Vandermonde Frequency Division Multiplexing for Cognitive Radio

We consider a cognitive radio scenario where a primary and a secondary user wish to communicate with their corresponding receivers simultaneously over frequency selective channels. Under realistic assumptions that the secondary transmitter has no sid…

Authors: L. S. Cardoso, M. Kobayashi, M. Debbah

Vandermonde Frequency Division Multiplexing for Cognitive Radio
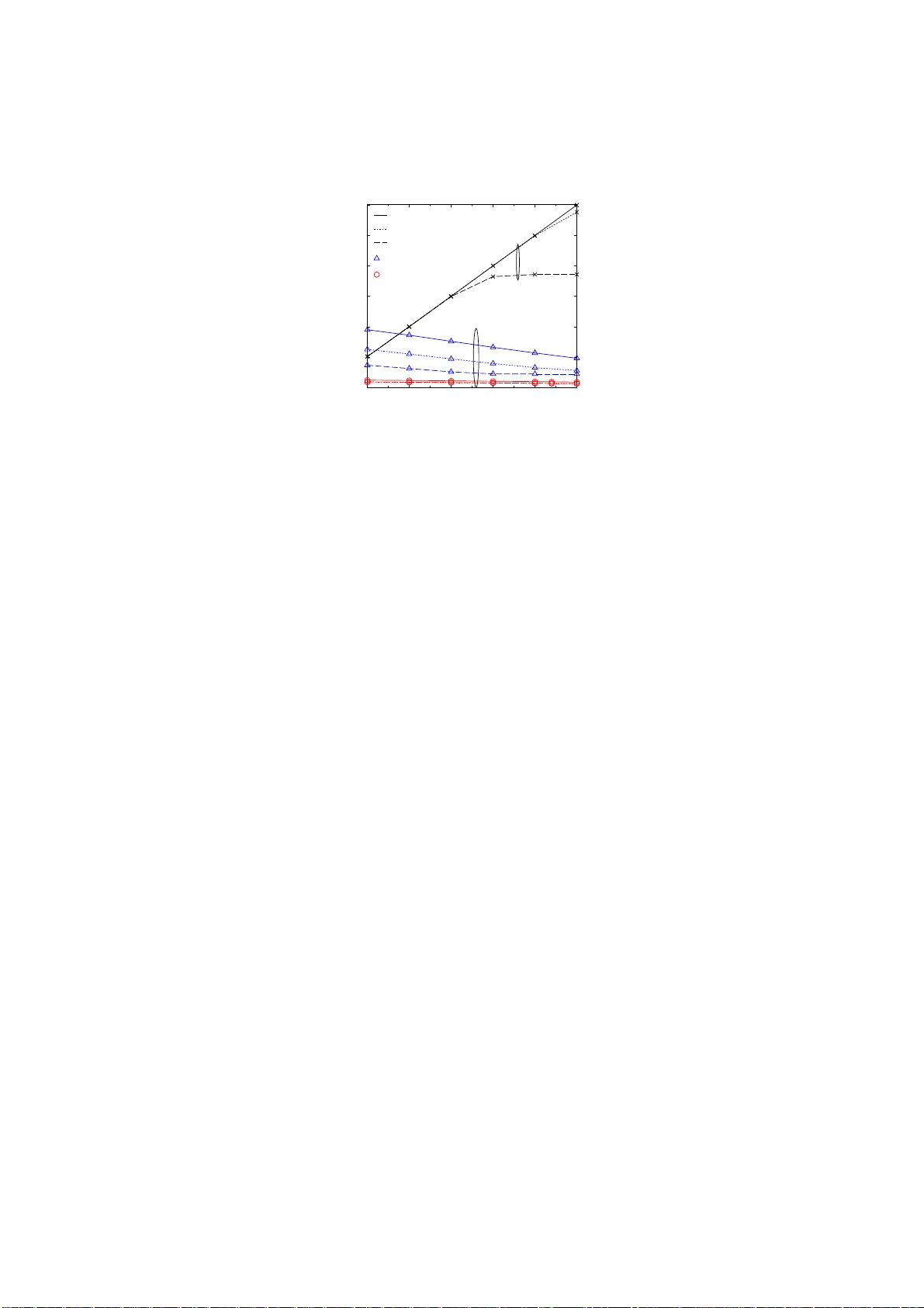
V andermonde F requency Division Multiplexing for Cognitiv e Radio Leonardo S. Cardo so and Mari Kobayashi and M´ erouane Debbah Øyvind Ryan SUPELEC Univ ersity o f Oslo Gif-sur-Yvette, F rance Oslo, Norway { leonardo .cardoso ,mari.kobay ashi,merouane.debbah } @sup elec.fr oyvindry@ifi.uio.no Octob er 15, 2018 Abstract W e consider a cognitiv e radio scenario w here a primary and a sec- ondary user wish to comm unicate with their corresp on d ing receiv ers sim u ltaneously o ver frequency selectiv e c hann els. Under realistic as- sumptions that the secondary transmitter has no side information ab out the primary’s m essage and eac h transmitter kno ws only its lo- cal c hannels, w e prop ose a V andermonde preco der that cancels the in terfer en ce from th e secondary u ser by exploiting the redun dancy of a cyclic p refix. Our numerical examples sh o w that VFDM, with an appropriate design of the in put co v ariance, en ab les the secondary user to ac h iev e a considerable r ate while generating zero interference to the primary user . 1 Motiv ation W e consider a 2 × 2 cognitiv e radio mo del where b o th a primary (licensed) transmitter and a secondary (unlicensed) transmitter wish to comm unicate with their corresp onding receiv ers sim ultaneously a s illustrated in Fig.1. When b oth transmitters do not share eac h other’s message, the informa- tion theoretic mo del fa lls into the in t erference c hannel [1, 2] whose capa city remains op en in a general case. A significan t n um b er o f recen t w orks hav e aimed at characterizing the ac hiev able rates of the cog nit ive radio channel, i.e. the interference c hannel with some know ledge of the primary’s message at t he secondary transmitter [3, 4, 5, 6]. The se include the pioneering w o rk of [3], t he works of [4], [5] for the case o f w eak, strong Gaussian inte rference, resp ectiv ely , and finally a recen t con tribution of [6] with partial kno wledge 1 Tx 1 Rx 1 Tx 2 Rx 2 h (11) h (22) h (21) h (12) primary secondary Figure 1: 2 × 2 cognitiv e mo del at t he secondary transmitter. In all these w o r ks, the o ptimal transmission sc heme is based on dirty-pap er co ding that pre-cancels the kno wn in terfer- ence to the secondary receiv er and helps the primary user’s transmission. Unfortunately , this optimal strategy is ve ry complex to implemen t in prac- tice and moreo v er based on ra ther unrealistic assumptions : a) the secondary transmitter has full or partial kno wledge of the primary mes sage, b) b o t h transmitters kno w all the c hannels p erfectly . Despite its cognitiv e capabilit y , the assumption