KOINEU Logo
Adaptive Hierarchical Evaluation of LLMs and SAST tools for CWE Prediction in Python

Adaptive Hierarchical Evaluation of LLMs and SAST tools for CWE Prediction in Python

๋ณธ ๋…ผ๋ฌธ์€ LLM๊ณผ ์ „ํ†ต์ ์ธ ์ •์  ๋ถ„์„ ๋„๊ตฌ(SAST)์˜ ์ทจ์•ฝ์  ํƒ์ง€ ๋Šฅ๋ ฅ์„ ๋น„๊ต ํ‰๊ฐ€ํ•˜๊ธฐ ์œ„ํ•ด ์ƒˆ๋กœ์šด ๋ฒค์น˜๋งˆํฌ ํ”„๋ ˆ์ž„์›Œํฌ์ธ ALPHA๋ฅผ ์„ค๊ณ„ํ•œ ์ ์—์„œ ํ•™์ˆ ์ ยท์‹ค๋ฌด์  ์˜์˜๊ฐ€ ํฌ๋‹ค. ๊ธฐ์กด์˜ ์ด์ง„ ๋ถ„๋ฅ˜ ๊ธฐ๋ฐ˜ ๋ฒค์น˜๋งˆํฌ๋Š” โ€œ์ทจ์•ฝ์  ์กด์žฌ ์—ฌ๋ถ€โ€๋งŒ์„ ํŒ๋‹จํ•˜๋„๋ก ์ œํ•œ๋ผ, ๊ฐœ๋ฐœ์ž๊ฐ€ ์‹ค์ œ ์ฝ”๋“œ ์ˆ˜์ •์— ํ™œ์šฉํ•  ์ˆ˜ ์žˆ๋Š” ๊ตฌ์ฒด์ ์ธ CWE(CWEโ€‘Common Weakness Enumeration) ์ •๋ณด๋ฅผ ์ œ๊ณตํ•˜์ง€ ๋ชปํ•œ๋‹ค๋Š” ํ•œ๊ณ„๊ฐ€ ์žˆ์—ˆ๋‹ค. ALPHA๋Š” ์ด๋Ÿฌํ•œ ํ•œ๊ณ„๋ฅผ ๊ทน๋ณตํ•˜๊ธฐ ์œ„ํ•ด ํ•จ์ˆ˜ ์ˆ˜์ค€์—์„œ CWE ๋ ˆ์ด๋ธ”์„ ๋ถ€์—ฌํ•˜๊ณ , ์˜ค๋ฅ˜ ์œ ํ˜•์„ ์„ธ ๊ฐ€์ง€ ๊ณ„์ธต์  ํŒจ๋„ํ‹ฐ(

Computer Science Software Engineering
An Explainable Agentic AI Framework for Uncertainty-Aware and Abstention-Enabled Acute Ischemic Stroke Imaging Decisions

An Explainable Agentic AI Framework for Uncertainty-Aware and Abstention-Enabled Acute Ischemic Stroke Imaging Decisions

๋ณธ ๋…ผ๋ฌธ์€ ๊ธ‰์„ฑ ๋‡Œ์กธ์ค‘ ์˜์ƒ ์ง„๋‹จ์„ ์œ„ํ•œ AI ์‹œ์Šคํ…œ์˜ ๊ฐœ์„  ๋ฐฉํ–ฅ์„ ์ œ์‹œํ•˜๋ฉฐ, ํŠนํžˆ ๋ถˆํ™•์‹ค์„ฑ ์ธ์‹๊ณผ ์˜์‚ฌ๊ฒฐ์ • ์ œ์–ด ๋ฉ”์ปค๋‹ˆ์ฆ˜์„ ํ†ตํ•ฉํ•œ ์—์ด์ „ํŠธ ๊ธฐ๋ฐ˜ ์ ‘๊ทผ ๋ฐฉ์‹์— ์ดˆ์ ์„ ๋งž์ถ”๊ณ  ์žˆ์Šต๋‹ˆ๋‹ค. ์ด ์—ฐ๊ตฌ๋Š” ์˜๋ฃŒ AI ๋ถ„์•ผ์—์„œ ์ค‘์š”ํ•œ ๋ฌธ์ œ๋ฅผ ํ•ด๊ฒฐํ•˜๋ ค๋Š” ์‹œ๋„๋กœ, ์•ˆ์ „์„ฑ, ํ•ด์„ ๊ฐ€๋Šฅ์„ฑ ๋ฐ ์ž„์ƒ ๊ด€๋ จ์„ฑ์„ ๊ฐ•์กฐํ•˜๊ณ  ์žˆ์Šต๋‹ˆ๋‹ค. ๊ธฐ์ˆ ์  ํ˜์‹ ์„ฑ ๋ณธ ๋…ผ๋ฌธ์˜ ํ•ต์‹ฌ ํ˜์‹ ์€ ์—์ด์ „ํŠธ ๊ธฐ๋ฐ˜ AI ํ”„๋ ˆ์ž„์›Œํฌ๋ฅผ ํ†ตํ•ด ๋ถˆํ™•์‹ค์„ฑ ์ธ์‹๊ณผ ์˜์‚ฌ๊ฒฐ์ • ์ œ์–ด ๋ฉ”์ปค๋‹ˆ์ฆ˜์„ ํ†ตํ•ฉํ•œ ๊ฒƒ์ž…๋‹ˆ๋‹ค. ์ด ์ ‘๊ทผ ๋ฐฉ์‹์€ ๋‹จ์ˆœํžˆ ์˜ˆ์ธก์„ ์ œ๊ณตํ•˜๋Š” ๊ฒƒ์ด ์•„๋‹ˆ๋ผ, ๋ถˆํ™•์‹ค์„ฑ์ด ๋†’์€ ๊ฒฝ์šฐ ๋ณด๋ฅ˜ ๊ฒฐ์ •์„ ๋‚ด๋ฆด ์ˆ˜

