Linear Processing and Sum Throughput in the Multiuser MIMO Downlink

We consider linear precoding and decoding in the downlink of a multiuser multiple-input, multiple-output (MIMO) system, wherein each user may receive more than one data stream. We propose several mean squared error (MSE) based criteria for joint tran…

Authors: Adam J. Tenenbaum, Raviraj S. Adve

Linear Processing and Sum Throughput in the Multiuser MIMO Downlink
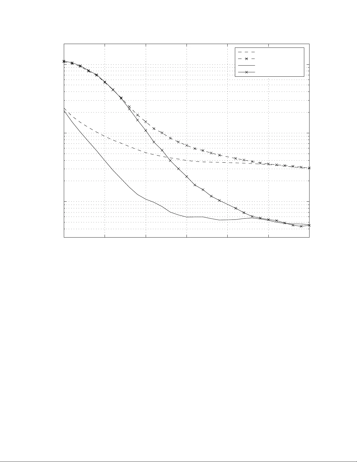
1 Linear Processing and Sum Throughput in the Multiuser MIMO Do wnlink Adam J. T enenbaum, Student Member , IEEE, and Raviraj S. Adv e, Senior Member , IEEE Abstract W e consider linear p recoding and d ecoding in th e downlink of a multiuser multip le-input, m ultiple- output (MIMO) system, wherein each user may receiv e more than on e data stream. W e prop ose se veral me an squ ared er ror ( MSE) b ased criteria for joint tr ansmit-receive op timization and establish a series of re lationships linking these cr iteria to the sign al-to-interf erence-plu s-noise r atios of individual data stream s and the info rmation theoretic chan nel capacity u nder linear minimum MSE decoding . In particular, we show that achieving the max imum sum throug hput is equivalent to minim izing the produ ct of MSE matrix determinants (PDetMSE) . Sin ce th e PDetMSE minimization pr oblem do es not admit a computationally efficient solution, a simplified scalar v ersion of the p roblem is considered th at minimizes th e pro duct of m ean squared errors ( PMSE). An iterati ve alg orithm is proposed to s olve the PMSE pro blem, and is shown to provide near-optimal p erform ance with gre atly red uced compu tational complexity . Our simulatio ns c ompare the achievable sum rates under lin ear precoding s trategies to the sum capacity f or the broadcast chan nel. I . I N T R O D U C T I O N The b enefits of using multipl e antennas for wireless communication systems are well kno wn. When antenna ar rays are p resent at t he transmit ter and/or receive r , multip le-input multiple-out put (MIMO) techniques can utilize t he sp atial dimension to yield imp rove d reliabi lity , i ncreased data rates, and the spatial separation of us ers. In t his paper , the methods we propose will focus on c  2009 IE EE. Personal use of this material is permitted. P ermission from IEEE must be obtained for all other uses, including reprinting/republishing this material for adve rtising or promotional purposes, creating new collectiv e works for resale or redistri bution to servers or l ists, or reu se of any copyrigh ted c omponent of this work in other works. This manuscript has been accepted for publication in IEEE Tran sactions on W ireless Communications. 2 exploiting all of these features, with t he g oal of maxim izing the sum data rate achieved in the MIMO mult iuser do wnlink. The optimal strategy for maximizing sum rate in the multiuser MIMO downlink, also kno wn as the broadcast channel (BC), wa s first proposed in [1]; the authors prove that Cost a’ s dirty paper coding (DPC ) strategy [2] is sum capacity achie ving for a pair o f si ngle-antenna users. The sum- rate optimality of DPC wa s generalized to an arbitrary number of mult i-antenna receiv ers u sing the notions of g ame th eory [3] and up link-downlink dualit y [4], [5]; this duali ty is employed in [6], [7] to derive iterativ e solu tions that find the su m capacity . DPC has been shown to be the optimal precoding strategy not only for sum capacity , b ut als o for the entire capacity region in the BC [8]. Unfortunately , finding a practical realization of the DPC precoding strategy has proven to be a diffic ult probl em. Existing solutions , which are largely based on T om linson- Harashima precoding (THP) [9]–[12], incur hi gh complexity due to their nonli near nature and the combinatorial problem of user order selection. T HP-based schemes also suffer from rate loss when comp ared to the su m capacity d ue to m odulo and shapi ng losses. Linear precoding provides an alternativ e approach for transmission in the MIMO downlink, trading off a reduction i n precoder complexity for s uboptimal performance. Orthogonalizatio n based s chemes use zero forcing (ZF) and block diagonalizatio n (BD) t o transform the mult iuser downlink i nto parallel si ngle-user systems [13], [14]. A waterfilling power allocation can then be used to allo cate powe rs to each of the users [15 ]. The simplici ty of these approaches comes at the expense of an antenna constraint requiring at least as many transm it antenn as as the total num ber of recei ve antennas. These schem es, therefore, restrict the possi bility of g ains from addit ional recei ver antennas. The constraint is relaxed under successive zero forcing [16], which requires only partial orthogonali ty but incurs higher complexity in finding an optimal user ordering. Coordinated beamform ing [17] and generalized orthogonalization [18] are able to a void the antenna constraint via iterative optim ization of transmi t and receiv e beamformers. It i s also po ssible to improve the sum rate achiev ed with ZF and BD by including user or antenna selection in the precoder design. The sum -rate maximi zing ZF precoder can be found by comparing precoders for all possibl e subsets of a vailable receive antennas [1]; h owe ver , this strategy in curs e xponential complexity on the order of the total num ber of receive antennas. Greedy and s uboptimal strategies for user selection [19 ]–[22] m ay also be applied with l owe r computational cost. Ho we ver , user selection is outsi de the scope of this paper; our goal here 3 is to focus on the rates achiev able un der li near precoding. While all of these schemes possess lower complexity than the THP based m ethods, the use of orth ogonalization results in subopt imal performance due t o noise enhancement. In th is paper , we consider th e op timal formulati on for sum rate maximization under linear precoding. Much of the existing literature on linear precoding for multi user MIMO s ystems focuses on minimizi ng the sum of mean squared errors (SMSE) between th e transmitted and recei ved signals under a sum power constraint [23]–[28]. An im portant recurring theme in m ost of these papers is the us e of an upl ink-downlink duality f or both MSE and si gnal-to-interference-plus-noise rati o (SINR) i ntroduced in [24] for the single receiv e antenna case and extended to t he M IMO case in [26], [27]. These MSE and SINR du alities are equall y applicable to sum rate maximi zation. Linear precoding approaches to sum rate maximi zation hav e been proposed for bo th sin gle- antenna