a) seems v ery difficult (if not imp ossible) to hold. This is b ecause in practice the secondary transmitter has to deco de the message of the primary transmitter p erfectly in a causal manner b y tra ining ov er a noisy , faded or capacit y-limited link. The assumption b) requires b oth transmitters to p erfectly track all channe ls (p ossibly by an explicit feedbac k from tw o re- ceiv ers) and thus might b e p ossible only if the underlying fading c ha nnel is quasi-static. The ab o ve observ ation motiv ates us to design a practical tr ansmission sc heme under more realistic assumptions. First, we consider no co op eration b et wee n tw o transmitters. The primary user is ignoran t of the secondary user’s presence and f ur t hermore the secondary transmitter has no kno wledge on the primary transmitter’s message. Se cond, w e assume that eac h trans- mitter i kno ws p erfectly its lo cal c hannels ( h ( i 1) and h ( i 2) ) and eac h receiv er i know s only its direct c hannel ( h ( ii ) ). This a ssumption is rather reasonable when the c hannel r ecipro cit y can b e exploited under time division duplexing systems . Fina lly , assuming frequency selectiv e fading c hannels, w e consider OFDM transmission. The last assumption has direct relev a nce to the cur- ren t OFDM-ba sed standards such as WiMax, 802.11a/ g , L TE and DVB [7]. Under this setting, there is clearly a tradeoff b et w een the achiev able rates of the tw o users. F or the cognitive r adio application, how ev er, one of the most imp ortant goals is to design a transmit sc heme of the secondary user that generates zero interfere nce to the prima r y receiv er. W e pro p ose a linear V andermonde preco der that generates zero in ter- ference at the primary re ceiv er b y exploiting the redundancy of a cyclic 2 prefix and na me this sch eme V an dermonde F r e quency Division Multiplex- ing (VFDM). The preco der exploits the f requency selectivit y of t he c hannel rather than the spatial dimension and can b e considered as a frequency b eam- former (in comparison to the classical spatial b eamformer). More precisely , our preco der is giv en by a V andermonde matrix [8] with L ro ots corresp ond- ing to the c hannel h (21) from the primar y user to the secondary receiv er. The orthogonality b et we en the preco der a nd the c ha nnel enables the secondary user to send L sym b ols, corresp onding to t he siz e of a cyclic prefix, while main taining zero in terference. T his is con trasted with the approac h of [4] where the zero in terference is limited to the case of weak interference . T o the b est of our kno wledge, a V andermonde precoder to cancel the in terference has nev er b een prop osed. The use of the V andermonde filter to g ether with a Lagrange spreading co de was prop osed to cancel the m ultiuser in terference on the uplink of a CDMA system [9]. Ho w eve r, this sc heme is conceptually differen t in tha t its in terference cancellation exploits the orthogona lity b e- t wee n the spreading co de and the filter. Moreo v er, it do es not dep end on the