How Many Users should be Turned On in a Multi-Antenna Broadcast Channel?

This paper considers broadcast channels with L antennas at the base station and m single-antenna users, where each user has perfect channel knowledge and the base station obtains channel information through a finite rate feedback. The key observation…

Authors: Wei Dai, Youjian (Eugene) Liu, Brian Rider

How Many Users should be Turned On in a Multi-Antenna Broadcast Channel?
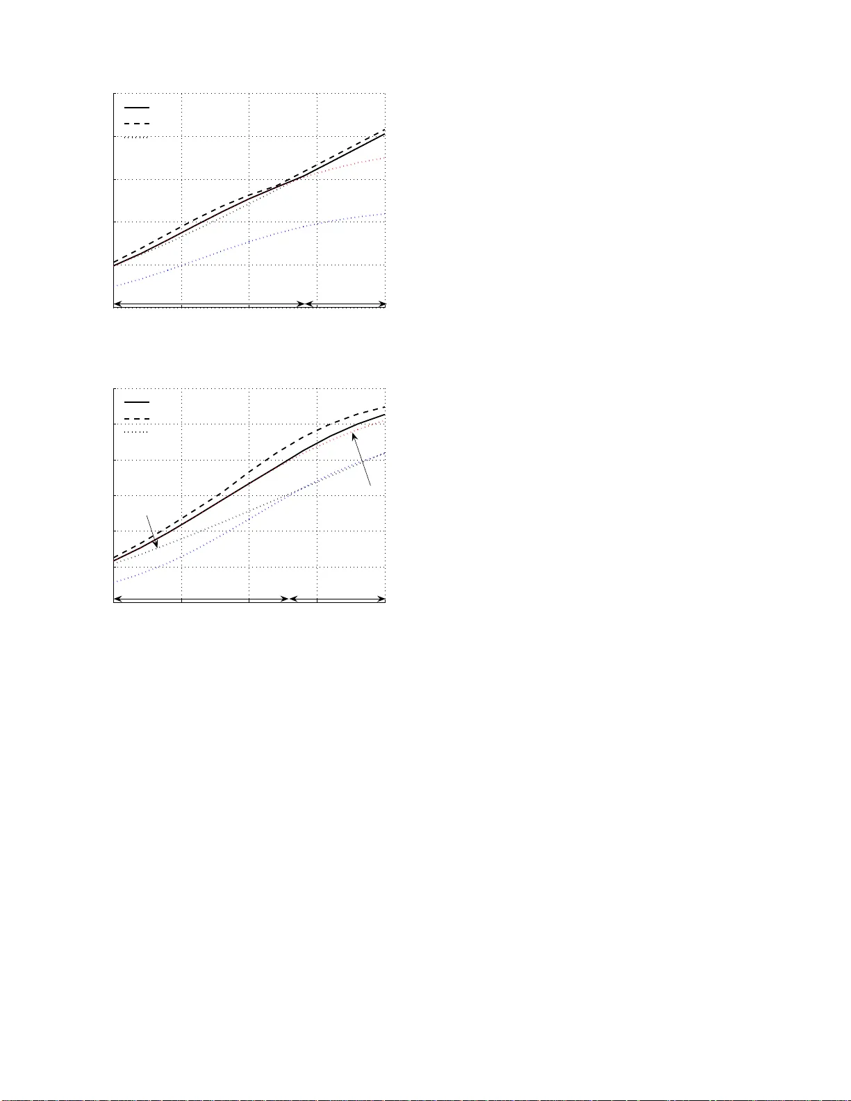
1 Ho w Man y Users should be T urned On in a Multi-Antenna Broadcast Channel? ∗ W ei Dai, Y oujian (Eugene) Liu and Brian Ride r Univ e rsity of Colorado at Bo ulder 425 UCB, Boulde r , CO, 8030 9, USA wei.dai@colorado. edu, eugeneliu@ieee.org, brian.rider@colorado.ed u Abstract — This paper considers broadcast channels with L antennas at the base station and m single-antenna users, where each user has perfect channel knowledge and the b ase station obtains channel informa tion th rough a finite rate feedback. Th e key observation of this paper is th at the optimal number of on- users (users turned on), say s , is a function of signal-to-noise ratio (SNR) and other system parameters. T owards this observation, we use asymptotic analysis to guide the design of feedback and transmission strategies. As L , m and the feedback rates app roach infinity linearly , we derive the asy mptotic optimal feedback strategy and a realistic criterion to decide which users sh ould be t urned on. Defi ne the corr espond ing asymptotic throughput per antenna as the spatial efficiency . It is a function of the number of on-users s , and theref ore, s should be appropriately ch osen. Based o n th e above asymptotic results, we also d ev elop a scheme fo r a system wit h finite many anten nas and users. Compared with other works where s is presumed constant, our scheme achi ev es a significant gain b y choosing the appropriate s . Furthermore, our analysis and scheme i s valid for heterogeneous systems where different users may ha ve different p ath loss coefficients and feedback rates. Index T erms — broadca st chann el, fin ite rate feedback, spatial efficiency I . I N T R O D U C T I O N It is well known that multiple antennas can impr ove the spectral efficiency . This paper considers broadcast channels with L antennas at the base station and m single-anten na users. T o ac hieve the f ull ben efit, perfect cha nnel state info rmation (CSI) is required at both rece i ver and transmitter . Perfec t CSI at the receiver can be obta ined by estimation fr om the received signal. Howe ver , if CSI at the transmitter (CSIT) is o btained from feedb ack, perfect CSIT req uires an in finite feedb ack rate. As this is not feasible in practice, it is importan t to analyze the ef fect of finite r ate fe edback and d esign efficient stra tegy accordin gly . The feedback mo dels f or broadcast channels are describ ed as follows. T o save feedback rate on power control, we assum e a power on/off strategy whe re each user is eith er turned on with a constant power or turned of f , and that the number of on- users (the users turned on) is a co nstant, say s , indep endent o f the ch annel realization. For any given chan nel r ealization, the users q uantize their chann el states into finite bits an d fe edback the correspond ing ind ices to the b ase station. After receiving the fe edback from user s, the base station decides which users ∗ This work is supported by NSF Grant DMS-0505680 and Thomson Inc. should be turned on and then fo rms b eamform ing vectors fo r transmission. Broadcast channels with feed back h av e bee n studied in [1], [2]. Ideally , if th e base station has the perfect C SI, zero- forcing transmission avoids interference am ong users. Howe ver, with only finite rate feedb ack on CSI, the base station does not know