Sociological Inequality and the Second Law

There are two fair ways to distribute particles in boxes. The first way is to divide the particles equally between the boxes. The second way, which is calculated here, is to score fairly the particles between the boxes. The obtained power law distrib…

Authors: ** Oded Kafri (Varicom Communications, Tel Aviv, Israel) **

Sociological Inequality and the Second Law
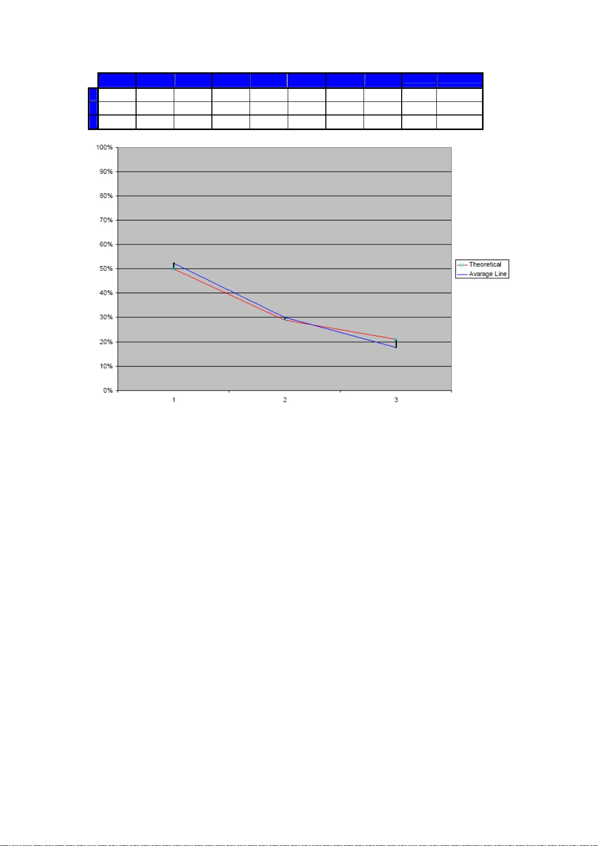
Sociological Inequality and the Second Law Oded Kafri Varicom Communications, Tel Aviv 68165 Israel. Abstract There are two fair ways to distribute particles in boxes. The first way is to divide the particles equally between the boxes. The se cond way, which is calculated here, is to score fairly the particles between the boxes. The obtai ned power law distribution function yields an uneven distribution of pa rticles in boxes. It is shown that the obtained distribution fits well to sociological phenomena, such as the distribution of votes in polls and the distribution of wealth and Benford's law. 1 It seems that nature dislike equality. In m any cases distributions are uneven, a few have a lot and many have to be sa tisfied with little. This phenomenon was observed in many sociological systems and has many names. In economy it is called Pareto law [1,2], in Sociology it is called Zipf law [3,4] and in stat istics it is called Benford law [5-7]. These distributions differ from the canonic (exponential) distribution by a relatively moderate decay (a po wer-law decay) of the probabilities of the extremes that enables a finite ch ance to become very rich. Here it is s hown that the power law distributions ar e a result of standard proba bilistic arguments that are needed to solve the statistica l problem of how to distribute P particles in N boxes. Intuitively one tends to conclude that P particle will be distrib uted evenly among N boxes, since the chance of any particle to be in any box is equal, namely, N 1 . However, this is an incorrect conclusion, because the odds that each box will score th e same amount of particle are very small. Usually there are some lucky boxes and m any more unlucky ones. The distribution func tion of particles in boxes should maximize the entropy. This is because in nature, fa irness does not mean an equal number of particles to all boxes N , but an equal probability to all the m icrostates (conf igurations) . The equal probability of all the microsta tes is the second law of therm odynamics, which, exactly for this reason, causes heat to flow from a hot place to a cold place. Ω Calculating the distribution of P particles in N boxes with an equal chance to any configuration is not simple, as th e number of the configurations ) , ( N P Ω is a function of both P and N namely, ! )! 1 ( )! 1 ( ) , ( P N P N P N − − + = Ω . (1) 2 The derivation of the distribution func tion to Eq.(1) is not new. Planck published it in 1901 in his famous paper in which he deduced that the energy in the radiation mode is quantiz ed [8,9]. Here the Planck' s calculation is followed with the modifications needed to fit our, som ewhat simpler, problem. Planck first expressed the entropy, namely ( is the Boltzmann constant), as a function of the number of modes N and the num ber of light quanta Ω = ln B k S B k P in a mode N P n = . Using Stirling formula, he obtained that } ln ) 1 ln( ) 1 {( n n n n N k S B − + + = . Then he used the Clausius inequality in equilibrium [10] to calculate the temp erature T , from the expression, T q N T Q S δ δ δ = = , where Q is the energy of all the radiation modes and q is the energy of a single radiation mode. Therefore, the temp erature is S q N T ∂ ∂ = . Then, Planck made his assumption that ν nh q = , namely S n Nh T ∂ ∂ = ν . Therefore, T h N n n N k n S B ν = + = ∂ ∂ ) 1 ln( , this is the famous Planck equation, nam ely, the number of quanta in a radiation mode is, 1 1 − = T k h B e n ν . The calculation of Planck is com prised of three steps. First he expressed the entropy S by the average number of quanta n in a box and the number of b oxes (radiation modes) N . Next, he used the Clausius equality to calculate the temperature. The equality sign in Clausius ine quality expresses the assumption of equilibriu m in which all the configurations have the same probability. Then Planck added a new law that was verified by the data of the blackbody radiation that the energy of the quant is proportional to the frequency. This law is responsible for the observation that in the higher frequencies n is lower. 