c hannel realization. Since the size L of the cyclic prefix is t ypically fixed to b e m uch smaller than the n umber N of OFDM sym b ols (sent b y the primary user) [7], VFDM is highly sub optimal in terms of the ach iev able rate. Nev ertheless, w e sho w that the secondary user can impro ve its r ate by appropriately designing its in- put co v ariance a t the price o f additional side information on the in terference plus noise cov ar ia nce seen b y the secondary receiv er. Numerical examples inspired b y IEEE 80 2.11a setting sho w tha t VFD M with our prop osed co- v ariance design enables the secondary user to a c hiev e a no n-negligible ra t e of 8.44 Mbps while guara n teeing the primary user its target rate of 36 Mbps with the op erating SNR of 10 dB. Finally , a lt hough this pap er fo cuses on the zero inte rference case desired for the cognitiv e radio applicatio n, VFDM can b e suitably mo dified to provide a tra deoff b et w een the amount of in ter- ference that t he secondary transmitter cancels and t he rate that it ac hiev es. W e discuss in Section 4 some practical metho ds to generalize VFDM. 2 System Mo de l W e consider a 2 × 2 cognitive mo del in F ig .1 o ver frequency selectiv e fading c hannels. By letting h ( ij ) denote the c hannel with L + 1 paths b etw een transmitter i and receiv er j , w e assume tha t entries o f h ( ij ) are i.i.d. Ga ussian ∼ N C (0 , σ ij / ( L + 1)) and mor eov er the channels are i.i.d. o v er any i, j . In order to a void blo c k-interferen ce, w e apply OFD M with N sub carr iers with a cyclic prefix o f size L . The receiv e signal for receiv er 1 and receiv er 2 is 3 giv en b y y 1 = F  T ( h (11) ) x 1 + T ( h (21) ) x 2 + n 1  y 2 = F  T ( h (22) ) x 2 + T ( h (12) ) x 1 + n 2  (1) where T ( h ( ij ) ) is a N × ( N + L ) T o eplitz with v ector h ( ij ) T ( h ( kj ) ) =       h ( kj ) L · · · h ( kj ) 0 0 · · · 0 0 . . . . . . . . . . . . . . . . . . . . . . . . 0 0 · · · 0 h ( kj ) L · · · h ( kj ) 0       F is an FFT matrix with [ F ] k l = exp( − 2 π j k l N ) for k , l = 0 , . . . , N − 1, and x k denotes the transmit ve ctor of user k of size N + L sub j ect to the individual p o w er constrain t giv en b y tr( E [ x k x H k ]) ≤ ( N + L ) P k (2) and n k ∼ N C ( 0 , I N ) is A WGN. F or the primary user, we consider DFF T- mo dulated sym b ols x 1 = AF H s 1 (3) where A is a preco ding matrix to app end the last L en tries of F H s 1 and s 1 is a sym b ol vec tor of size N . F or the secondary user, we form the transmit v ector b y x 2 = Vs 2 where V is a linear preco der and s 2 is the sym b ol v ector (whose dimension is b e sp ecified later). Our ob jectiv e is to design the precoder V that generates zero in terference, i.e. satisfies the following orthogonal condition T ( h (21) ) Vs 2 = 0 , ∀ s 2 . (4) 3 VFDM In this section, we prop ose a linear V andermonde preco der that satisfies (4) b y exploiting the redundancy L of the cyclic prefix or equiv alen tly the degrees of freedom left b y the system. Namely , w e let V to b e a ( N + L ) × L V andermonde matrix g iven