recei vers [29], [30] and for multi ple antenna recei vers [31]–[33]. In [29], the authors suggest an it erati ve method for direct optimi zation of the sum rate, while [30] and [31] exploit the SINR uplink-downlink duali ty of [24], [26], [27]. In [32] and [33], two s imilar algorithm s were independently proposed to minimize t he product of th e mean sq uared errors (PMSE) in the multiu ser MIMO downlink; these papers showed that the PMSE minimizati on problem is equiv alent to the direct s um rate maxim ization proposed in [29]–[31]. The work of [33] was motiv ated by the equiv alence relations hip de veloped between the single user minimum MSE (MMSE) and mutual information in [34]. Each of the approaches in [29]–[33] yields a suboptimal solution, as the resultin g solutions con ver ge only to a local optimu m, if at all. Giv en this prior w ork in linear pre coding, an important moti vation for this paper is to determine the performance upper boun d achiev able un der linear p recoding and to ev alu ate how closely PMSE minim ization comes to approaching thi s upper bound. In the single-user multicarrier case, minimizin g the PMSE is equiv alent to minimizing the determinant of the M SE matrix and thus i s also equiv alent to m aximizing the mutual i nformation [35]. This equiv alence does not apply to the multiuser scenario. In this p aper , we in vestigate the relationshi p b etween th e MSE-matrix determinants , the mutual information, and the maximu m a chiev able sum rate under linear precoding i n the mu ltiuser MIMO downlink, resulting in an opti mization problem based on minimizi ng the product of the determi nants of all u sers’ MSE m atrices (PDetMSE). Furtherm ore, we underline t he d if ferences b etween the join t (mul ti-stream) opt imization that arises from the PDetMSE app roach and the scalar (per-stream) PMSE-based solution. While chronologically , 4 the PMSE approach w as de veloped b efore t he PDetMSE formulation, we p resent PMSE i n this paper as a lower complexity approximation of t he PDetMSE formul ation. The main contributions of this paper are: • Deriving t he m aximum achiev abl e information rates for both joint and scalar processi ng under linear precoding and formu lating the joint (PDetMSE) and scalar processing (PMSE) based sum rate maxi mization problems using MSE expressions. • Proposing solutions to these opt imization problems based on uplink -downlink dualit y , and addressing severa l issues regarding algorithm implem entation. • Analyzing the performance of our proposed schemes in comparison to the DPC sum ca pacity and to orthogonalization based approaches. W e demonstrate that a perf ormance improvement is made in narrowing the gap to capacity at practical values of transmit SNR, and show that the PDetMSE approach provides the best p erformance of all proposed schemes. The remainder of this paper is organized as follows. Section II describes the system model used and s tates the assu mptions made. Section III d eri ves the performance upper bound for the achiev abl e sum rate under li near precoding, and dev elops the use of the product of M SE matrix determinants as the optimization criterion for jo int processing. Section IV in vestigates a subopti mal framew ork based on th e produ ct o f m ean squared errors and propos es a compu- tationally feasible scheme for imp lementation. Results o f simulations testing the ef fectiv eness of the propo sed app roaches are presented in Section V. Finally , we draw our conclusions in Section VI. Notation : Lowe r case italics, e.g., x , represent scalars whi le lower case boldface typ e is used for vectors (e.g., x ). Upper case i talics, e.g., N , are us ed for constants and upper case boldface represents matrices, e.g., X . Entries in v ectors and matrices are denot ed as [ x ] i and [ X ] i,j respectiv ely . The sup erscripts T and H denote the transpose and Hermitian operators. E [ · ] represents the st atistical expectation operator while I N is the N × N identity matrix . t r [ · ] and det ( · ) are t he trace and determi nant operators. k x k 1 and k x k 2 denote the 1-no rm (sum of ent ries) and Euclidean no rm. diag ( x ) represents the diagonal m atrix formed using the ent ries i n vector x , and diag [ X 1 , . . . , X k ] is t he block di agonal concatenatio n of matrices X 1 , . . . , X k . A ≻ 0 and B  0 indicate that A and B are posit iv e definite and positive semidefinite matrices, respectiv ely . ˆ e max ( A , B ) is the un it Euclidean norm eigen vector x corresponding to the largest eigen value λ in the generalized eigenprobl em Ax = λ Bx . Finally , C N ( m, σ 2 ) denotes the com plex Gaussian 5 Fig. 1. Processing for user k in do wnlink and v irtual uplink. probability distri bution with mean m and variance σ 2 . I I . S Y S T E M M O D E L W I T H L I N E A R P R E C O D I N G The system under consideration, illustrated in Fig. 1, comprises a base statio n with M antennas transmittin g to K decentralized users over flat wireless channels. Us er k is equipped wi th N k antennas and recei ves L k data s treams from the base station. Thus, we ha ve M transmi t antennas transmittin g a total of L = P K k =1 L k symbols t o K u sers, who, together , ha ve a total of N = P K k =1 N k recei ve antennas. The data symbol s for user k are collected in the data vector x k = [ x k 1 , x k 2 , . . . , x k L k ] T and the overall data vector i s x = h x T 1 , x T 2 , . . . , x T K i T . W e assume that t he modulated data sy mbols x are independent with unit avera ge energy ( E h xx H i = I L ). User k ’ s data streams are processed by the M × L k transmit filter U k = [ u k 1 , . . . , u k L k ] before being transmitted over the M ant ennas; u k j is the precoder for stream j of user k , and has unit 6 power k u k j k 2 = 1 . T ogether , these individual precoders form th e M × L gl obal transmitt er precoder matrix U = [ U 1 , U 2 , . . . , U K ] . Let p k j be the po wer allocated t o stream j of user k and the downlink transm it power vector for user k be p k = [ p k 1 , p k 2 , . . . , p k L k ] T , w ith p = h p T 1 , . . . , p T K i T . Define P k = diag { p k } and P = diag { p } . The channel b etween the transmitter and user k is represented by the N k × M matri x H H k . T he overall N × M channel matrix is H H , with H = [ H 1 , H 2 , . . . , H K ] . The transmitt er is assumed t o know the channel perfectly . Based on thi s model, us er k receiv es a lengt h- N k vector y k = H H k U √ Px + n k , where n k consists of t he additive w hite Gaussi an noise (A WGN) at th e user’ s receiv e antennas with i. i.d. entries [ n k ] i ∼ C N (0 , σ 2 ); that is, E h n k n H k i = σ 2 I N k . T o est imate its L k symbols x k , user k processes y k with its L k × N k decoder matrix V H k resulting in ˆ x D L k = V H k H H k U √ Px + V H k n k , where th e sup erscript D L indicates t he downlink. The global receiv e filt er V H is a block diagonal matrix of dimension L × N , V = diag [ V 1 , V 2 , · · · , V K ] , where each V k = [ v k 1 , . . . , v k L k ] . The MSE matrix for user k in the downlink under these general precoder and decoder m atrices can be written as E D L k = E h ( ˆ x k − x k ) ( ˆ x k − x k ) H i = V H k H H k UPU H H k V k + σ 2 V H k V k − V H k H H k U k q P k − q P k U H k H k V k + I L k . (1) W e will m ake use of the dual virtual uplin k, also ill ustrated in Fig. 1, with the same channels between users and base stati on. In th e up link, user k transm its L k data streams. Let the uplin k transmit po wer vector for user k be q k = [ q k 1 , q k 2 , . . . , q k L k ] T , with q = [ q T 1 , . . . , q T K ] T , and define Q k = diag { q k } and Q = diag { q } . The transmit and re ceiv e filters f or user k become V k and U H k respectiv ely . As in th e downlink, th e precoder for the v irtual upl ink cont ains colum ns with unit norm; th at i s, k v k j k 2 = 1 . Th e received vector at the base s tation and the estim ated symbol vector for user k are y = K X i =1 H i V i q Q i x i + n , ˆ x U L k = K X i =1 U H k H i V i q Q i x i + U H k n . 7 The nois e term, n , is again A WGN with E h nn H i = σ 2 I M . W e define a useful virtual up link recei ve cov ariance matrix as J = E h yy H i = K X k =1 H k V k Q k V H k H H k + σ 2 I M = HV QV H H H + σ 2 I M . The glob al MSE matrix for all users i n the vi rtual uplink can t hen be expressed as E U L = E h ( ˆ x − x ) ( ˆ x − x ) H i = U H JU − U H HV q Q − q QV H H H U + I L . (2) I I I . L I N E A R P R E C O D I N G A N D S U M R A T E M A X I M I Z A T I O N In this section, we formulate the sum rate maxim ization problem un der lin ear precoding in the broadca st channel. W e begin by introdu cing the information theoretic DPC upper bound, and then derive the performance upper boun d achie va ble under linear precoding. W e then derive an equiv alent formulation in terms of MSE expressions, and propos e the PDetMSE based scheme for achieving this opti mal sum rate p erformance under l inear precoding. A. Sum Capacity and Dirt y P aper Codi ng Information theoretic approaches characterize t he s um capacity of the m ultiuser M IMO do wn- link by solving t he s um capacity of th e equivalent uplink mul tiple access channel (MA C) and applying a duality result [4], [5]. The BC sum capacity can thus be expressed as R sum = max Σ k log det I + 1 σ 2 K X k =1 H k Σ k H H k ! s . t . Σ k  0 , k = 1 , . . . , K K X k =1 tr [ Σ k ] ≤ P max , where Σ k is the uplink transmit covariance matrix for mo bile user k , and P max is the maximum sum p owe r over all users. Not e th at this optim ization p roblem is concave in Σ k , and is hence relativ ely easy to so lve. This result does not t ranslate to l inear precoding. 8 B. Achievable Su m Rate und er Linear Pre coding The achie v able rate for a single user MIMO channel is log (det ( K x + K z ) / det ( K z )) (where K x is the recei ved sign al covariance and K z is the noise cov ariance) [36]. Un der single-user decoding, m ulti-user interference is treated as no ise, and user k can achiev e rate R k in th e downlink using transmit cova riance Σ k : R k = log det  P K j = 1 H H k Σ j H k + σ 2 I  det  P j 6 = k H H k Σ j H k + σ 2 I  . Under the system model described in Section II, user k transmits with covariance matrix Σ k = U k P k U H k . The achiev able rate for us er k under linear precoding is therefore R LP k = log det  P K j = 1 H H k U j P j U H j H k + σ 2 I  det  P j 6 = k H H k U j P j U H j H k + σ 2 I  = log det J k det R N + I ,k , (3) where J k = H H k UPU H H k + σ 2 I and R N + I ,k = J k − H H k U k P k U H k H k are the received signal cov ariance matrix and the noi se-plus-interference cov ariance matrix at u ser k , respectively . The rate m aximization probl em wi th a sum power constrain t u nder li near precoding can then be formulat ed as ( U , P ) = arg max U , P K X k =1 log det J k det R N + I ,k s . t . k u k j k 2 = 1 , k = 1 , . . . , K, j = 1 , . . . , L k p k j ≥ 0 , k = 1 , . . . , K, j = 1 , . . . , L k k p k 1 = K X k =1 L k X j = 1 p k j ≤ P max . (4) C. MSE F ormulation: Pr oduct of MSE Matr ix Determinants In t his section , we show that an MSE-based formulation using joint processi ng of all streams (rather than treating each user’ s own data streams as interference) leads to an equi v alent op- timal formulat ion of the rate maxi mization problem under li near processing. W e develop this relationship by using th e MSE matrix determinants. First, consider the linear MMSE decoder for user k , V k , V k =  H H k UPU H H k + σ 2 I  − 1 H H k U k q P k = J − 1 k H H k U k q P k . (5) 9 When using this matrix as the receiver in (1), the d o wnlink MSE matrix for user k in can be simplified as E D L k = I L k − q P k U H k H k J − 1 k H H k U k q P k . (6) Consider the follo wing optimization problem which minimizes the prod uct of the determinants of the downlink MSE matrices under a sum power constraint: ( U , P ) = arg min U , P K Y k =1 det E D L k s . t . k u k j k 2 = 1 , k = 1 , . . . , K, j = 1 , . . . , L k p k j ≥ 0 , k = 1 , . . . , K, j = 1 , . . . , L k k p k 1 = K X k =1 L k X j = 1 p k j ≤ P max . (7) Theor em 1: Under linear MMSE decoding at the base st ation, the sum rate maximization problem in (4) and the PDetMSE mini mization problem in (7) are equ iv alent . Pr oof: The determin ant of the d ownlink MSE matrix can be written as det E D L k = de t  I L k − H H k U k P k U H k H k J − 1 k  (8) = de t h J k − H H k U k P k U H k H k  J − 1 k i = de t h R N + I ,k J − 1 k i = det R N + I ,k det J k , where (8) follows from (6) since det( I + AB ) = det( I + BA ) when A and B ha ve appropriate dimensions . W e then see t he relationsh ip to (3), log det E D L k = − log det J k det R N + I ,k = − R LP k . W it h this result, we can see that under MMSE reception using V k as defined in (5), minimi zing the determinant of the MSE matrix E D L k is equi valent to maximi zing the achiev able r ate for user k . It follows that m inimizing t he p roduct of MSE matrix determinants over all u sers i s equiv alent to sum rate m aximization, min K Y k =1 det E D L k ≡ min K X k =1 log det E D L k (9) ≡ max K X k =1 R LP k . 