the p erfect chann el state inf ormation and therefore in- terference from oth er u sers is inevitable. The interferen ce g ets so stro ng at high signal- to-noise ratio (SNR) region s that the system throu ghput is upp er b ounde d b y a c onstant ev en w hen SNR approach infinity . This phenomenon is called interference dominatio n and was rep orted on in [ 1], [2]. The analysis is based on the assump tion that th e numb er o f o n-users s always equals to th e nu mber of antennas at the b ase station L ( L ≤ m is ty pically assumed ). T o limit th e inter ference to a desire d lev e l, Sharif and Hassibi let m gr ow exponentially with L such that there are L near orthogon al users with high probability [ 1]. In both scenarios, a ho mogene ous system is assumed where all the users shar e the same path loss coefficient a nd feed back resource. Different fro m the above ap proache s, this pa per studies h et- erogen eous broadcast systems, where d ifferent users m ay have different path loss coeffi cients a nd feedback r ates. Further- more, different from [1 ], we foc us on systems w ith a r elativ e ly small nu mber of users. No te that a coope rativ e co mmunicatio n network can often be viewed as a comp osition of mu lti-access and bro adcast sub-systems with a small number of users. Research on bro adcast systems of small size provides insights into coope rativ e commu nications. For such systems, we solve th e interference d omination problem by choosing the app ropriate nu mber of o n-users s . The reason that r andom beams con struction in [1] fails in ou r small size systems is ela borated in Th eorem 2. Our solution is based on the asympto tic analysis wh ere L, m, s and the feedbac k rates appro ach infinity linearly with constant ra tios among them . Th is typ e of asym ptotics is applied to systems of small size. The main asympto tic results are: • It is asymp totically optimal to quantize the channel direc - tions o nly and igno re the ch annel mag nitude info rmation. The asympto tically optimal feed back fu nction and code- book are derived accord ingly . • A realistic on /off criterion is proposed to decide which users should be turn ed o n. • Th e cor respond ing throughp ut per anten na conver ges to a 2 constant, d efined as the sp atial efficiency . It is a fun ction of the normalized number of on-users ¯ s = s L . Fur ther , there e x ists a uniqu e ¯ s ∈ ( 0 , 1 ) to maximize the the spatial efficiency . W e develop a scheme to ch oose the ap propria te s fo r systems with finite L and m . Simulations show that the gain achieved by choosing s is sign ificant compared with the strategies wh ere s ≡ L . In addition, o ur sch eme has the following advantages. • It is valid for he terogeneo us systems. • Th e set o f on-users is independ ent of the channel real- ization. As a result, compu tation complexity is low since we do not have to perf orm a user selection com putation ev ery fadin g b lock. • Only on-u sers nee d to feedback CSI, which sav e s a large amount of feedb ack resource. This paper is organized as follows. The system model is in troduced in Section II. The n Section I II perf orms the asymptotic analy sis ob taining in sights into system de sign, and quantifies th e sp atial efficiency . Based on the asymptotic re- sults, a p ractical s cheme is d ev e loped in Section IV for systems with fin ite many antennas an d users. Fina lly , conclu sions are summarized in Sectio n V. I I . S Y S T E M M O D E L Consider a broadcast channel with L antenn as at the base station and m single-anten na users. Assume that the b ase station employs zero forcing transmitter . Let γ i ∈ R \ R − ( 1 ≤ i ≤ m ) b e the path loss coefficient for u ser i . Then the signal mo del for user i is Y i = √ γ i h † i   m X j =1 q j X j   + W i , where Y i ∈ C is the received