b y V =        1 · · · 1 a 1 · · · a L a 2 1 · · · a 2 L . . . . . . . . . a N + L − 1 1 · · · a N + L − 1 L        (5) 4 where { a l , . . . , a L } are the ro o t s of the p olynomial S ( z ) = P L i =0 h (21) i z L − i with L + 1 co efficien ts of the channel h (21) . Since the orthogona lity b etw een the preco der and the channel enables tw o users to transmit simultaneous ly o ver the same frequency band, w e name this sch eme V andermo nde F r e quency Division Multiplexing (VFDM) . Clearly , the secondary user needs to kno w p erfectly the c hannel h (21) in o rder to adapt the preco der. This can b e done easily assuming that the recipro city can b e exploited under time-division duplexing systems. The resulting transmit ve ctor of the secondary user is giv en b y x 2 = α V s 2 (6) where s 2 is a sym b ol v ector of size L with co v ariance S 2 and α is deter- mined to satisfy the p o w er constraint (2) α = s ( N + L ) P 2 tr( VS 2 V H ) . The following remarks are in order : 1 ) Since the c ha nnels h (21) and h (22) are statistically indep enden t, the probabilit y that h (21) and h (22) ha ve the same ro ots is zero. Therefore the secondary user’s sym b ols s 2 shall b e trans- mitted reliably; 2) D ue to the orthog o nalit y b et we en the channel and the preco der, the zero interfere nce condition (4) a lw ays holds irrespectiv ely of the secondary user’ input p ow er P 2 and its link σ 2 , 1 . This is in contrast with [4] where the zero in terference is satisfied only for the w eak in t erference case, i.e. σ 2 , 1 P 2 ≤ P 1 and σ 1 , 1 = σ 2 , 2 = 1; 3) T o the b est of our kno wledge, the use o f a V andermonde ma t rix at the transmitter fo r in terference cancellation has nev er b een prop osed. In [9], the authors prop osed a V andermonde filter but for a different application. By substituting (3) and (6) in to y 1 , we obtain N parallel c hannels f o r the primary user give n by y 1 = H (11) diag s 1 + ν 1 (7) where H (11) diag = diag( H (11) 1 , . . . , H (11) N ) is a diagonal frequency domain c han- nel matrix with i.i.d. en tries H (11) n ∼ N C (0 , σ 11 ) and ν 1 ∼ N C ( 0 , I ) is A W GN. The receiv ed signal of the secondary user is giv en b y y 2 = H 2 s 2 + H (12) diag s 1 + ν 2 (8) 5 where w e let H 2 = α F T ( h (22) ) V denote the ov erall N × L c hannel, H (12) diag = diag( H (12) 1 , . . . , H (12) N ) denotes a diagona l frequenc y domain c han- nel matrix with i.i.d. en tries H (12) n ∼ N C (0 , σ 12 ), and ν 2 ∼ N C ( 0 , I N ) is A W GN. F rom (7) and (8), w e notice that VDFM conv erts t he frequency-selectiv e in terference c hannel (1) into one-side vec tor interferenc e channe l ( or Z in ter- ference c hannel) where the primary receiv er sees inte rference-free N parallel c hannels and the secondary receiv er sees the in terference from the primary transmitter. Notice tha t ev en f o r a scalar Gaussian case the capa cit y of the one-side Gaussian interferenc e c hannel is not fully kno wn [10, 11]. In this w ork, w e restrict our receiv er to a single user deco ding strategy whic h is clearly sub optimal f or the strong inte rference case σ 12 > σ 11 . 