10 where (9) h olds since since log ( · ) i s a mo notonically increasing functi on of it s ar gument. Note that this new result represents an upper bound on the sum rate o n all linear precodin g schemes in the broadcast channel. The covariance matrices J k and R N + I ,k in th e MSE matrix E k are each functions of all precoder and power allocation matrices. Thus, the sum rates R k for each user k (and the sum rate for all us ers) are coup led across users. As such, finding U and P joi ntly or finding only the power allocation P for a fixed U are both non-con ve x problems and are just as difficult to solve as the rate maximi zation problem. In the sum capacity and SMSE problems, the problem of non-con ve xity is addressed by solving a con vex virtual uplink formulation and applying a d uality-based transform ation. Unfortunately , the sum rate expression un der linear precoding in the v irtual uplink is nearly identi cal t o that deriv ed above for the downlink, and does not admit a cancellation or groupi ng of terms to decouple th e problem across users. Direct solution of the non-con vex downlink problem for minimizing the product of MSE matrix determinants requires finding a com plex M × L precoder matrix. W e consider the appli cation of sequential quadratic programming (SQP) [37 ] t o solve this problem. SQP solves successive approximations of a constrained optimi zation probl em and is guaranteed t o con ver ge to the optimum value for con ve x problems; howe ver , in the case of this non-con vex optimi zation problem, SQP can on ly guarantee con ver gence to a local minimum . This com putationally intensive approach is the o nly av ailable opti on in the absence of a con vex virtual uplink formul ation. Moreover , the numerical techniques u sed for s olving nonlinear problems do no t guarantee con ver gence to the global minimu m. This is clearly not a d esirable method for finding a practical precoder , especially when one of our major mot iv ati ons for using linear precoding is reducing t ransmitter complexity . W e do not suggest that th is met hod be practically implement ed; rather , we use it to illustrate the dif ference in performance between the solutions to the optimal PDetMSE formulation and th e more practical PMSE algorithm t hat we propose in the following section. I V . S C A L A R P RO C E S S I N G A N D T H E P RO D U C T O F M E A N S Q U A R E D E R R O R S Giv en the complexity o f the PDetMSE solution, we consider PMSE minimi zation as a subop- timal (b ut likely fe asible) approximati on to rate maximizatio n i n the multiuser MIM O do wnlink. 11 In [35], the single-us er rate maximization problem using linear precoding is solved by minimizing the determin ant of the MSE matrix. This soluti on is equiv alent to minimizing the product o f individual stream MSEs b ecause the probl em is scalarized by di agonalization of both the channel and MSE matrices. It w as recently demonstrated in [38] that the MSE matrices can also be diagonalized in the m ultiuser case by applyin g unitary transformations to the precoder and decoders; howe ver , in the absence of ort hogonalizing precoders (e.g., BD or ZF), mini mization of the PMSE yi elds a di f ferent solution from m inimizing the PDetM SE. The PMSE approach, based on scalar processin g of the i ndividual stream MSEs for each user , follows from the treatment of the optimization probl ems in [26], [27], where n on-con vex problems in the downlink are transformed to con vex probl ems in the dual upli nk. W ith this motiv ation i n mi nd, we consider formulati ng the scalar op timization problem directly i n the virtual up link, and transforming the result ing sol ution t o the do wnlink usi ng the uplink-downlink MSE duali ty in [26], [27]. A. Achievable Su m Rate us ing Scalar Proce ssing In the scalarized v ersion of th e rate maxim ization problem, the user’ s own data streams ( l 6 = j ) are considered as self-interference in addition to the mult iuser i nterference. The achie vable rate for user k ’ s substream j can thus be expressed as R LP k ,j = log  1 + γ U L k j  , where γ U L k j = u H k j H k v k j q k j v H k j H H k u k j u H k j J k j u k j (10) is the SINR and J k j = J − H k v k j q k j v H k j H H k is the virtual uplink in terference-plus-noise cov ari- ance matrix for stream j of user k . The scalar rate maximization problem wi th a sum po wer constraint under linear precoding can thus be writt en as ( V , Q ) = arg max V , Q K X k =1 L k X j = 1 log  1 + γ U L k j  s . t . k v k j k 2 = 1 , k = 1 , . . . , K, j = 1 , . . . , L k q k j ≥ 0 , k = 1 , . . . , K, j = 1 , . . . , L k k q k 1 = K X k =1 L k X j = 1 q k j ≤ P max . (11) 12 B. MSE F ormulation: Pr od uct of Mean Squar ed Err ors W it h this scalar p rocessing rate maximization problem in mind, we c onsider the MSE-equiv alent formulation. W e begin by finding the o ptimum l inear receiver , and can see from (10) th at u k j does not depend on any ot her col umns of U . Furthermore, it is the sol ution to t he g eneralized eigenproblem u opt k j = ˆ e max  H k v k j q k j v H k j H H k , J k j  . W it hin a n ormalizing factor , t his solut ion is equiv alent to the M MSE receiv er , u opt k j = J − 1 H k v k j √ q k j . (12) When the M MSE receive r in (12) is used, the virtual upl ink MSE matrix (2) reduces to E U L = I L − q QV H H H J − 1 HV q Q . Thus, the mean squared error for user k ’ s j th stream is entry j in block k of E U L , ǫ U L k j = 1 − q k j v H k j H H k J − 1 H k v k j . Now consider another optim ization problem, mi nimizing the product of mean sq uared errors (PMSE) under a sum power constraint, ( V , Q ) = arg min V , Q K Y k =1 L k Y j = 1 ǫ U L k j s . t . k v k j k 2 = 1 , k = 1 , . . . , K, j = 1 , . . . , L k q k j ≥ 0 , k = 1 , . . . , K, j = 1 , . . . , L k k q k 1 = K X k =1 L k X j = 1 q k j ≤ P max . (13) Theor em 2: Under linear MMSE decoding at t he base station , the op timization probl ems defined by (11) and (13) are equiv alent. Pr oof: Using (10), we can rewrite 1 + γ U L k j as 1 + γ U L k j = u H k j Ju k j u H k j Ju k j − u H k j H k v k j q k j v H k j H H k u k j . 