3 In our problem we do not have energies or frequencies. We just have particles and boxes. Therefore, we will write the di mensionless entropy, nam ely the Shannon information as a function of and N, and obtain that n } ln ) 1 ln( ) 1 {( n n n n N I − + + = . Parallel to Planck, we calculat e the dimensionles s temperature Θ according to I n n N I P ∂ ∂ = ∂ ∂ = Θ ) ( φ . Here we replace the total energy Q by P and q by ) ( n n φ , where ) ( n φ is a distribution function that te lls us the number of boxes having n particles. ) ( n φ is the analogue of Planck’s ν h . Changing the frequency enabled Planck to change the number of the particles in a m ode at a constant temperature. Here we change the probability of a box with n particles at a constant temperature. The sociologic temperature Θ = ∂ ∂ I n n N ) ( φ is equal, in equilibrium, in all the box es. Since, Θ = + = ∂ ∂ ) ( ) 1 ln( n N n n N n I φ one obtains that n n n 1 ln ) ( + Θ = φ . This is the analogue of the Planck's equation, nam ely 1 1 ) ( − = Θ n e n φ . When P is large as in m any statistical systems, we are interested in the no rmalized distribution. Since we obtain that the norm alized distribution function is, ∑ = + Θ = N n N n 1 ) 1 ln( ) ( φ ) 1 ln( ) 1 1 ln( ) ( + + = N n n ρ (2) This is the main result of this paper . This result can be applied to any natural rando m distribution of inert particles in N boxes ∗ . To check the validity of this distri bution we start with Benford's law. Benford's law was found experimentally by Newcomb in the 19 th century, was 4 extended later by Benford [5] and explained on a statistical ba sis by Hill [6,7]. It says that in numerical data files, which we re not generated by a randomizer, nam ely balance sheets, logarithmic tables, the stocks value etc, the distri bution of the digits follows the equation ) 1 1 log( ) ( n n + = ρ . For example, the frequency of the digit 1 is about 6.5 times higher than that of the digit 9. It is seen that if one substitute in Eq.(2) N =9 the Benford law is obtained. One can assume that the digit 1 is a box with n =1 particle and n =9 is a box with 9 particles. In fact, it is obv ious that the equation valid for , for the digit 1 and 1 × = C n 9 × = C n for the digit 9, where C is any number bigger than one. Another way, intriguing even more , to check the informatics Planck distribution of Eq.(2) is to compare its resu lts to polls s tatistics. In polls there are usually N choices and P voters that suppose to select their preferred choice. Usually each voter can select only one choice. A poll is not necessarily a statis tical system. An example for a non-statistical po ll is a poll with the three qu estions: 1. Do you prefer to be poor? 2. Do you prefer to be young, hea lthy and rich? 3. Do you prefer to be old and sick? In this poll one expects that m ost people will vote 2 (at least f or themselves). However, it is clear that nobody w ill m ake the effort to make this poll, as its result is predictable. However, in th e In ternet there are many examples of multi- choice votes with unpredictable answers. Here we study three choices polls that were done on the Internet by the Globes newspaper [11] (an Israeli economical daily news) on variety of subjects between 10 Feb. 2008 and 10 Apr. 2008, for eight consecutive weeks on various issues. The results are presented in Fig 1. 5 Fig 1. The average distribution of votes of c onsecutive eight polls: Ea ch poll has three choices selected by about 1500 voters. The blue line is the actual distribution. The red one is the theoretical ca lculation based on maximizing the Shannon information. 1 2 3 4 5 6 7 8 Average Theoretical A 55% 39% 47% 64% 46% 56% 65% 47% 52% 50% B 32% 38% 31% 20% 37% 30% 19% 33% 30% 29% C 13% 23% 22% 17% 17% 15% 16% 19% 18% 21% It is seen that although the individual votes for the prefe rred choices A, B and C are quite different from the theoretical valu es, nam ely, 50%, 29% and 21% respectively. The average is with a good agreement with th e experim ental results. It is plausible that on the average, the polls reflect more un certainty about the best choice than in an individual poll. Theref ore, one expects th at the average of the eight po lls will be closer to equilibrium . If we consider the number of particles in a box as an indicator of wealth, one may use Eq.