Permeability Analysis based on information granulation theory

This paper describes application of information granulation theory, on the analysis of "lugeon data". In this manner, using a combining of Self Organizing Map (SOM) and Neuro-Fuzzy Inference System (NFIS), crisp and fuzzy granules are obtained. Balan…

Authors: M.Sharifzadeh, H.Owladeghaffari, K.Shahriar

Permeability Analysis based on information granulation theory
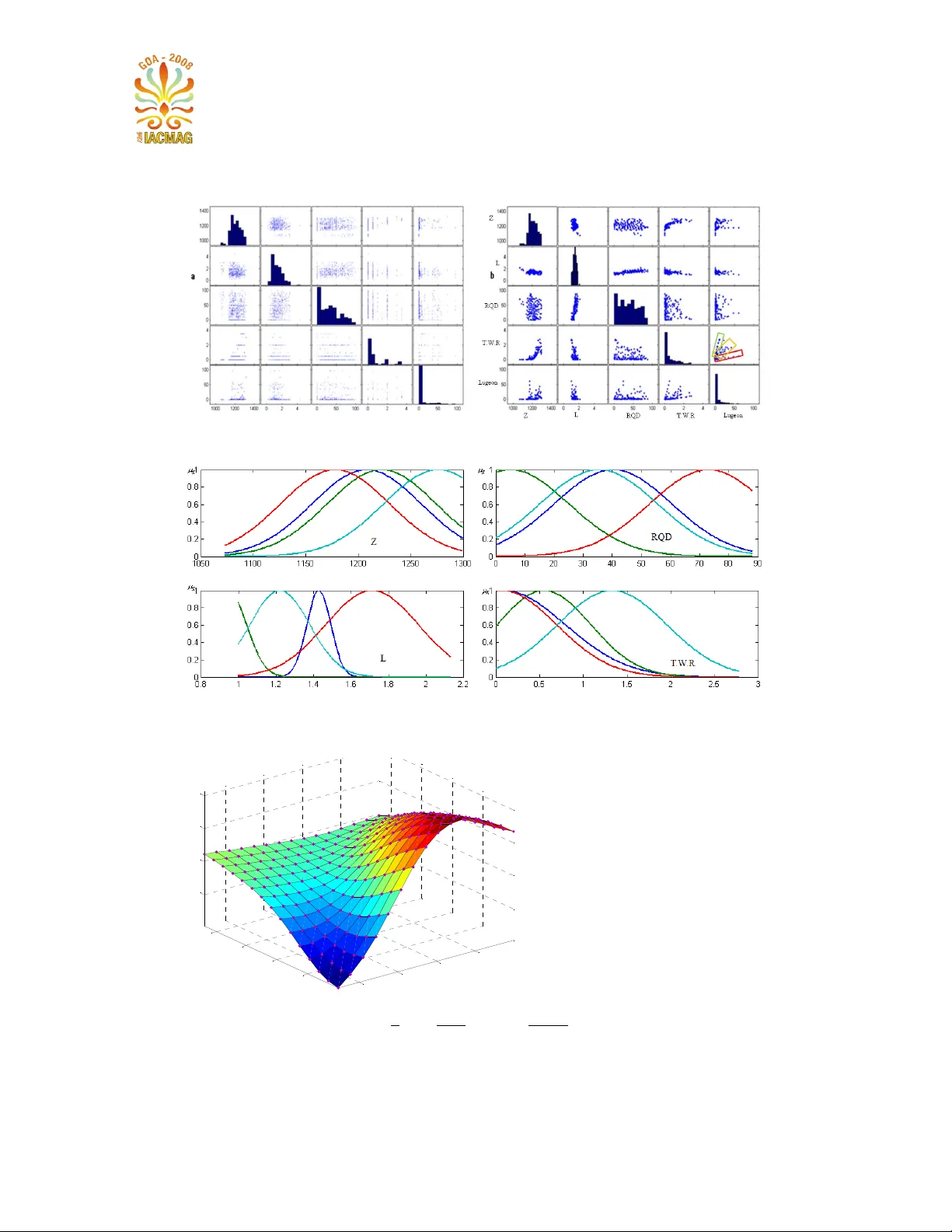
The 12 th International Conferenc e of Internation al Association for Comp uter Methods and Advances in Ge omechanics (IACMAG) 1-6 October, 2008 Goa, India The paper may be considered for (indicat e your choi ce by put ting √ in the appropriat e box) 1. Oral Present ation √ 2. Poster Session Permeability Analy sis based on information granulation theory M.Sharifzadeh, H .Owladeghaffari , K.Shahriar, E.Bakhta var, Dept. of Mining and Metallurgical Engineering, Amirkabir Univers ity of Technology, Tehran, Iran Keywords: In formati on granu lation the ory, SOM, NFIS , RST, pe rme ability ABSTRACT : This paper describes applicati on of information granulation theory, on the analysis of "lugeon data". In this manner, using a combining of Self O rganizing Map (SOM) and Neuro-F uzzy Inference System (NFIS), cris p and fuzzy granules ar e obtained. Balancin g of crisp granules and sub- fuzzy granules, within non f uzzy information (initial granulation), is rendered in open-close iteration. Using t wo criteria, "simplicity of rules "and "suitable adaptive threshold error level", stability of algorithm is guaranteed. I n other part of paper, rough set theory (RST), to approximate analysis, has been employed .Validation of the proposed me thods, on the large data set of in-situ permeability in rock mass es, in the Shivashan dam , Iran, has been highlighted. By the implementation of the proposed alg orithm on the lugeon data s et, was proved the suggested method, relating the approximate analysis on the permeability, could be applied. 1 Introduction During the dam st ructures design, one of t he most signific ant issues is the est imation of permeability variations in dif ferent levels of the dam site. However, prediction of permeability, using obtained data, from in-s itu tests is a big c hallenge. Relating to the determinati on of potential water flow paths within the rock mass, underlying a potential dam structure is especially important and this has an extensive im pact on the planning o f grouting procedures (Houlsby 1990). Several different method s for assessing the permeabilit y variations in the rock mass have been reviewed in the literature: Nakaya et al. (1997) and Shahriar & Ow ladeghaffari (2007). Due to association of uncert ainty and vagueness with the monitored data set, particularly, resulted from the in-sit u tests (such lugeon test), account ing relevant approaches such probabilit y, fuzzy set and rough set the ories to knowledge acquisition, extraction of rules and prediction of unknown cases, more t han the past have been dist inguished. The Information Granulation (IG) theory covers the mentioned approaches in two formats: c risp (no-fuzzy) IG and fuzzy IG ( Zadeh, 1997). There are two main reasons why we propose IG theory to tackle with uncertainty in the monit ored geomechanics dat a. The f irst one is human instinc t. As human being, a granular view of the world has been developed. I n this study, using two Computational Intelligence (CI) theories namely neural networks, and fuzzy inference system , based on IG theory, an algorithm