13 It follows that by using the MMSE receiv er from (12), 1 1 + γ U L k j = 1 − u H k j H k v k j q k j v H k j H H k u k j u H k j Ju k j = 1 −  q k j v H k j H H k J − 1 H k v k j  2 q k j v H k j H H k J − 1 H k v k j = 1 − q k j v H k j H H k J − 1 H k v k j = ǫ U L k j . (14) This relati onship is si milar to one shown for MMSE detectio n in CDMA sys tems [39]. By applying (14) t o (11), we see that K X k =1 L k X j = 1 log  1 + γ U L k j  = − lo g   K Y k =1 L k Y j = 1 ǫ U L k j   . Since the constraints o n v k j and q k j are identical in (11) and (13), the problem of maximizing sum rate in (11) is t herefore equiv alent to minimizin g the PMSE in (13). Note that thi s result has been i ndependently derived in [32], [33]. C. Algorithm: PMSE Minimiza tion W e no w present an algorithm that minimizes the product of mean squared errors. The algorithm draws upon pre vious work based on uplink-downlink MSE dualit y [26], [27], which states that all achie vable MSEs in the uplink for a given U , V , and q (wi th sum power constraint k q k 1 ≤ P max ), can also be achie ved by a power allocati on p in the downlink (where k p k 1 ≤ P max ). It operates by iterative ly obtaining the downlink precoder m atrix U and power all ocations p and the virtual uplink precoder matrix V and power allocations q . Each st ep mini mizes the objective functi on by modifyi ng one of t hese four variables while lea ving th e remaining three fixed. 1) Do wnlink Pr ecoder: F or a fixed set of v irtual uplink precoders V k and power allo cation q , t he opt imum virtual uplink decoder U is defined by (12). Each ǫ k j is minimized individually by thi s MMSE receive r , thereby also minimizi ng the product of MSEs. This U is n ormalized and used as the downlink precoder . 2) Do wnlink P ower Allocatio n: The downlink po wer allocation p is give n by [27]: p = σ 2 ( D − 1 − Ψ ) − 1 1 , where Ψ i s the L × L cross coupling matrix defined as [ Ψ ] ij =      | ˜ h H i u j | 2 = | u H j ˜ h i | 2 i 6 = j 0 i = j , 14 D = diag ( γ U L 11 | v H 11 H H 1 u 11 | 2 , . . . , γ U L K L K | v H K L K H H K u K L K | 2 ) , where ˜ H = HV = [ ˜ h 1 , . . . , ˜ h L ] , U = [ u 1 , . . . , u L ] , and 1 is the all-ones vector of the required dimension. 3) V irtual Uplin k Pr ecoder: Giv en a fixed U and p , the op timal decoders V k are the MM SE recei vers: V k = J − 1 k H H k U k q P k . In this equation, J k = H H k UPU H H k + σ 2 I N k is the receiv e covariance matrix for user k . The optimum virtu al uplink precoders are then t he normali zed columns of V k . 4) V irtual Uplink P ower Allocation: The po wer allocation problem on the virtual uplink solves (13) with a fixed matrix V . While it i s well accepted that th e power al location s ubproblem in PMSE minimi zation (or equi va lently , in sum rate maximi zation) i s non-con ve x [30], [31], [40], recent work [32] has shown that the opt imal power allocation can be found by form ulating the subproblem as a Geometric Programmin g (GP) problem [41]. A similar appro ach was proposed in [31], where it erations of the the sum rate maximi zation problem are solved by local approximations of the non-con vex sum rate functi on as a GP . W e employ numerical techniques (SQP) to s olve the power allocation subproblem . In summary , the PMSE mini mization algorit hm keeps th ree of four parameters ( U , p , V , q ) fixed at each step and obtains the optim al value of the fourth. Con ver gence o f the overall algorithm to a local m inimum i s guara nteed since t he PMSE objectiv e function is non-i ncreasing at each of the four parameter update steps. T ermination of the algorithm is determined by the selection of a con ver gence threshold ε . Since t he overall minimization probl em (13) is not con vex, all of the suggested m ethods are guaranteed to con ver ge only to a local minim um. Nonetheless, simulations suggest that the locally optimal va lue of the sum rate is not overly sensit iv e to selection of an appropriate initi alization point. It is impo rtant to ensure that the ini tial soluti on allocates power t o all L subs treams, as the iterati ve algo rithm t ends to not allo cate power to streams with zero power . A reasonable initializatio n is to select random unit-no rm precoder vectors in U and u niform power allocated over all substreams. A sum mary of our p roposed algorithm can be found in T able I. 15 T ABL E I I T E R A T I V E P M S E M I N I M I Z A T I O N A L G O R I T H M Iteration: 1- Downlink Precod er ˜ U k = J − 1 H H k V k √ Q k , u kj = ˜ u kj k ˜ u kj k 2 2- Downlink P ower Allocation via MSE duality p = σ 2 ( D − 1 − Ψ ) − 1 1 3- V irtual Uplink Pre coder ˜ V k = J − 1 k H H k U k √ P k , v kj = ˜ v kj k ˜ v kj k 2 4- V irtual Uplink P ower Allocation q = arg min q Q K k =1 Q L k j =1 ǫ kj , s.t. q kj ≥ 0 , k q k 1 ≤ P max 5- Repeat 1–4 un til [PMSE old − PMSE new ] / PMSE old < ε V . N U M E R I C A L E X A M P L E S In t his secti on, we present si mulation result s to illustrate the performance of the proposed algorithms. In all cases, the f ading channel is modelled as flat and Rayleigh, with i.i.d. channel coef ficients distributed as C N (0 , 1 ) . The examples use a maximum transmit power of P max = 1 ; SNR is controlled by varying th e receiver noise power σ 2 . As stated earlier , the transmitt er is assumed to h a ve perfect knowledge of the channel matri x H . A. Sum Capacity and Achievable Sum Rate W e first compare th e sum rate achiev able using linear precoding to the inform ation theoretic capacity o f the BC. That is, we consider the spectral efficienc y (measured in bp s/Hz) that could be achie ved under ideal t ransmission b y drawing transmit symbol s from a Gaussian codebook . Figure 2 illust rates how the proposed schemes perform when compared to the sum capacity for the broadcast channel (i.e., usin g dirty paper coding (DPC) [2]) and t o linear precodin g methods based on channel orthogonalizatio n, i.e., block diagonalization (BD) and zero forcing 16 0 5 10 15 20 2 4 6 8 10 12 14 16 18 20 22 24 SNR=P max / σ 2 (dB) Spectral Efficiency (bps/Hz) DPC PDETMSE PMSE BD+Selection ZF+Selection BD ZF Fig. 2. Comparing P DetMSE, P MSE, DP C and o rthogonalization–ba sed methods, K = 2 , M = 4 , N k = 2 , L k = 2 (ZF) [15]. 1 The con vergence thresho ld for t he PMSE algo rithm is set at ε = 10 − 6 . Note that curves for THP can not be included for comparison, as the modul o and shaping los ses from t he DPC sum capacity are fundamentally related to T HP’ s nonlinear mo dulation scheme. The sim ulations in Fig. 2 mo del a K = 2 us er system wit h M = 4 transmit antennas and N k = 2 recei ve antennas per user . W e see a negligible difference in performance when comparing the PDetMSE algorithm to the PMSE solut ion. This is int eresting because the relationshi p betw een PDetMSE and PMSE mirrors that of BD and ZF; t hat is, th e PDetMSE can be viewed as t he 1 Simulation results for the DPC, BD, ZF , and NuSVD plots were obtained by using the cvx optimization package [42], [43]. 