sig nal for user i , h i ∈ C L × 1 is the channel state vector for user , q j ∈ C L × 1 is the zero-forcing beamfor ming vecto r for user j , X j ∈ C is the source signal for the user j an d W i ∈ C is the co mplex Gaussian noise with zero mean and u nit variance C N (0 , 1) . Here, we assum e that q † j q j = 1 an d the Rayleig h block fadin g channel mo del: the en tries of h i are indep endent and iden tically distributed (i.i.d.) C N (0 , 1) . Wit hout loss of generality , we assume that L ≤ m ; if L > m , ad ding L − m u sers with γ i = 0 yields an equiv a lent system with L ′ = m . For the ab ove broa dcast system, it is natur al to assume a total power c onstraint P m i =1 E h | X i | 2 i ≤ ρ . Fur ther, for implementatio n simp licity , we assum e a power o n/off stra tegy with a co nstant n umber of on- users as follows. A1) Power on/off strategy: a source X i is either turned on with a constant power P on or tur ned off. It is motiv ated by the fact th at this strategy is near optimal for single u ser MIMO system [3 ]. A2) A constant n umber of on- users: we assume th at th e number of on-users s ( 1 ≤ s ≤ m ) is a constant indepen dent of the specific channel realizations. With this assumption, P on = ρ s . H ere, s is a fu nction of ρ , γ i and feed back ra te. Th is assum ption is different from the one in [1], [2], where s = L always ( L ≤ m is assumed there) . The finite r ate feed back m odel is then de scribed as fo llows. Assume that bo th base station an d user i knows γ i 1 but only user i k nows the chann el state r ealization h i perfectly . For given chann el realizations h 1 · · · h m , user i quantizes his channel h i into R i bits and the n feeds the co rrespond ing index to the b ase station. Formally , let B i = n ˆ h ∈ C L × 1 o with |B i | = 2 R i be a cha nnel state c odeboo k fo r u ser i . Then the quantization function is given b y q : C L × 1 → B i h i 7→ ˆ h i . In Section III-A and III- B, we will show h ow to design q and B respectively . After re ceiving feedbac k inform ation from u sers, the base station decid es which s users should be turne d on an d for ms zero-fo rcing beamforming vectors for them. Let A on be the set of s on-users. The zer o-forc ing beam formin g vector s q i ’ s i ∈ A on is calculated as follows. Let P ⊥ i be the plane generated by n ˆ h j : j ∈ A on \ { i } o . Let P i be the ortho gonal com plement of P ⊥ i and t be the dimensio ns of P i . Define T i ∈ C L × t the matrix who se co lumns are orth onorm al and span the plane P . Then q i is the unitary pr o jection of ˆ h i on T i q i := T i T † i ˆ h i    T i T † i ˆ h i    . (1) Here, if s = 1 and A on = { i } , T i is a L × L un itary matrix and q i = ˆ h i /    ˆ h i    . I I I . A S Y M P T OT I C A N A L Y S I S In order to obtain insights into system design, this section perfor ms asymptotic ana lysis by letting L, m, R i ′ s → ∞ linearly . The quantization functio n q and asymptotically op- timal codebook B i are d erived in Section III -A an d I II-B respectively . Then Section III-C develops a r ealistic on /off criterion to decid e wh ich users shou ld be turn ed o n. Finally Section III-D compu tes the correspon ding spatial efficiency . A. Design of Qua ntization Fun ction Generally speak ing, full inform ation of h i contains the direction inform ation v i := h i / k h i k and the mag nitude informa tion k h i k . In our Rayleigh fading channel m odel, it is well known that v i and k h i k are indepen dent. Intuitively , joint quantizatio n o f v i and k h i k is pre ferred. Interestingly , The orem 1 imp lies that there is no n eed to quantize the ch annel magn itudes. Ind eed, as L, m → ∞ linearly , all u sers’ chann el mag nitudes concen trate on a single value with pro bability one. Theor em 1: For ∀ ǫ > 0 , as L , m → ∞ with m L → ¯ m ∈ R + , Pr  max 1 ≤ i ≤ m 1 L k h i k 2 ≥ 1 + ǫ  → 0 , 1 There are many ways in which the base stati on obtain s γ i . A simple exa mple could be that the base station measures the feedback signal strength. 