rbits with zer o a ngular momentum, starting fro m r in the r adial dire c tion a nd re turning with opp osite ra- dial momentum to r ; these or bits corresp ond exactly to our ab ov e type 2 orbits in one dimension. F rom their contributions to the semi-classica l Green function (8) and hence to (13), it is stra ightforw ard to derive the following relation, v a lid to leading o rder in ~ : − ~ 2 8 m ∇ 2 δ ρ ( r ) = [ e λ − V ( r )] δρ ( r ) . (28) Similarly , it follows from the nature of the r adial type 2 orbits that ( p · p ′ ) r ′ = r = − p 2 in (15) a nd hence the rapid oscillations in the kinetic-energy densities τ ( r ) a nd τ 1 ( r ) fulfill the relation (24) in the radial v ar iable r : δ τ 1 ( r ) = − δ τ ( r ) . (29) F or sma ll r , wher e V ( r ) ≪ e λ , E q. (28) b eco mes a univer- sal eigenv a lue eq uation for δ ρ ( r ) with eige nv alue e λ , which can be transformed in to the Besse l equa tion. Its solutions yield the generaliza tion o f Eq. (27) (with δ Φ = 0) fo r the rapid o s cillations near r = 0: δ ρ ( r ) = ( − 1) M − 1 m 2 ~ T r 1 ( e λ )  p λ 4 π ~ r  ν J ν (2 rp λ / ~ ) . (30) Here J ν ( z ) is a Bessel function with index ν = D / 2 − 1, M is the n umber of filled main shells, and T r 1 is the perio d of one radial oscillation. F o r D = 3, Eq. (30) agr ees with the result of [2] up to a e λ depe nden t normalization factor. Our results (1 6 ) a nd (28) - (30) agr ee with those derived analytically for harmonic oscilla tor p o tent ials V ( r ) = cr 2 in arbitrary dimensio n D from the quantum -me chanic al densities to leading or der in a 1 / N expansion [7]. Numer- ical tests of our semi-classica l relations for a v a riety of systems will be given in Ref. [11]. Conclusions.— W e hav e shown that quantum oscilla- tions in spatial densities can b e derived without r e s orting to w av e functions, but using the clo sed non-pe rio dic or- bits of the cla s sical system. O ur o ne-dimensional result for δ ρ ( x ) is equiv alent to that of [1], but its deriv a tion by the summation o ver classica l orbits app ears more trans- parent to us. W e note that the semi-classical theory can be easily g eneralized to gra nd- canonical systems at fi- nite temp eratures [12]. Our results may beco me useful in the analysis o f w eakly interacting tra pped fermionic 5 gases (see, e.g., [1 3]) for which the mean-field approxi- mation is appropr iate. W e present it a s a challenge to verify the “lo ca l virial theo rem” (16) exper iment ally . W e are gr ateful to J. D. Urbina for helpful comments and to A. Ko ch for n umerical data used in the figure. [1] W. Kohn and L. J. Sham, Phys. Rev. 137 , A1697 (1965). [2] M. A. Thorp e and D . J. Thouless, N ucl. Phys. A 156 , 225 (1970 ). [3] M. C. Gutzwiller, J. Math. Ph ys. 12 , 343 (1971); M. C. Gutzwiller: Chaos i n Cl assic al and Quantum Me- chanics (Springer V erlag, New Y ork, 1990). [4] R. Balian and C. Blo ch, An n. Phys. (N . Y.) 69 , 76 (1972). [5] Chaos F o cus Issue on Perio dic Orbit The ory , ed. b y P . Cvitano vi´ c: Chaos 2 , pp. 1-158 (1992). [6] M. Brack an d R. K. Bhaduri: Semiclassic al Physics (W estv iew, Boulder, U SA, 2003). [7] M. Brac k and M. V. N. Murthy , J. Phys. A 36 , 1111 (2003). [8] M. Centelles , P . Leb oeuf, A. Monastra, J. R occia, P . Sch uck, and X. Vi˜ nas, Phys. Rev . C 74 , 034332 (2006). [9] N. Marc h, Adv. in Physics 6 , 1 (1957). [10] M. Berry and K. E. Mount, Rep. Prog. Phys. 35 , 315 (1972). [11] J. R occia, A. Koch, M. Brac k and M. V. N . Murthy , to b e published. [12] V. M. K olomietz, A. G. Magner, V. M. Stru tinsky , So v. J. Nucl. Ph ys. 29 768 (1979). [13] B. DeMarco and D. S. Jin, Science 285 , 1703 (1999).

Original Paper

Loading high-quality paper...

Comments & Academic Discussion

Loading comments...

Leave a Comment