17 0 5 10 15 20 5 10 15 20 25 30 SNR=P max / σ 2 (dB) Spectral Efficiency (bps/Hz) DPC PDETMSE PMSE NuSVD BD+Selection ZF+Selection Fig. 3. Comparing P DetMSE, P MSE, DP C and o rthogonalization–ba sed methods, K = 2 , M = 4 , N k = 4 , L k = 2 block-matrix formulation of the PMSE problem. There i s, ho wev er , a significant performance diffe rence b etween BD and ZF . This result is also gratifying because it suggests that t he m ar ginal gains achiev ed by joi nt processing d o not merit the greatly in creased computational complexity; the fea sible PMSE solution can be used without a large penalt y i n perf ormance. The PMSE and PDetMSE algorithms do demonst rate a di ver gence in performance from th e theoretical DPC bound at higher SNR. Th is drop in spectral efficienc y may reflect a fundamental gap between the (optim al) nonlinear DPC capacity and t he rate achie v able under l inear precoding, b ut it may also be caused by the algorithms’ con ver gence to local mini ma due to the no n-con vexity of t he optimizatio n problems. 18 The PMSE algorit hm outperforms the BD and ZF methods over the entire SNR range when the orthogonalization-based schemes are forced to use al l N receiv e antennas. Howe ver , this th is approach to orthogonalization is subopt imal; the optimal BD and ZF precoders may be found by selecting th e best precoder from all P min( N ,M ) k =1    N k    possible subsets of recei ve antennas. At high SNR, the PMSE a nd PDetMSE precoders perform equi valently to the BD precoder with selection; we hav e observed that the PMSE and PDetMSE precoders (in conju nction with the MMSE recei vers) beha ve l ike the B D precoder in orthogonalizin g t he channel at high SNR . The biggest gain in performance over orth ogonalization-based solution s occurs at low t o m id-SNR values, where BD and Z F suffer due to no ise enhancement. Figure 3 presents s imulation results for a similar sy stem as Fig. 2, but with N k = 4 receive antennas per user . In this system, there are fewer t ransmit antennas t han r eceiv e antennas ( M < N ), so BD/ZF can not be employed without selection. W e inclu de simulation results for BD/ZF with selection, b ut note the large computation al complexity required (selecting the best of 162 candidate precoders). W e compare these results to a generalized ortho gonalization based approach, referre d t o as n ullspace-directed SVD (NuSVD) in [18], and observe a large diffe rence in performance at high SNR. This gain in spectral efficienc y can be att ributed to NuSVD’ s ability to use all N = 8 recei ve antennas, whereas BD and ZF are limited by an antenna const raint. Once again, Fig. 3 illustrates th at t he PMSE/PDetMSE approaches ou tperform orthog onal- ization, particularly at low to m id-SNR values. This im provement in performance comes at the expense of additional com plexity . Even though NuSVD and PMSE/PDetMSE are iterative algorithms, NuSVD requires o nly one (conca ve) waterfilling po wer allocation after con ver gence of precoder d irection iterations, whereas t he PMSE/PDetMSE m inimization methods employ numerical optim ization algorithms (SQP) in each iteration. Figure 4 shows how the sum th roughput scales w ith the number of users K , for M = 2 K transmit antennas and N k = 2 receiv e ant ennas per user at 5 dB av erage SNR. The number of transmit antennas M is chosen so that BD and ZF can be implemented without selection, as selection-based BD and ZF are exponentially complex with 4 K − 1 possible precoders. This plot illustrates how the proposed scheme takes advantage of the av ailable de grees of freedom at the transmitter and pro vides throughput si gnificantly better than the orthogonalization based B D and 19 3 4 5 6 7 8 9 10 0 5 10 15 20 25 30 35 Number of users K Spectral Efficiency (bps/Hz) DPC PMSE BD ZF Fig. 4. Scaling of sum rate with K , M = 2 K , N k = L k = 2 , S NR = 5dB ZF schemes. The PMSE and PDetMSE algorithms do no t require the explicit selection of L k ; rather , this parameter i s determined i mplicitly by the power allocation. Howe ver , we can force the PMSE algorithm to allo cate a m aximum number of substreams L k to each user to gain further insi ght into its beha viour . In Fig. 5, the nu mber of s treams in the N k = 4 sys tem described above is var ied from L 1 = L 2 = 2 t o L 1 = 3 and L 2 = 1 . T he achie v able sum rate in this system decreases in the latter case, as t he asymmet ric stream allocation does not correspond to the symmetric (statistically identical) channel configuration . In this case, user 2 is restricted to only a single data st ream, and t hus can not take full advantage of good channel realizations. If the 20 0 5 10 15 20 25 30 5 10 15 20 25 30 35 40 SNR=P max / σ 2 (dB) Spectral Efficiency (bps/Hz) L 1 =2, L 2 =2 L 1 =3, L 2 =1 Fig. 5. Data st ream allocation i n PMSE optimization, K = 2 , M = 4 , N k = 4 goal is always maximizing the sum rate, t he us ers sho uld be allocated the maximum num ber of data streams i n as balanced a manner as po ssible. Note howe ver that the PMSE algorit hm can provide un balanced allo cations if desired for other reasons (e.g., quality of service provisioning). B. Implementation : Adaptive Modulation In contrast t o the previous results based on Gaus sian codebooks, we now consider the sel ection of constellation s for modul ation to achie ve a maxim um throughput for a specified bit error rate (BER) target of β k j on user k ’ s j th substream. Since the PMSE algorithm assum es unit energy symbols, we us e M -PSK constellatio ns in o ur i mplementation. Note that the prior assu mption 21 of Gaussian noise-plu s-interference stil l h olds for a sufficient number of int erferers und er the central limi t theorem. W e propos e two approaches for selecting the modulati on scheme for each substream. 1) Naive Approac h: This app roach selects t he lar gest PS K constellatio n o f b k j bits per st ream that sati sfies the required BER constraint. The const raint is satisfied usi ng a closed form BER approximation [44], BER PSK ( γ ) ≈ c 1 exp  − c 2 γ 2 c 3 b − c 4  , (15) where M = 2 b is the size of the PSK constellation. W e apply the least aggressive of the bound s proposed i n [44] by using the values c 1 = 0 . 25 , c 2 = 8 , c 3 = 1 . 94 , and c 4 = 0 . W e n ote that this approximation only holds for b ≥ 2 ; as su ch, one can use t he exact expression for BPSK: BER BPSK ( γ ) = 1 2 erfc ( √ γ ) . (16) The BPSK expression can be used as a test of feasibility for the specified BER target; if the resulting BER un der BPSK modulati on is higher than β k j , then we have two opt ions: eit her declare the BER target in feasible, or transm it us ing th e l owe st mod ulation depth a vailable (i.e. BPSK). In th is work, we ha ve elected to transm it us ing BPSK whenever the PMSE s tage h as allocated power to the data stream. 