to analysis permeability data was presented and applied to the Shivas han dam site located in north western of Ir an. Other part of st udy investigates application of Rough Set T heory (RST), as a new approximate analysis, on these data set and comparison of res ults with former algorithm. In first model, self-organizing feature map and Neuro-Fuzzy Inference System is utilize d to construct IGs. To determine suitable granulation level, the t wo criteria, "simplicity of rules" and "adaptive thres hold error level", are supposed. The 12 th International Conferenc e of Internation al Association for Comp uter Methods and Advances in Ge omechanics (IACMAG) 1-6 October, 2008 Goa, India 2 Construction of information granules Information granules are collections of e ntities that are arranged due to their similarity, funct ional adjacency, or indiscernibility relation. T he process of forming inf ormation granules is referred to as IG. The re are many approaches to construction of IG, for example SOM, Fuzzy C-Means (FCM), and RST. T he granulation level depends on the requirements of the project. The smaller IGs com e from more detailed processing. On the other hand, because of complex innat e feature of information in real world and to deal with vagueness, adopting of fuzzy and rough analysis or the combination form of t hem is necessary. In this s tudy, the main aim is to develop a hierarchic al extraction of I Gs using three ma in steps: 1-Random selection of initial cris p granules: this step can be set as “Close World” Assumption .But in many applications, the assumption of co mplete information is not feasible (CWA), and only cannot be used. In suc h cases, an Open W orld Assumption (OW A), where information not known by an agent is assum ed to be unknown, is often acc epted (Dohert et al, 2007). 2- Fuzzy granulatio n of initial granule s: sub fuzzy gr anules inside precise granules and extraction of if-then rules. 3- The close-open iterat ion: this process is a guideline to balancing of c risp and sub fuzz y granules by some random selection of initial granules or ot her optimal struct ures and increment of supporting rules, gradually. This p aper employed two main approaches on constructing of IGs: self organizing feature map as initial granulatio n, and NFIS as s econdary granulation. Other process , in this manner, is applying of RST . 2.1 Self Organizin g Map-neural ne twork (SOM) Kohonen self-organizing networks (Kohonen featu re maps or topology-preserving maps) are competition-based n etwork paradigm for data clustering. The learnin g procedure of Kohonen feature maps is similar to the competit ive learning networks. The main idea behind compet itive learning is simple; t he winner takes all. The competitive transfer func tion returns neural outputs of 0 for all neurons except for the winner which receives the highest net input with output 1. SOM changes all weight vectors of neurons in the near vicinity of the winner neuron towards the input vector. Due to this property SOM, are used to reduce the dimensionality of complex dat a (data clustering). Competitive layers will automatically learn to classi fy input vectors, t he classes that t he competitive layer finds are depend only on the distances between input vectors (Kohonen, 1990). 