4 Input Cov ariance Optimization This section considers the maximization of the achiev able rates under t he individual p ow er constraints . First, w e consider the primary user. Since the primary user sees N pa rallel ch annels (7), its capacit y is maximized b y Gaussian input and a diagonal cov a riance, i.e. S 1 = diag( p 1 , 1 , . . . , p 1 ,N ). The rate of the primary user is giv en b y R 1 = max { p 1 ,n } 1 N N X n =1 log(1 + p 1 n | H (11) n | 2 ) (9) with the constraint P N n =1 p 1 ,n ≤ N P 1 1 . The set of p ow ers can b e opti- mized via a classical waterfilling approac h. p 1 ,n = " µ 1 − 1 | H (11) n | 2 # + (10) where µ 1 is a Lag rangian m ultiplier that is determined to satisfy P N n =1 p 1 n ≤ N P 1 . The receiv ed signal of the secondary user (8) when treating the signal from the primary tr a nsmitter as noise is further simplified to y 2 = H 2 s 2 + η 1 The p ower constraint considered here is different fro m (2). Ho wever, the waterfilling power allo c ation o f (10) satisfies (2) in a long-term under the i.i.d. frequency- domain channels. 6 where η denotes the noise plus in terference term whose cov a r ia nce is giv en b y S η = H (12) diag S 1 H (12) diag H + I N Under the Gaussian approximation of η , the rate of the secondary user is maximized by solving maximize 1 N log     I N + ( N + L ) P 2 tr( VS 2 V H ) GS 2 G H     sub j ect to tr( S 2 ) ≤ LP 2 where w e define the effectiv e c hannel as G = S − 1 / 2 η H 2 ∈ C N × L . Notice that t he a b o v e problem can b e solved with p erfect kno wledge of the cov ari- ance S η at the secondary transmitter, whic h r equires the secondary receiv er to estimate S η during a listening phase and feed it bac k to its transmitter. The ab o v e optimization problem is non- con ve x since t he ob jectiv e function is neither concav e or con vex in S 2 . Nev ertheless, w e prop ose a t wo-step o p- timization approa ch that aims at finding the optimal S 2 efficien tly . The first step consists of diagonalizing the effectiv e channe l in order to expres s the ob jectiv e function as a function of p ow ers. W e apply singular v alue decom- p osition to the effectiv e c ha nnel suc h that G = U g Λ g P H g where U g ∈ C N × N , P g ∈ C L × L are unitary matrices and Λ g is diagonal with r ≤ L singular v alues { λ 1 / 2 g ,l } . Clearly , the optimal S 2 should hav e the structure P g ˆ S g P H g where ˆ S = diag ( p 2 , 1 , . . . , p 2 ,r ) is a diagonal matrix, irresp ectiv ely of the scal- ing tr( VS 2 V H ). F or a notation simplicit y let us define the signal-to-interferenc e ratio of c hannel i SIR i = ( N + L ) P 2 c i β i p 2 ,i P r j =1 β j p 2 ,j where w e let β i ∆ = [ P H g V H VP g ] i,i and c i = λ g,i β i . By using these no tations, it can b e show n that the the ra te maximization problem r educes t o maximize f ( p 2 ) = 1 N L X i =1 log (1 + S IR i ) sub j ect to r X i =1 p 2 ,i ≤ LP 2 (11) where w e let p 2 = ( p 2 , 1 , . . . , p 2 ,r ). The second step consists of solving the ab ov e p ow er