3 and Pr  min 1 ≤ i ≤ m 1 L k h i k 2 ≤ 1 − ǫ  → 0 . The proof of Theorem 1 is omitted due to the space limitation. An impor tant fact behind the proof is that wh ether the users’ channel magn itudes concen trate o r not depends on the r elationship b etween L and m : this concen tration happ ens in our asymp totic region where L an d m a re of the same or der . T o fully und erstand Theo rem 1, it is important to realize that the Law of Large Num bers doe s n ot imply that all users’ channel m agnitud es will con centrate. Accord ing to th e Law of Large Numb ers, 1 L k h i k → 1 almost surely for any given i . Howev er, if m approaches infinity exponen tially with L , there are certain nu mber o f users whose chan nel mag nitudes are larger than oth ers’, and th erefore it may be still b eneficial to q uantize and f eedback chan nel mag nitude infor mation. This pheno menon is illustrated by the following examp le. Example 1: (A case where ma gnitude info rmation is ben e- ficial) Consider a broad cast channe l with γ 1 = · · · = γ m = 1 . As L, m → ∞ with log ( m ) /L → ¯ m ′ ∈ R + , there exists an ǫ > 0 , δ 1 > 0 a nd δ 2 > 0 su ch that 1 L log      i : 1 L k h i k 2 > 1 + ǫ 2      → δ 1 , and 1 L log      i : 1 L k h i k 2 < 1 − ǫ 2      → δ 2 with pr obability one. Note that the re are a set of user s whose channel magnitudes are ǫ -larger than another set of users. It may be worth to let the b ase station kn ow which users have stronger chann els. Theorem 1 implies th at it is su fficient to qu antize the ch an- nel directio n informatio n only and omit the ch annel magnitu de informa tion. For this quan tization, the codeboo k is gi ven by B i =  p ∈ C L × 1 : k p k = 1  with |B i | = 2 R i . W e u se the following qu antization fu nction q : C L × 1 → B i h i 7→ p i = arg max p ∈B i    v † i p    , (2) where v i is the chan nel d irection vector . B. Asymptotically Optimal Codeb ooks Giv e n the quantization fu nction (2), the d istortion o f a giv en cod ebook B i is the average chorda l distance between the actua l and quan tized c hannel direction s correspon ding to the cod ebook B i and defined as D ( B i ) := 1 − E h i  max p ∈B i    v † i p    2  . The f ollowing lemma bou nds th e min imum achievable dis- tortion for a given cod ebook rate (u sually called the distortion rate fun ction). Lemma 1: Define D ∗ ( R ) , inf B : |B| ≤ 2 R D ( B ) . Then L − 1 L 2 − R L − 1 (1 + o (1)) ≤ D ∗ ( R ) ≤ Γ  1 L − 1  L − 1 2 − R L − 1 (1 + o (1)) , (3) and as L and R appr oach infinity with R L → ¯ r ∈ R + , lim ( L,R ) →∞ D ∗ ( R ) = 2 − ¯ r . The following Lemma shows that a r andom codeboo k is asymptotically optimal with pr obability one. Lemma 2: Let B rand be a random cod ebook where th e vectors p ∈ B rand ’ s a re independ ently gener ated f rom th e isotropic distribution. Let R = log |B rand | . As L , R → ∞ with R L → ¯ r ∈ R + , for ∀ ǫ > 0 , lim ( L,R ) →∞ Pr  B rand : D ( B rand ) > 2 − ¯ r + ǫ  = 0 . The proo fs of Lem ma 1 and 2 a re given in our pap er [4]. Due to the asymptotic o ptimality o f ran dom cod ebooks, we assume th at the cod ebook s B i ’ s i = 1 , · · · , m ar e indepe ndent and rand omly con structed throug hout this pape r . C. On/off Criterion After r eceiving feedback f rom users, the base station sho uld decide which s users should be turne d on . Ideally , for giv e n chann el realizations h 1 , · · · , h m , the optimal set of on users A ∗ on should b e chosen to maximize the instantaneo us mutua l info rmation. Note that the base station o nly knows the quantized version of channel states p 1 , · · · , p m . It can only estimate the instantane ous mutu al