2.2 Neuro-Fuzzy Inf erence Syste m (NFIS) There are differen t solutions of fuzzy inference systems . Two well-know n fuzzy modelling methods are the T sukamoto fuzzy model and Takagi– Sugeno –Kang (TSK) model. In this study, only the TSK model has been considered. A f uzzy rule in this model has following form: whe re f(x) is crisp function in the consequent. The funct ion y=f(x) is a polynomial in the input variables x 1 , x 2 , …,x n .We will apply here the linear form of this function. For M fuzzy rules of the equation 1, we have M such membership functions µ 1 , µ 2 ,…, µ M We assume that each decision part is ensued by the cons equent of the li near form as the e quation 2: The algebraic produc t aggregation of th e input variables, at the existence of M rules, the Neuro– fuzzy TSK system output signal y(x) upon excit ation by the vector x is described by the equation 1. The adjuste d parameters of t he system are the nonlinear p arameters ( ) k ( j ) k ( j ) k ( j b , , c σ ) for j = 1, 2,..., n and k = 1, 2, ..., M of the fuzzi fi er function s and the linear parameters (weights P kj ) of TSK functions. I n contrary to the Mamdani fuzz y inference system, the TSK model generates a crisp ) ( 2 2 1 x f y then A is x and A is x and A is x if n n i = (1) n j and M i x P P n j j ij i ..., , 2 , 1 ..., , 2 , 1 1 0 = = + = ∑ = (2) The 12 th International Conferenc e of Internation al Association for Comp uter Methods and Advances in Ge omechanics (IACMAG) 1-6 October, 2008 Goa, India output value in stead of a f uzzy one. The defuz zi fi er is not necessary. The TS K fuzzy inference systems described by equation 3 can be easily implanted in the form of a so called Neuro-fuzzy network structure. Figure 1 presents t he 5-layer structure of a Neuro-fuzz y network, realizing the TSK model of the fuzzy system. I t is assumed t hat the func tions y i , y i = f i (x) are linear of the form (as equation 4) The parameters of the networks are the variables of the membership functions ( ) ( ) ( ) ( , , k j k j k j b c σ ) for j = 1, 2,..., n and k = 1, 2, ..., M and the coef ficients (linear weights) ij p for i =1,2,.. .,M and j =0,1,2 ,...,n of the linear Tak agi–Sugeno functions. T he network in figure 1 has a mult ilayer form, in which any inputs( x,y ), as conditio n attributes, has two MFs. Details of t he procedure can be found in(Jang et al, 1997). Figure 1. A typical ANFI S (TSK) with two inputs and two MF for any input (Jang et al, 1997) 2.3 Rough Set Theory (RST) The rough s et theory introduc ed by Pawlak (Paw lak, 1991) has often p roved to be an excellent mathematical too l for the analysis of a vague des cription of object . The adject ive vague referring to the quality of informat ion means inconsistenc y, or ambiguity which follow s from inform ation granulation. An information system is a pair S=< U, A >, where U is a nonempty finite set called the universe and A is a nonempty finite set of at tributes. An attribut e a can be regarded as a function from the domain U to some value set a V . An informa tion system can be represent ed as an attribute-value table, in which rows are labeled by objects of the univ erse and columns by attribut es. With every subset of attribut es B ⊆ A , one can eas ily associate an equivalenc e relation B I on U: {( , ) : , ( ) ( )} B Ix y U f o r e v e r y a B a x a y =∈ ∈ = (5) The n, B aB a I I ∈ = I . If XU ⊆ ,the s ets [] {: } B x Ux X ∈⊆ and [ ] {: } B xU x X ϕ ∈≠ I , where [ ] B x denotes the equivalence class of t he object x U ∈ rela tive to B I , are called the B-lower and the B-upper approximation of X in S and denoted by B X and B X , respectively. Consider () () 0 11 1 1 1 1 y( x ) = n Mn kj k k j j M kj J rj r j x pp x x µ µ == = = = ⎛⎞ ⎛⎞ ⎡⎤ ×+ ⎜⎟ ⎜⎟ ⎢⎥ ⎜⎟ ⎡⎤ ⎣⎦ ⎝⎠ ⎝⎠ ⎢⎥ ⎣⎦ ∑∑ ∏ ∑ ∏ (3) () 0 1 n iii j j j fx p p x = =+ ∑ (4) The 12 th International Conferenc e of Internation al Association for Comp uter Methods and Advances in Ge omechanics (IACMAG) 1-6 October, 2008 Goa, India 12 n {x , x , ...,x } U = and 12 n {a , a , ...,a } A = in the information system S= U, A pf . By the discernibility matrix M( S) of S is meant an n*n matrix suc h that: { } :( ) ( ) ij i j ca A a x a x =∈ ≠ (6) A discernibilty function s f is a funct ion of m Boolean v ariables 1 ... m aa corresponding to attribute 1 ... m aa , respectively, and defined as follows: 1 ( , ..., ) { ( ) : , , , } s m ij ij f aa c i j n j i c ϕ =∧ ∨ ≤ ≠ p (7 ) whe re () ij c ∨ is the disjunction of all variables with ij ac ∈ . Using such dis criminant matrix t he appropriate rules are elicited (Pal&M itra, 2004). In this study we have developed dependency rule generation –RST- in MatLab7, and on this added toolbox other appropriate algorithms have been prepared. 3 The proposed procedure base d on balancing of granules In this sec tion, utilizing Inform ation Granulation (IG) t heory, a new procedure is described , to demonstrate permeability varirtions in the unl ike sections. Figure 2 i llustrates the basic idea of the proposed methodology. The detailed procedure is res pectively described as following: Step (1): dividing t he monitored data into groups of train ing and testing data Step (2): first granulation (crisp) by SOM Step (2-1): selecting the level of granularity randomly. Step (2-2): construct ion of the granules (crisp). Step (3): second granulation (fuzzy IG) by NFIS Step (3-1): crisp granules as a new data. Step (3-2): selecting the level of granularity. (Error level-number of rules) Step (3-3): checking the suitabilit y. (Close-open iteration) Step (3-4): construct ion of fuzzy granules. Step (4): extraction of knowledge rules Obviously, the granularity level is cont rolled by Error Level (EL), number of rules and number of neurons in crisp granules. S o, the latter crite ria are based on “simplicity reasons for nature events” in human t reatment, so that, the world’s cognition may be granulated, organized and caus ed with minimum and simplest rules. By considering t he subtractive c lustering method, to create f uzzy granules, the role of influence radius in partitio n of data set, and by suitable s election of this range, algorithm is sta rted. 4 Dam per meability Shivashan hydroelectric earth dam is located 45km north of Sardasht city in north western of Iran. In order to obtain engineering geological informat ion, boreholes were drilled at different points of Shivashan dam’s area. Water Pressure T est (WPT) has used for determination of this area’s permeability. WPT is an effective m ethod for widely determination of rock mass permeability totally, 20 boreholes have been drilled and consequently about 789 data set were resulted. To evaluate the permeabilit y due to the lugeon values and the proposed method, two different cases were considered: first cas e is on the local coordinat es of dam site (position of boreholes: x,y,z ) to depict 3D isolugeon diagrams ;while in other step aim is to detect relation between available measured d ata from borehole s. In latt er case, the input parameters were selected as follows: Z (elevation of any section), ∆ L (length of te sted section), RQD, TWR (type of w eathering rock). In first analysis, without using proposed algorithm, by direct solution of ANFI S and using 3MFs for any inputs, prediction of permeability in different leve ls (Z=1160,1180,1190 and 1200) was The 12 th International Conferenc e of