optimization problem. Unfo rtunately the o b jectiv e function is 7 not concav e in { p 2 ,i } . Let us first assume that the high SIR approximation is v alid for an y i , i.e. SIR i ≫ 1 (this is the case for large ( N + L ) P 2 c i and in part icular when the secondary user’s c hannel is interferenc e-free). Under the high SIR assumption, the function f can b e approx imated to J ( p 2 ) = 1 N P r i =1 log ( SIR i ). It is w ell kno wn that this new function can b e transformed in t o a conca ve function through a log ch ange of v ariable [12]. Namely let define ˜ p i = ln p i (or p i = e ˜ p i ). The new ob jective function is defined b y J ( ˜ p 2 ) = 1 N r X i =1 (log( a i ) + ˜ p 2 ,i ) − r N log   r X j =1 λ j e ˜ p 2 ,j   (12) where w e let a i = ( N + L ) P 2 c i β i . The function J is no w conca ve in ˜ p 2 since the first term is linear and the second term is conv ex in ˜ p 2 . Therefore w e solv e the KK T conditions which are necess ary and sufficien t for the optimalit y . It can b e sho wn that the optimal p ow er allo cation reduces to a very simple w aterfilling approach give n by p ⋆ 2 ,i = LP 2 β i P r j =1 1 β j (13) whic h equalizes β 1 p ⋆ 2 , 1 = · · · = β r p ⋆ 2 ,r and yields SIR i = ( N + L ) P 2 c i r . The resulting ob j ective v alue w ould b e f r = 1 N r X i =1 log  1 + ( N + L ) P 2 c i r  It is w orth noticing that the high SIR appro ximation is not neces sarily satisfied due to the in terference from the primary user and that the optimal strategy should select a subset o f c hannels. One p ossible heuristic consists of com bining the waterfilling ba sed on hig h SIR approximation with a gr eedy searc h. Let us first sort the channe ls suc h that c π (1) ≥ c π (2) ≥ · · · ≥ c π ( r ) (14) where π denotes the p erm utatio n. W e define the ob jectiv e v alue ac hieve d for a subset { π (1 ) , . . . , π ( l ) } using the w aterfilling solution (13) with cardi- nalit y l f l = 1 N l X i =1 log  1 + ( N + L ) P 2 c π ( i ) l  8 The greedy pro cedure consists of computing f l for l = 1 , . . . , r and sets the effectiv e n um b er of c ha nnels r ⋆ to b e the argument maximizing f l . As a result, the secondary user ac hieve s t he rate giv en b y R 2 = 1 N r ⋆ X i =1 log  1 + ( N + L ) P 2 c π ( i ) r ⋆  (15) F rom t he rate expression (15), it clearly app ears that the rate of the secondary user (the pre-lo g factor) dep ends critically on the ra nk r of the o verall channe l H 2 , whic h is determined b y the rank o f V since F , T ( h (22) ) a re full-rank. It turns out that the rank of V is v ery sensitiv e to t he amplitude of the r o ots { a l } esp ecially f o r la rge N , L . Although the ro ot s tend to b e on a unit circle a s N , L → ∞ while kee ping L/ N = c for some constant c > 0 [1 3 ], a few ro o ts outside the unit circle (with | a l | > 1) tend to dominate the rank. In o ther w ords for a fixed fraction c . Fig. 2 sho ws the a veraged n um b er of ranks of a 5 L × L V a ndermonde matrix (corresp onding to c = 1 / 4) ve rsus L . The fig ure sho ws that for a fixed c there is a critical size L ⋆ ab ov