informa tion throu gh p i ’ s. The set A ∗ on is given b y A ∗ on = arg max A on : | A on | = s X i ∈ A on log (1+ γ i ρ s    p † i q i    2 1 + γ i ρ s P j ∈ A on \{ i }    p † i q j    2    . (4) Howe ver, finding A ∗ on requires exhaustive search, whose com- plexity expon entially incr eases with m . The random ortho normal beams con struction method in [1] does n ot work for our asymptotically large sy stem either . In [1], the base station r andom ly co nstructs L orthon ormal beams b 1 , · · · , b L , finds the users with high est sign al-to-no ise-plus- interferen ce ratios (SIN Rs) throug h feedb ack f rom users, and then transmits to these selected users. Th ere, the SINR c al- culation for user i is r elated to the qu antity max 1 ≤ k ≤ L    h † i b k    . Howe ver, Theor em 2 below shows that in the asym ptotic region where L and m are of the same or der, all users’ channels are near orthogonal to all of the L or thonor mal beam s b i ’ s. Therefo re, all users’ maximum SINRs (maxim um over L given orthonor mal b eams) approa ch zero unifo rmly with probab ility one. The method in [ 1] fails in o ur asymptotically large system. Theor em 2: Gi ven ∀ ǫ > 0 and a ny L orthonorm al beams b k ∈ C L × 1 1 ≤ k ≤ L , as L, m → ∞ linearly with m L → ¯ m ∈ R + , lim ( L,m ) →∞ Pr  max 1 ≤ i ≤ m, 1 ≤ k ≤ L 1 L    h † i b k    > ǫ  = 0 . The proo f is o mitted due to th e space limitation. In this paper , we take another app roach where the on/off decision is indepe ndent of channel d irections. W e start with 4 the thr oughp ut analy sis for a specific on-u ser i ∈ A on . N ote that Y i = √ γ i h † i q i X i +   √ γ i h † i X j ∈ A on \{ i } q j X j + W   . The signal p ower and interfer ence power for user i a re given by P sig ,i = ρ s γ i    h † i q i    2 (5) and P int ,i = ρ s γ i X j ∈ A on \{ i }    h † i q j    2 (6) respectively . No te that the influence of the users in A on \ { i } on user i only occu rs throu gh their directio ns q j ’ s j ∈ A on \ { i } . If the cho ice of on-u sers A on is indepen dent of their channe l directions, then h i and q j ’ s are in depend ent. In this case, P sig , i and P int ,i can be q uantified as L, m, s, R i ′ s → ∞ . The result is given in the f ollowing pro position. Pr oposition 1: Let | A on | = s and L, m, s, R i ′ s → ∞ with m L → ¯ m , s L → ¯ s and R i L → ¯ r i . Assume that v i ’ s i ∈ A on are indepen dent. The n fo r ∀ i ∈ A on , P sig , i → ρ ¯ s γ i  1 − 2 − ¯ r i  (1 − ¯ s ) , P int ,i → ργ i 2 − ¯ r i , and therefo re I i := lo g  1 + P sig ,i 1 + P int ,i  → log  1 + η i 1 − ¯ s ¯ s  , with pro bability on e, where η i := ργ i (1 − 2 − ¯ r i ) 1 + ργ i 2 − ¯ r i . (7) Remark 1: This pro position may not be true if v j ’ s ( j ∈ A on \ { i } ) are not ind ependen t of v i . Indeed , for examp le, if other users ar e c hosen su ch that their channel directions are as orthog onal to user i as possible, the interf erence to user i is less th an th at ach iev e d by our ch oice w here cha nnel dir ections are not taken in to co nsideration. This claim is verified by the fact that ∃ ǫ > 0 such that min A on \{ i } X j ∈ A on \{ i }    h † i q j    2 < X j ∈ A on , rand \{ i }    h † i q j    2 − ǫ with probability on e as L, m, s → ∞ linearly , where A on , rand \ { i } d enotes a rand om choice o f A on \ { i } . Remark 2: Propo sition 1 shows that the user i ’ s asympto tic throug hput is a c onstant independen t o f the sp ecific ch annel realization h i with pro bability on e. Based on Propo sition 1, we select the set of s on- users A on such that | A on | = s an d A on = { i : η i ≥ η j for ∀ j / ∈ A on } ; (8) if there are multiple candidates, we randomly choose one of them. I t is the asymp totically optimal on/o ff selection if the o n/off decision is in depend ent of the channel dire ction informa tion. T he difference