2) Probabilistic Ap pr oa ch: The n ai ve approach is quite conservati ve in that t here may b e a lar ge gap between the BER requirement and BER b kj , the BER achieved for each channel real- ization. W e suggest a pr obabilistic bi t a llocation scheme t hat switches b etween b k j bits (as deter- mined by the naiv e approach) and b k j +1 bi ts with probability p k j = h β k j − BER b kj i / h BER b kj +1 − BER b kj i . This modulation s trategy may not be app ropriate for sy stems requiri ng instantaneous sati sfaction of BER constraints ; ho wev er , the probabi listic method will still achieve the desi red BER in the long-term over multiple channel realizations. Figure 6 shows the sum rate achiev ed in the same syst em configuration as in Fig. 2 ( K = 2 , M = 4 , N k = 2 ) un der th e M -PSK m odulation scheme described above. The sim ulations use two data s treams p er user and a target bit error rate of β k j = 10 − 2 ; 5000 data and noise realizations are used for each channel realization. The plot illustrates the a verage number of bits per transmission for user 1; due to sym metry , the corresponding plot for user 2 is i dentical. Note that in contrast to t he p re vious results based o n Gaussian coding usi ng spectral efficienc y , the 22 0 5 10 15 20 25 30 1 2 3 4 5 6 7 8 9 SNR = P max / σ 2 (dB) Average Sum Rate (bits/transmission) PMSE−P PMSE SMSE Fig. 6. Sum rate vs. SNR for user 1 wit h M-PS K modulation, K = 2 , M = 4 , N k = L k = 2 sum rate in Fig. 6 is the average n umber of bits transmitted per realization usi ng symbols from a PSK constellatio n. In Fig . 6, we consider using the PSK modulation scheme for th e PMSE precoder and the SMSE precoder designed in [27]. Exami nation of this plo t re veals th at using t he PMSE cr iterion is justified at practical S NR v alues with imp rove ments of approximately o ne bi t p er transm ission near 15 dB. Furthermore, using the probabilistic modulation scheme (designated “PMSE-P” ) yields an additio nal i mprovement of more th an half a bit per t ransmission across all SNR values. In Fig. 7, we plot average BER versus SNR for the same system configuration as in Fig. 6. This p lot illust rates how the naive bit all ocation algo rithm att empts to achieve the target BER 23 0 5 10 15 20 25 30 10 −3 10 −2 10 −1 SNR = P max / σ 2 (dB) Average BER PMSE−P Stream 1 PMSE−P Stream 2 PMSE Stream 1 PMSE Stream 2 Fig. 7. BER vs. SNR for user 1 with M-PS K modulation, K = 2 , M = 4 , N k = L k = 2 of 10 − 2 for all data st reams under PMSE, but also overshoots the target, con ver gi ng to a BER of approximat ely 5 × 10 − 4 . This can be attributed to the looseness of th e BER bound mentioned above. In contrast, the probabili stic rate all ocation alg orithm not only increases th e rate, as shown i n Fig. 6, b ut also con ver ges to a BER that is much closer to the desired tar get BER. The remaining gap between t he actual BER achieved and the t ar get BER can again be attributed to looseness in the approxi mations of (15) and (16). V I . C O N C L U S I O N S In this paper , we have consi dered the problem o f designing a linear precoder to maximi ze sum throughput in the multiu ser MIMO downlink under a sum power constraint . W e h a ve 24 compared the maximum achiev able sum rate performance of linear p recoding schemes to the sum capacity in the general MIM O d ownlink, wit hout im posing constraint s on the number of users, base station antennas, or mobile antennas. The problem was reformulated in terms of MSE based expressions, and the joint processing soluti on based on PDetMSE minimizatio n was shown to be theoretically optim al, but computation ally infeasible. A subop timal framew ork based on scalar (per -stream) processing was then prop osed, and an imp lementation was pro vided based on PMSE minim ization and employing a known uplink-downlink duality of MSEs. W e e valuated the performance of these s chemes in the context of o rthogonalizing approaches, which suffe r from noise enh ancement, and have shown that the MSE based optim ization schemes are able to achie ve sig nificant performance improvements. Furthermore, we ha ve d emonstrated that negligible performance losses occur when using t he s uboptimal PMSE criterion in comparison to the optimum PDetMSE criterion. R E F E R E N C E S [1] G. Caire and S. Shamai (Shitz), “On the achie v able throughput of a multiantenna Gaussian broadcast channel, ” IEEE T ra ns. Inf. T heory , vol. 49, no. 7, pp. 1691–1706 , Jul. 2003. [2] M. Costa, “Writi ng on dirty paper , ” IEEE T rans. Inf. Theory , vol. 29, no. 3, p p. 439–441, May 1983. [3] W . Y u and J. M. Cioffi, “Sum capac ity of Gaussian v ector b roadcast cha nnels, ” IEEE Tr ans. Inf. T heory , vol. 50, no. 9, pp. 1875–189 2, Sep. 2004. [4] S. V ishwanath, N. Jindal, and A. Goldsmith, “Duality , achiev able rates, and sum-rate capacity of Gaussian MIMO broadcast channels, ” IEE E T rans. Inf. Theory , v ol. 49, no. 10, pp. 2 658–2668 , Oct. 2003. [5] P . V iswanath and D. N. C. Tse, “Sum c apacity of the vector Gaussian broadc ast channel and uplink-do wnlink duality , ” IEEE T ran s. Inf. T heory , vol. 49, no. 8, pp. 1912–1921 , Aug. 2003. [6] H. Boche , M. Schubert, and E. A. Jorswieck, “Throug hput maximization for the multiuser MIMO broadcast chan nel, ” in Pr oc. IEEE Internat. Conf. on Acou stics, Speec h, and Signal Pr oc. (ICASSP 03) , vo l. 4, Hong K ong, Apr . 20 03, pp. 808–81 1. [7] N. Jindal, W . Rhee, S. V ishwanath, S. A. Jafar , and A. Goldsmith, “Sum power iterativ e water-filling for multi ple-antenna Gaussian broadcast channels, ” IEEE T rans. Inf. Theory , vol. 51, no. 4, pp. 1570–1580, Ap r . 2005. [8] H. W eingarten, Y . Steinberg, and S. Shamai, “The capacity region of the Gaussian multiple-input multiple-output broadcast channel, ” IEEE T rans. Inf. T heory , vol. 52, no. 9, pp. 3936–3964 , Sep. 2006. [9] C. Windpassing er , R. F . H. Fischer , T . V encel, and J. B . Huber , “P recoding in multiantenna and multi user communications, ” IEEE T ran s. W ir eless C ommun. , vol. 3, no. 4, pp. 1305–1336, Jul. 2004. [10] J. Liu and W . A. Krzymie ´ n, “Improv ed Tomlinson-Harashima precoding for the downlink of multiple antenna multi-user systems, ” in Proc . IEEE WCNC ’05 , New Orleans, LA, Mar . 2005, pp. 466–472. [11] C.-H. F . F ung, W . Y u, A. D. Dabbagh, and D. J. Lov e, “Precoding for multiple antenna Gaussian broadcast channels with successi ve zero-forcing, ” IEEE T rans. Signal Proc ess. , vol. 55, no. 7 , pp. 3837–38 50, Jul. 2007. 