e whic h the r a nk decreases and this size decreases for a larger N . This suggests a n appropriate c hoice of the parameters to provide a satisfactory rate to the secondary user with VFDM. When the size of the cyclic prefix is larger than L ⋆ , VFDM can b e suitably mo dified so as to b o ost the secondary user’s rate at the price of increased in terference (or reduced ra te) at the primary user. This can b e done for example b y nor malizing the ro o t s computed b y the c hannel or b y selecting L columns fro m ( N + L ) × ( N + L ) F F T matrix. The design of the V andermonde precoder b y taking in to accoun t the tradeoff b et wee n the in terference reduction and the ac hiev able ra te is b ey ond the scop e of this pap er and will b e studied in a separate pa p er [1 4] using the theory of Random V andermonde Matrices [15, 16]. 0 8 16 24 32 40 0 2 4 6 8 10 Averaged number of rank (N+L)*L Vandermonde matrix L c=1/4 c=1/5 c=1/6 c=1/8 Figure 2: Rank of ( N + L ) × L V andermonde matrix vs. L 9 5 Numerical examples This section provide s some n umerical examples to illustrate the p erf o rmance of VFDM with the prop osed p o wer allo cation. Inspired b y 802.11a [7 ], we let N = 6 4 , L = 16. Fig. 3 shows the av erage rate of the secondary user as a function of SNR P 1 = P 2 in dB. W e let σ 11 = σ 22 = 1 and v ary σ 12 = 1 . 0 , 0 . 1 , 0 . 01 , 0 . 0 for the link h (12) . Notice σ 12 = 0 corresp onds to a sp ecial case of no in terference. W e compare the VFDM p erformance with equal p ow er allo cation S 2 = P I L and with the waterfilling p ow er allo cation enhanced b y a greedy searc h. W e observ e a significant gain b y our w aterfilling a pproac h and this gain b ecomes ev en significant as the in terference decreases. This example clearly sho ws that the appro priate design of the secondary tr a nsmitter’s input cov ariance is essen tial fo r VFDM. Although not plotted here, the optimization of the pri- mary user’s input cov ariance has a negligible impact on the rates of tw o users. Finally , it can b e shown t hat the secondary user’s rate b ecomes b o unded as P → ∞ f o r an y σ 12 > 0 indep enden tly of the input co v ariance. 0 10 20 30 40 50 0 0.5 1 1.5 2 2.5 SNR [dB] Rate 2 [bps/Hz] waterfilling+greedy σ 12 = 0 equal power N=64 L=16 σ 12 = 0.01 σ 12 = 0.1 σ 12 = 1 Figure 3: Rate of user 2 vs. SNR Next w e consider the scenario where the system imp oses a target rate R ⋆ 1 to the primary user and the primary transmitter minimizes its p o w er suc h that R ⋆ 1 is ac hiev ed. The system sets the transmit p ow er to its maxim um P 1 if the rate is infeasible. Fig. 4 sho ws t he achie v able rates of b oth users as a function of the target rate R ⋆ 1 in bps/Hz with P 1 = P 2 = 10 dB. Again w e observ e a significan t gain due to the appropriate design of the secondary input cov ariance. W e wish to conclude this section with a simple n umerical example inspired b y the IEEE 80 2.11a setting [7], show ing that VFDM with the appropriate input cov ariance design enables t he secondary user to ac hiev e a consider- able rate while guaranteeing the primary user to achie v e its target rate o v er 10 0.5 1 1.5 2 2.5 3 0 0.5 1 1.5 2 2.5 3 Target rate R 1 * [bps/Hz] R 1 SNR=10dB SNR=5dB N=64 L=16 SNR=15dB R 2 with waterfilling R 2 with equal power R 2 R 1 , R 2 [bps/Hz] Figure 4: R 1 , R 2 vs. a target rate R ⋆ 1 in terference-free c hannels. F or example, for the target rate of R 1 = 2 . 