betwee n the throu ghput ach iev ed by o ptimal on /off criter ion in (8) and the propo sed o ne in (4) remains unk nown. D. The Spatia l Efficiency W e define the spatial efficiency (bits/sec/Hz/antenn a) as ¯ I ( ¯ s ) := lim ( L,m,s,R i ′ s) →∞ ¯ I ( L ) , where L, m, s, R i ′ s → ∞ in the same way as befor e, ¯ I ( L ) is the av erage thro ughpu t per an tenna giv en by ¯ I ( L ) := E B i ′ s , h i ′ s " 1 L X i ∈ A on log  1 + P sig ,i 1 + P int ,i  # , and A on , P sig , i and P int ,i are defined in (8), (5) an d (6) respectively . W e shall qu antify ¯ I ( ¯ s ) for a given ¯ s . Define the emp irical distribution of η i as µ ( m ) η ( η ≤ x ) := 1 m |{ η i : η i ≤ x }| , and a ssume that µ η := lim µ ( m ) η exists weakly as L, m, R i ′ s → ∞ . In orde r to cop e with µ η ’ s with mass p oints, define Z ∞ x + f ( η ) dµ η := lim ∆ x ↓ 0 Z ∞ x +∆ x f ( η ) dµ η for ∀ x ∈ R , where f is a integrable function with respect to µ η . Then ¯ I ( ¯ s ) is compu ted in the following theorem. Theor em 3: Let L , m, s, R i ′ s → ∞ with m L → ¯ m , s L → ¯ s and R i L → ¯ r i . Define η ¯ s := s up  η : ¯ m Z ∞ η dµ η > ¯ s  . Then as ¯ s / ∈ (0 , 1) , ¯ I ( ¯ s ) = 0 . If ¯ s ∈ (0 , 1) , ¯ I ( ¯ s ) = ¯ m Z ∞ η + ¯ s log  1 + η 1 − ¯ s ¯ s  dµ η + ¯ s − ¯ m Z ∞ η + ¯ s dµ η ! log  1 + η ¯ s 1 − ¯ s ¯ s  . (9) W e are also interested in findin g the optimal ¯ s to maximize ¯ I ( ¯ s ) . Unfortunately , ¯ I ( ¯ s ) is n ot a co ncave function of ¯ s in general. Furthermor e, the measure µ η may contain mass points. The optimization o f ¯ I ( ¯ s ) is therefore a n on-co n vex and no n-smooth o ptimization pro blem. Th e following theor em provides a cr iterion to find the optimal ¯ I ( ¯ s ) . Theor em 4: ¯ I ( ¯ s ) is maximized at a un ique ¯ s ∗ ∈ (0 , 1) such that 0 ∈  lim inf ∆ ¯ s → 0 ¯ I ( ¯ s ∗ ) − ¯ I ( ¯ s ∗ − ∆ ¯ s ) ∆ ¯ s , lim sup ∆ ¯ s → 0 ¯ I ( ¯ s ∗ ) − ¯ I ( ¯ s ∗ − ∆ ¯ s ) ∆ ¯ s  . (10) The proof is omitted du e to the space limitation. Th e ¯ I ( ¯ s ∗ ) is th e max imum achievable spatial efficiency fo r th e pr oposed power on/off strategy . 5 I V . F I N I T E D I M E N S I O N A L S Y S T E M D E S I G N Based on the asy mptotic r esults in Theorem 3-4, we now propo se a sche me for systems with finite L and m . A. Thr ough put Estimation fo r F inite Dimen sional Systems While asym ptotic analysis provide many insights, we do not apply a symptotic results direc tly for a fin ite dimensional system. The reason is that in asympto tic an alysis 1 L → 0 while 1 L cannot be ig nored fo r a system with small L . In the f ollowing, we first calcu late the main order ter m of the throug hput for user i ∈ A on and then explain the difference between asympto tic analysis and finite dimensional system analysis explicitly . T o obtain the main ord er term , proceed as follows. Note that the thro ughp ut for user i ∈ A on ( | A on | = s ) is I i = E  log  1 + P sig ,i 1 + P int ,i  = lo g  1 + E [ P sig ,i ] 1 + E [ P int ,i ]  + E  log  1 + P sig , i + P int ,i 1 + E [ P sig , i ] + E [ P int ,i ]  − E  log  1 + P int ,i 1 + E [ P int ,i ]  , where P sig ,i and P int ,i are defined in ( 5) a nd (6). The fo l- lowing theorem calculates E [ P sig ,i ] an d E [ P int ,i ] for finite dimensiona l systems. Theor em 5: Let B i ’ s be randomly constructed a nd D i = E B i [ D ( B i )] for all 1 ≤ i ≤ m . For rand omly chosen A on and i ∈ A on , if 1 ≤ s ≤ L E [ P sig , i ] = γ i ρ L s  (1 − D i )  1 − s − 1 L  + D i s − 1 L ( L − 1)  , (11) and E [ P int ,i ] = γ i ρ L s s − 1 L − 1 D i ; (12) if s > L , E [ P sig ,i ] = 0 . The calculation of E [ P sig ,i ] and E [ P int ,i ] relies o n q uantifi- cation of D i . In g eneral, it is d ifficult to comp ute D i precisely . Note that the up per bound in (3) is derived by ev alu ating the av erage perform ance of random codebooks (see [4] for details). W e u se its main or der ter m to estimate D i : D i ≈ Γ  1 L − 1  L − 1 2 − R i L − 1 . Define I main ,i := log  1 + E [ P sig ,i ] 1 + E [ P int ,i ]  . (13) It can be verified fro m Pr oposition 1 that I i = I main ,i + o (1) and therefo re I main ,i is the main o rder term of I i . Then the difference between asymptotic analy sis an d finite dimensiona l systems analysis is clear . In the limit, s − 1 L → ¯ s and R i L − 1 → ¯ r i . Howe ver, for finite dimensiona l systems, simply substituting these asymp totic values into (11-1 3) di- rectly intro duces unplea sant err or, especially when L is small. Therefo re, to estimate I i ( ∀ i ∈ A on ) fo r fin ite dimensional systems, we have to r ely on (11-13). B. A Scheme for F inite Dime nsional Systems Giv e n system p arameters L , m , γ i ’ s and R i ’ s, a p ractical scheme needs to ca lculate the approp riate s and A on . This process is describe d in the following. For a giv en s , the set of A on is decid ed as follows: we first c alculate I main , 1 , · · · , I main ,m accordin g to (1 3) and then choose the s users with the largest I main ,i ’ s to tu rn on; if there exists any am biguity , ran dom selection is emp loyed to resolve it. For example, if I main , 1 > I main , 2 > · · · > I main ,m , the user 1 , 2 , · · · , s are turned on. If I main , 1 = I main , 2 = · · · = I main ,m , the s on- users are rand omly selected fro m all the m u sers. No te a gain, A on is independ ent of the c hannel realization. The appro priate s is chosen as follows. L et I main ( s ) = max A on : | A on | = s X i ∈ A on I main ,i . Here, note that I main ,i is a fu nction of s . For a g i ven broadcast system, we choo se the number of on -users to be s ∗ main = arg max 1 ≤ s ≤ L I main ( s ) . Although the above pro cedure inv o lves exhaustive search, the co rrespon ding comp lexity is actually low . First, the calcu - lations are indepe ndent of instan taneous chann el realizations. Only system para meters L , m , γ i ’ s and R i ’ s are need ed. Provided that γ i ’ s change slo wly , the base station does not need to recalculate s ∗ main and A on frequen tly . Seco nd, R i = R j in most systems. For such systems an d a gi ven s , the s on-users are just sim ply the users with the largest γ i ’ s. After calculatin g s ∗ main and A on , the b ase station broad cast A on to all the u sers. For each fadin g b lock, the sy stem works as follows. • At the b eginning of each fading block, th e b ase station broadc asts a single channe l trainin g sequenc e to help all the users estimate th eir channel states h i ’ s. • After estimating their h i ’ s, the on-users quantize h i ’ s into p i ’ s accordin g to ( 2) and feed the correspo nding indices to the base station. • Th e ba se s tation then calcu lates the tran smit beamforming vectors q i ’ s accordin g to (1), a nd th en transmits q i X i ’ s. Remark 3 (F airness Scheduling ): For systems with γ i 6 = γ j or R i 6 = R j , there may be so me u sers al ways tu rned off according to the above scheme. Fairness scheduling is therefor e needed to ensur e fairness of th e system. There are many ways to perform fairn ess sched uling. Since fairness is not the primary concern of this paper , we only gi ve an example as f ollows. Gi ven m users, th e base station calculates the correspo nding s ∗ main and A on , an d then turn s on the users in A on for the first fading block. At the seco nd fading block, the base station co nsiders th e users who h av e no t been tu rned on { 1 , · · · , m } \ A on . It calcu lates th e co rrespond ing s ∗ main and A on , an d then turn s o n th e users in th e new A on . Pro ceed this process until all users have b een tu rned o n once. Then start a new schedu ling cycle. 