Internation al Association for Comp uter Methods and Advances in Ge omechanics (IACMAG) 1-6 October, 2008 Goa, India accomplished (figure 3a). Same process based on the deter ministic extracted rules from RST, and transferring of attributes by SOM in 5 symbolic levels: very high, high, medium, low and very low was rendered in different levels (Figure 3b). In RST analysis, the symbolic values of 1(very low)… 5(very high), 6(no-deterministic), were attributed to the lugeon values. In Contrary one may interprets the variations in z= { z* } is the superposition of the s ub levels results, has been emerged by NFIS, approximately. In f igure 4 variations of RQD by NFIS and using five MFs has been portrayed. Figure 2. The procedure of crisp-s ub fuzzy granulation Second step was based on the propos ed method. The effective parameters in the proposed algorithm are: n= 1 (number of random initial SOM&NFIS ); k =3 (maximum closed-open iterations for each rule), n.r = 4 (maximum rules) and ξ≈ 23 (error level). After two open-close iterations, the conditions of algorit hm were satisfied; so that by 10*15 SOM crisp granules were obtained. ( n=10, m=15 ; Matrix of neurons ( n * m ) determines the size of 2D SO M). Indeed, SOM c an be supposed as a pre-processing step (comparison between figures 5a-b) . The obt ained results i n step 2 were stored in the aggregat ed data box, so that ac cording to the mentioned dat a box the estimation of optimum point of balanc ing between crisp and fuzzy granules can be done. Best structure of explored NFIS, presents the dominant rules as follow: 1 1 ) 1 4 ( & ) 1 3 ( & ) 1 2 ( & ) 1 1 ( . 1 4 3 2 1 f output then f m in x f m in x f m in x f m in x If = ∈ ∈ ∈ ∈ 2 2 ) 2 4 ( & ) 2 3 ( & ) 2 2 ( & ) 2 1 ( . 2 4 3 2 1 f output then f m in x f m in x f m in x f m in x If = ∈ ∈ ∈ ∈ 3 3 ) 3 4 ( & ) 3 3 ( & ) 3 2 ( & ) 3 1 ( . 3 4 3 2 1 f output then f m in x f m in x f m in x f m in x If = ∈ ∈ ∈ ∈ 4 4 ) 4 4 ( & ) 4 3 ( & ) 4 2 ( & ) 4 1 ( . 4 4 3 2 1 f output then f m in x f m in x f m in x f m in x If = ∈ ∈ ∈ ∈ Where input parameters (xi) belong to the Gaus sian format of memb ership functions (figures 6.a, b, and c, d). As well as, we can write the linear formats of decision attribut e (sub-fuzzy) based on conditional parameters, which are as following: The 12 th International Conferenc e of Internation al Association for Comp uter Methods and Advances in Ge omechanics (IACMAG) 1-6 October, 2008 Goa, India 11 1 4 4 1 12 3 4 1 21 1 4 4 2 12 3 4 2 31 1 4 4 3 12 3 .... 0. 0186 ; 14. 2825 ; - 0. 0657 ; 11. 6620 ; - 3 8. 4240 .... 0. 0928 ; 7. 1981 ; 2. 9592 ; 2. 4851 ; - 1 17. 691 .... -0 .0 2 7 4 ; -8 . 0 8 3 6 ; fp x p x r ppp p r fq x q xr qq q q r fs x s xr ss s =+ + + == = = = =+ + + == = = = =+ + + == = 43 41 1 4 44 12 3 4 4 8 0. 0694 ; 11. 4711 ; 42. 4835 .... - 0. 2195 ; 98. 0854; - 0 . 0816 ; 20. 0027 ; 138. 4553 sr ft x t x r tt t t r == =+ + + == = = = The rules st ate the relations hip between inputs and output in 3D. For inst ance figure 7 demonstrates genera l and possible variati on of lugeon with RQD and Z: with increasing RQD, lugeon is decrea sed while high elevations are coincid ed by high lugeon. Such features may be evaluated, with more detail s, using figure5b, where the scatter training data have tr ansferred in to 150 data. For example, three major patterns in lugeo-RQD or lugeon-T .W.R confirm three main unlike treatments of the rock mass, induced from the different patterns of joints and filling materials. Figure 3.a) Isolugeon graphs by NFIS, b) RST Perf ormance in symbolic