7 , 1 . 8 [bps/Hz] that yields the t wo highest rates of 54 , 36 [Mbps] o ver a frequency band of 20 MHz, the secondary user can ac hiev es 6.06, 8.44 [Mbps] resp ec- tiv ely with op erat ing SNR of 10 dB. 6 Akno wl e dgemen ts This w or k w as partially supp orted by Alcatel-Lucen t. References [1] A. Carleial. Interference c hannels. IEEE T r ans. on Inform. The ory , 24:6 0–70 , 1 978. [2] H. Sato. Two-user communication c hannels. Information The ory, IEEE T r ansactions on , 23:2 95–30 4, 1977 . [3] N. Devroy e, P . Mitran, and V. T ar okh. Achiev able rates in cognitive ra dio c hannels. IEEE T r ans. on In form. The ory , 52(5):1 813–1 827, 2006. [4] A. Jovicic and P . Viswanath. Co gnitive radio : An information-theoretic per sp e ctive. cs/0604 107 , April 200 6. [5] I. Mar ic, RD Y a tes, and G. Kra mer. Capacity of In ter ference Cha nnels With Partial T ra nsmitter Coo pe r ation. Information The ory, IEEE T r ansactions on , 53(10):353 6 – 3548, 200 7. [6] I. Mar ic, A. Goldsmith, G. Kr amer, and S. Shamai. On the ca pacity of interference channels with partially-cog nitive transmitter. In ISIT’2007 , 200 7. [7] Ansi/ieee standard 802.11. 1999 Edition (2003), http://standar ds.ie e e.o r g/getie e e802/downlo ad/802.11-1999.p df , 1999. [8] G.H. Golub and C.F. V an Loan. Matrix Computations . Johns Hopkins Universit y Press, 199 6 . 11 [9] A. Scag lione, GB Giannak is, and S. Barbaros s a. Lagrang e /V ander monde MUI elimi- nating user co des forqua si-synchronous CDMA in unknown multipath. IEEE T r ans. on Signal Pr o c ess. , 48(7):2057 –2073 , 200 0. [10] I. Sason. On a chiev a ble r ate regions for the Gaussian interference channel. Informa- tion The ory, IEEE T r ansactions on , 50(6):13 45–13 56, 2 004. [11] R. E tkin, D. Tse, and H. W ang. Gaussian In ter ference Channel Capacity to Within One Bit. Arxiv pr eprint cs.IT/070204 5 , 2007. [12] M. Chiang. Geometric Prog ramming fo r Commu nication Systems . F oundations and T re nds in Communic ations and Information The ory , 2(1-2), July 20 0 5. [13] I. A. Ibr a gimov and O. Ze ito uni. On ro ots of r andom po lynomials. T r ans. A meric an Math. So c. 349, 2427-244 1 , 1997 . [14] L. Sampaio, M. Kobayashi, Ø. Ry an, and M. Debbah. V andermonde frequency div i- sion multiplexing. in pr ep ar ation , 2008 . [15] Ø. Ryan a nd M. Debbah. Random V andermonde matr ices-part I: F undamen tal re- sults. Submitte d to IEEE T r ans. on Information The ory , 2008. [16] Ø. Ry a n and M. Debbah. Random Vander mo nde matr ices-part II: Applications. Submitte d to IEEE T r ans. on Information The ory , 200 8 . 12

Original Paper

Loading high-quality paper...

Comments & Academic Discussion

Loading comments...

Leave a Comment