6 0 5 10 15 20 0 0.5 1 1.5 2 2.5 SNR (dB) Normalized Rate (Bits/Channel Use/Antenna) L=4, m=4, Rfb=6 Bits/Channel Realization Simulation : I(s * main ) Theor. Cal. : I main (s * main ) Simulation : I(s) with fix s s=1 s=2 s=4 s * main =2 s * main =1 (a) R fb = 6 Bits/Cha nnel Realizati on 0 5 10 15 20 0 0.5 1 1.5 2 2.5 3 SNR (dB) Normalized Rate (Bits/Channel Use/Antenna) L=4, m=4, Rfb=12 Bits/Channel Realization Simulation : I(s * main ) Theor. Cal. : I main (s * main ) Simulation : I(s) with fix s s=2 s=1 s=4 s * main =2 s * main =3 (b) R fb = 12 Bits/Chann el Realiz ation Fig. 1. T otal Throughput for Zero Forcing Beamforming C. Simulation Results Fig. 1 giv e s th e simulatio n r esults for th e pr oposed scheme using zero-forcin g. In th e simulations, L = m = 4 . For simplicity , we assume that γ 1 = γ 2 = · · · = γ m = 1 and R 1 = R 2 = · · · = R m = R fb . W ith these assum ptions, the s on- users can be random ly chosen from all the m users. W ithou t loss of gen erality , we assume that A on ≡ { 1 , · · · , s } . Let I ( s ) = P i ∈ A on I i . In Fig. 1, the solid line s a re the simu - lations of I ( s ∗ main ) while the dashed lines are the theoretical calculation of I main ( s ∗ main ) . The simulation resu lts show th at the optimal s is a fu nction of ρ and R fb . For examp le, s = 1 is optim al when ρ ∈ [15 , 20] d B and R fb = 6 bits, w hile s = 3 is optim al for the same SNR r egion as R fb increases to 12 bits. T he reason beh ind it is that the interference intro duced by finite rate qu antization is la rger wh en R fb is smaller: wh en R fb is small, the b ase station need s to turn off so me users to av oid stron g interfere nce as SNR g ets very la rge. W e also c ompare our scheme with the schemes where the number o f on -users is a p resumed constan t (ind epende nt o f ρ and R fb ). The throughp ut of schemes with p resumed s is pr esented in dotted line s. Fro m the simulation results, the throug hput ac hieved by choosing appropriate s is always b etter than or eq uals to that with p resumed s . Spec ifically , co mpared to the sch eme in [2] wh ere s = L = 4 always, ou r scheme achieves a sign ificant gain at h igh SNR by turning off so me users. V . C O N C L U S I O N This p aper considers h eterogen eous b roadcast systems with a relatively small numb er o f u sers. Asympto tic analy sis wh ere L, m, s, R i → ∞ linearly is em ployed to get insight into system design. Bas ed on the asymptotic analysis, we deri ve the asymptotically optimal feedb ack strategy , propo se a r ealistic on/off criterio n, and quan tify the spacial efficiency . The ke y observation is that the nu mber of on -users sho uld b e ap pro- priately chosen as a functio n of system parameter s. Finally , a practical scheme is developed for finite dimension al systems. Simulations show that this scheme achieves a significan t gain compare d with previously studied schemes with pr esumed number of on -users. R E F E R E N C E S [1] M. Sharif and B. Hassibi, “On the capacit y of mimo broadcast channel s with partial side information , ” Information Theory , IEEE T ransactions on , vol. 51, no. 2, pp. 506–522, 2005. [2] N. Jindal, “MIMO broadcast channels with finite rate feedback, ” IEEE T rans. Info. Theory , submitted. [3] W . Dai, Y . Liu, V . K. N. Lau, and B. Rider , “On the information rate of MIMO systems with finite rate channel state feedback using beamforming and po wer on/off strate gy , ” IEEE T rans. Info. Theory , submitted. [Online]. A v ailable: http://arxi v .org/PS_ca che/cs/pdf/0603/0603040.pdf [4] W . Da i, Y . Liu, and B. Rider , “Quanti zatio n bounds on Grassmann manifolds and applic ations to MIMO systems, ” IEEE T rans. Info. Theory , Submit ted. [Onli ne]. A v ailable: http:/ /arxi v .org/PS_cach e/cs/pdf/0603/0603039.pdf

Original Paper

Loading high-quality paper...

Comments & Academic Discussion

Loading comments...

Leave a Comment