levels and five scaling of attributes. Number 6(m ore than 5) characterizes ambiguity and unknown cases Figure4. Iso-s urfaces of RQD by NF IS The 12 th International Conferenc e of Internation al Association for Comp uter Methods and Advances in Ge omechanics (IACMAG) 1-6 October, 2008 Goa, India Figure5. a) Re al data set in ma trix plot form (as t raining data set) ; b) matrix plot of crisp granules by 10*15 SOM after 500 training Figure 6.a, b, c, d. Fuzz y granulation of conditional at tributes (inputs), - vertical axis shows degree of membership f unction 1100 1150 1200 1250 20 40 60 80 10 20 30 40 in1 in3 Figure 7. The 3D relation between Z (in1), RQD (in3), and lugeon The 12 th International Conferenc e of Internation al Association for Comp uter Methods and Advances in Ge omechanics (IACMAG) 1-6 October, 2008 Goa, India 5 Conclusion Uncertainty and vague information has undeniable role in geom echanic’s analysis. Indeed, developing of new approaches in data engineering and computational intelligence, as well as, natural computing approaches, it is nec essary to consider such approaches to better underst and of natural events in roc k mass. Under th is idea and to find out t he best information granule s (clusters) which have intricate structures , close-open worlds (cycle) procedure to balancing of successive granules was proposed. By the implementation of the proposed algorithm on t he lugeon data set of Shivashan dam, was proved the sugg ested method relating t he approximate analysis on the permeability could be applied. From the mentioned analysis the following results can be deduced: 1- Detection of the permeabilit y variations in successi ve level using NFIS and RST: the permeability in left bank is lower than other side. 2- Elicitation of best sim ple rules between effective parameters 3- A pre-processing on the scatt er lugeon data using best SOM-in balancing with NFIS Applications of new data engineering methods in geomechan ics and combining with hard computing, under new algorithms, are future works of authors. 6 References Doherty, P., Kachniarz, J., Szatas, A., 2004 , “Using contextually closed queries for local closed -world reasoning in rough knowled ge data base”, In rough-neural com puting techniques for comparing with w ords, eds. Pal, S. K., Polkowski, L., Skowron, A., Pp. 219-250. Houlsby, A. C ., 1990, “Const ruction and Design of Cement Gr outing”, John Wiley & Sons, Inc. (New Yo rk) Jang, J., S. R., Sun, C. T ., & Mizutani, E., 1997, “Neuro-fuzzy and soft computing” , Newjersy , Prentice Hall. Kohonen, T., 19 87, “Self-organization and associate memory”, 2nd edn . Springer – Ver lag, Berlin Nakaya, S., Koike, A., Ho rie, M., 1997, “A Geosta tistical Approach to Estimate the Ground Water Flow Path in Fractured Ro cks, Yuan (editor) in Compu ter Methods and Advances in Ge omechanics Balkema, Rotterdam, Pp. 1011-10 14. Pal, S.K. and Mitra, P. ,2004, “Patter n Recognition Algorithms for Data Mining”, Ch apman&Hall/CRC,Boca Raton. Pawlak, Z., 19 91, “Rough sets: theoretical aspects reasoning abou t data”, Kluwer academic, Boston. Shahriar, K., Ow ladeghaffari, H., 2007, “Pe rmeabili ty analysis using BPF , SOM&ANFIS”, 1st Canada -U.S. Rock Mechanics Symp osium ,Francis& Taylor, pp.303-7, 2007 . Zadeh, L. A., 1997, “Toward a theor y of fuzzy inform ation granulation and its centra l ity in human reaso ning and fuzzy logic .Fuzzy sets and systems 90”, Pp :111-127.

Original Paper

Loading high-quality paper...

Comments & Academic Discussion

Loading comments...

Leave a Comment