(2) to calculate th e theoretical particles wealth of boxes in equilib rium. For example, in a set of a million box es the richest box will have a relative density of 6 05 . 0 1000001 ln 2 ln ≅ . Namely, 5% of the particles will be in one box. Similarly, the richest 10% will have 29 . 0 11 ln 2 ln ≅ . That means that 10% of the boxes will posses 29% of the particles. The ri chest half of the boxes will ha ve about 63% of the wealth. The poorest 10% of the boxes will posses 044 . 0 11 ln ) 9 1 1 ln( ≅ + of the particles, nam ely less than the richest single box. From the point of view of the boxe s this is an unfair distribution. Neverthele ss, from the point of view of the microstates (which are the configurations of boxes and particles) this is the just way to distribute the wealth. It was shown previously that Planck formula yields a power law with slop 1[12]. There are many publications that find power-law distributions with variety of slopes [2]. If we assume that the pr obability of the pa rticles in a box is , we can generalize this theory to a slop ) ( n α φ α power-law. To conclude: the uneven distributions th at are so common in life are partially an outcome of an unbiased distribution of configurations. This is the second law of thermodynamics as m anifested by Boltzmann and Planck. Nam ely, the probability of all the microstates is equal. Not all the systems are in equilibrium , but systems in equilibrium are more stable. Therm al equili brium is reached by the dynamics of the system. In blackbody, photons are em itted and absorbed constantly by the hot object, therefore one can expect to a thermal di stribution. In econom y the money exchanges hands all the time. The digits in numerical data are also ch anged by the number crunching operations. Nevertheless, the situat ion in polls is d ifferent. Voting in the Internet is a spontaneous non-in teractive social activity; ther efore, it is surprising that the solitary autonomic action of an individual yields a result of a statistical ensemble. 7 A possible explanation is that our decision process mimics the behavior of a group, after all a human is a coalition of cells. References 1. 1 .Per Bak, " How Nature Works: The science of self-organized criticality ", Springer-Verlag, New York, (1996). 2. M. E. Newman " Power-law, Pareto Dist ribution and Zipf's law " arxiv:0412,00421; http://www.nslij-ge netics.org/wli/zip f/index.html 3. G. Troll and P. Beim Graben, " Zipf's law is not a consequence of the central limit theorem ", Phys. Rev. E,: 57(2) 1347(1998). 4. R. Gunther, et.al , " Zipf's law and the effect of ranking on probability distributions ", Internatio nal Journal of Theoretical Physics, 35(2) 395 (1996). 5. F. Benford " The law of anomalous numbers" Proc. Amer. Phil. Soc. 78 ,551 (1938) 6. T. P. Hill " The first digit phenomenon " American Scientist 4 , 358(1986) 7. T. P. Hill " A statistical derivation o f the significant-digit law " Statistical Science 10 354 (1996) 8. M. Planck " On the Law of Distribution of Energy in the Normal Spectrum " Annalen der Physik 4 553 (1901) . 9. http://dbhs.wvusd.k12.ca.us/webdocs/ Chem-History/Planck-1901/Planck- 1901.html 10. J. Kestin, ed. " The Second Law of Thermodynamics " Dowden, Hutchinson and RossStroudsburg, pp 312 (1976) 11. http://www.globes.co.il 12. O. Kafri " The second Law as a Cause of the Evolution " arxiv:0711,4507 * The Plank derivation can be obtaine d using a more standard way namely, the Lagrange multipliers. In this m ethod we write a function, . The first term is the Shannon information and the second term is the conservation of particles. W e substitute ) ) ( ( ln ) ( ∑ − + Ω = n n P n f φ β 0 ) ( = ∂ ∂ n n f to find that, ) 1 ln( ) ( n n n N + = φ β . This is the maxim um information solution that yie lds after normalization the Eq. (2) see O. Kaf ri " Entropy principle in direct derivation of Benford's law " arxiv: 0901.3047 . 8

Original Paper

Loading high-quality paper...

Comments & Academic Discussion

Loading comments...

Leave a Comment