25 [12] W . Y u, D. P . V arodayan , and J. M. Cioffi, “T rellis and con vo lutional precoding for transmitter-based interference presubtraction, ” IEEE Tr ans. Commun. , vol. 53, no. 7, pp. 1220–1230, Jul. 2005. [13] A. Bourdoux and N. Khaled, “Joint TX-RX optimisation for MIMO-SDMA based on a null-space constraint, ” in Proc. of IEEE V ehicular T echn ology Confer ence (VTC- 02 F all) , V ancouver , Can ada, Sep. 2002, pp. 171–174. [14] Q. H. S pencer , A. L. Swindlehurst, and M. Haardt, “Zero-forcing methods for down link spatial multiplexing in multi-user MIMO channels, ” IEEE T rans. Signal Pro cess. , vol. 52, n o. 2, pp. 461–471, Feb . 2004. [15] J. Lee and N. Jindal, “Dirty paper coding vs. linear precoding for MIMO broadcast channels, ” in Pr oc. Asil omar Conf. on Signals, Systems, and Computers , Asilomar , CA, O ct. 2006, pp. 77 9–783. [16] A. D. Dabbagh and D. J. Lov e, “Precoding for multiple antenna Gaussian broadcast channels wit h successi ve zero-forcing, ” IEEE T ran s. Signal Pro cess. , vol. 55, n o. 7, pp. 3837–3850 , Jul. 2007. [17] B. Farhang-Boroujen y , Q. Spencer , and L. Swindlehurst, “Layering techniques for space-time communication in multi-user networks, ” in Proc. of IEEE V ehicular T echnology C onfer ence (VTC-03 F all) , vol. 2, Oct. 2 003, pp. 1339–1343. [18] Z. Pan, K.-K. W ong, and T .-S. Ng, “Generalized multiuser orthogonal space-di vision multiplexing, ” IEEE T ra ns. W ir eless Commun. , vol. 3, no. 6, pp. 1969–1973, N ov . 20 04. [19] G. Dimi ´ c and N. D . Sidiropoulos, “On downlink beamforming with greedy user selection: Performance analysis and a simple new algorithm, ” IE EE Tr ans. Signal Proces s. , vol. 53, no. 10 , pp. 3857–3868, Oct. 2005. [20] T . Y oo and A. Goldsmith, “On the optimality of multi-antenna broad cast sch eduling using zero-forcing beamfo rming, ” IEEE J. Sel. Areas Commun. , vol. 24, no. 3 , pp. 528–541, Mar . 2006. [21] Z. Shen, R. Chen , J. G. Andre ws, R. W . Heath, Jr ., and B . L. Ev ans, “Lo w complex ity user selection algorithms for multiuser MIMO systems with block diagonalization, ” IEEE T rans. Signal Pr ocess. , vol. 54, no . 9, pp. 3 658–3663 , Sep. 2006. [22] J. W ang, D. J. Lov e, and M. D. Zoltowski, “User selection w ith zero-forcing beamforming achie ves the asymptotically optimal sum rate, ” IEEE T rans. Signal Proc ess. , vol. 56, no. 8 , pp. 3713–3726, Aug. 2008. [23] A. J. T enenba um and R. S. Adve, “Joint mu ltiuser transmit-recei ve optimization using linear processing, ” in Pr oc. IE EE Internat. Conf. on C ommunications (ICC 04) , vol. 1, Paris, France, Jun. 2004, pp. 588–592. [24] M. S chubert and H. Boche, “Solution of the multiuser do wnlink beamforming problem with individu al S INR constraints, ” IEEE T ran s. V eh. T echno l. , vol. 53, no. 1, pp. 18–28, Jan. 2004. [25] S. Shi and M. Schubert, “MMSE transmit optimization for multi-user multi-antenna systems, ” in Pr oc. IEE E Internat. Conf. on Acoustics, Speech, and Signal Proc . (ICASSP 05) , Philadelphia, P A, Mar . 2005. [26] M. Schubert, S. Shi, E. A. Jorswieck, and H. Boche, “Do wnlink sum-MSE transceiv er optimization for linear multi-user MIMO systems, ” in Pro c. Asi lomar Conf. on Signals, Systems and Computers , Monterey , CA, S ep. 2005, pp. 1424–1428. [27] A. M. Khachan, A. J. T enenbaum, and R. S. Adve, “Linear processing for the downlink in multiuser MIMO systems with multiple data streams, ” in P r oc. IEEE Internat. Conf. on Communications (ICC 06) , Istanbul, Turk ey , Jun . 2006. [28] A. Mezghani, M. Joham, R. Hunger , and W . Utschick, “Transc eiv er design for multi-user MIMO systems, ” in Pr oc. ITG/IEEE W orkshop o n Smart Antennas , Ulm, Germany , Mar . 2006. [29] M. Stojnic, H. V ikalo, and B. Hassibi, “Rate maximization i n multi-antenna broadcast chanels with linear preprocessing, ” IEEE T ran s. W ir eless C ommun. , vol. 5, no. 9, pp. 2338–2342, Sep. 2006. [30] D. A. S chmidt, M. Joham, R. Hunger , and W . Utschick, “Near maximum sum-rate non-zero-forcing linear precoding with successi ve user selecti on, ” in Pro c. Asilomar Conf. on Signals, S ystems and Computers , Oct. 2006, pp. 2092–209 6. 26 [31] M. Codreanu, A. T ¨ olli, M. Juntti, and M. Latv a-aho, “Joint design of Tx-Rx beamformers in MIMO do wnlink chann el, ” IEEE T ran s. Signal Pro cess. , vol. 55, n o. 9, pp. 4639–4655 , Sep. 2007. [32] S. Shi, M. Schubert, and H. Boche, “W eighted sum-rate optimization for multiuser MIMO systems, ” i n Proc. Conf. Info. Sciences and Systems (CISS ’07) , Mar . 2007 , pp. 425–430. [33] A. J. T enenbaum and R. S. Adv e, “ Sum rate maximization using li near precoding an d d ecoding in the multiuser MIMO do wnlink, ” Sep. 2006, Unp ublished. [Online]. A vailable: http://arxiv .org/abs/08 01.0340 [34] D. Guo, S. S hamai, and S. V erdu, “Mutual information and minimum mean-square error in Gaussian channels, ” IEEE T ra ns. Inf. T heory , vol. 51, no. 4, pp. 1261–1282 , Apr . 2005. [35] D. P . Palomar , J. M . Cioffi, and M. A. Lagunas, “Joint Tx-Rx beamforming design for multicarrier MIMO channels: A unified framew ork for con ve x optimization, ” IEEE T ran s. Signal Pro cess. , vol. 51, no. 9, pp. 2381–2401, Sep. 2003. [36] T . M. Cover and J. A. Thomas, Elements of I nformation T heory . John Wiley and Sons, 2006, ch. 15, p. 513. [37] P . T . Boggs and J. W . T olle, “Sequential quadratic programming, ” i n Acta Numerica . Cambridge Unive rsity P ress, 1995, pp. 1–51. [38] R. Hunger and M. Joham, “ A general rate duality of the MIMO multiple access channel and the MIMO broadcast channel, ” in Pro c. IE EE Global T elecommunications C onf. (GLOBE COM 08) , Dec. 2008. [39] U. Madhow and M. L. Honig, “MMSE interference suppression for direct-sequence spread-spectrum CDMA, ” IEEE Tr ans. Commun. , vol. 42, no. 12, pp. 3 178–3188 , Dec. 1994. [40] F . Boccardi, F . T osato, and G. Caire, “Precoding schemes for the MIMO–GBC, ” in Pr oc. Int. Zuric h Seminar on Communications , Feb . 2006, pp. 10–13. [41] S. Boyd and L . V andenber ghe, Con vex Optimization . Cam bridge Univ ersity Press, 2004. [42] M. Grant and S. Boyd, “CVX: Matlab software for disciplined conv ex programming (web page and software), ” Dec. 2007. [Online]. A vailable: http:// www .stanford.edu/ ∼ {} boyd /cvx [43] ——, “Graph implementations f or nonsmoo th con vex programs, ” in Recent Advances in Learning and Control , V . Blondel, S. Boyd, and H. Kimura, Eds. Springer , 2008, pp. 95–110. [44] S. T . Chu ng and A. J. Goldsmith, “De grees of freedom in adaptiv e mod ulation: a unified vie w , ” IEEE Tr ans. Commun. , vol. 49, no. 9, pp. 1561–1571, S ep. 2001.

Original Paper

Loading high-quality paper...

Comments & Academic Discussion

Loading comments...

Leave a Comment