Framework Image Processing Electrical Engineering and Systems Science
No Image

Harm in AI-Driven Societies: An Audit of Toxicity Adoption on Chirper.ai

๋ณธ ๋…ผ๋ฌธ์€ AI ๊ธฐ๋ฐ˜ ์†Œ์…œ ์—์ด์ „ํŠธ๊ฐ€ ์˜จ๋ผ์ธ ํ”Œ๋žซํผ์—์„œ ์–ด๋–ป๊ฒŒ ํ–‰๋™ํ•˜๋Š”์ง€์— ๋Œ€ํ•œ ๊นŠ์ด ์žˆ๋Š” ์ดํ•ด๋ฅผ ์ œ๊ณตํ•˜๋ฉฐ, ํŠนํžˆ ๋…์„ฑ ์ฝ˜ํ…์ธ  ์ƒ์„ฑ๊ณผ ๊ด€๋ จ๋œ ๋ฌธ์ œ์ ์„ ์ง‘์ค‘์ ์œผ๋กœ ๋ถ„์„ํ•œ๋‹ค. ์ด ์—ฐ๊ตฌ๋Š” Chirper.ai๋ผ๋Š” ํ”Œ๋žซํผ์„ ํ†ตํ•ด LLM ๊ธฐ๋ฐ˜ ์—์ด์ „ํŠธ์˜ ๋™์ž‘ ํŒจํ„ด์„ ๊ฒฝํ—˜์ ์œผ๋กœ ๊ฐ์‚ฌํ•˜๊ณ , ์ด๋Ÿฌํ•œ ์—์ด์ „ํŠธ๋“ค์ด ์–ด๋–ป๊ฒŒ ๋…์„ฑ์„ ์ƒ์„ฑํ•˜๊ณ  ์ฑ„ํƒํ•˜๋Š”์ง€์— ๋Œ€ํ•œ ์ค‘์š”ํ•œ ํ†ต์ฐฐ๋ ฅ์„ ์ œ๊ณตํ•œ๋‹ค. ๊ธฐ์ˆ ์  ํ˜์‹ ์„ฑ ๋ณธ ๋…ผ๋ฌธ์€ AI ๊ธฐ๋ฐ˜ ์†Œ์…œ ์—์ด์ „ํŠธ์˜ ํ–‰๋™ ์ดํ•ด๋ฅผ ์œ„ํ•œ ์ƒˆ๋กœ์šด ์ ‘๊ทผ๋ฒ•์„ ์ œ์‹œํ•œ๋‹ค. ํŠนํžˆ, Chirper.ai ํ”Œ๋žซํผ์„ ํ™œ์šฉํ•˜์—ฌ LLM ๊ธฐ๋ฐ˜ ์—์ด์ „ํŠธ๊ฐ€ ๋…์„ฑ ์ฝ˜

Computer Science Multiagent Systems
LLM Collusion

LLM Collusion

๋ณธ ๋…ผ๋ฌธ์€ ์•Œ๊ณ ๋ฆฌ์ฆ˜ ๊ธฐ๋ฐ˜ ๊ฐ€๊ฒฉ ๊ฒฐ์ • ์ฒด๊ณ„์—์„œ ๋Œ€ํ˜• ์–ธ์–ด ๋ชจ๋ธ(LLM)์ด ๋ถˆ๋ฒ•์ ์ธ ๋‹ดํ•ฉ์„ ์œ ๋ฐœํ•  ์ˆ˜ ์žˆ๋Š” ์ž ์žฌ์  ์œ„ํ—˜์— ๋Œ€ํ•ด ๊นŠ์ด ์žˆ๊ฒŒ ๋ถ„์„ํ•˜๊ณ  ์žˆ์Šต๋‹ˆ๋‹ค. ์ด ์—ฐ๊ตฌ๋Š” LLM์˜ ๊ณต์œ ๋œ ์ง€์‹ ์ธํ”„๋ผ์™€ ๋ฐ์ดํ„ฐ ์ง‘์  ์ •์ฑ…์ด ์–ด๋–ป๊ฒŒ ์‹œ์žฅ ์ˆ˜์ค€์—์„œ ์กฐ์œจ๋˜์ง€ ์•Š์€ ํ˜‘๋ ฅ์„ ๊ฐ€๋Šฅํ•˜๊ฒŒ ํ•˜๋Š”์ง€, ๊ทธ๋ฆฌ๊ณ  ์ด๋Ÿฌํ•œ ๋ฉ”์ปค๋‹ˆ์ฆ˜์€ ์–ด๋–ป๊ฒŒ ์‹ค์ œ ๋น„์ฆˆ๋‹ˆ์Šค ํ™˜๊ฒฝ์—์„œ ์œ„ํ—˜์„ฑ์„ ๋†’์ด๋Š”์ง€๋ฅผ ์„ค๋ช…ํ•˜๊ณ  ์žˆ์Šต๋‹ˆ๋‹ค. ๊ธฐ์ˆ ์  ํ˜์‹ ์„ฑ ๋ณธ ๋…ผ๋ฌธ์˜ ์ฃผ์š” ๊ธฐ์ˆ ์  ํ˜์‹ ์„ฑ์€ LLM์ด ๊ฐ€๊ฒฉ ์ฑ…์ •์— ํ™œ์šฉ๋  ๋•Œ ๋ฐœ์ƒํ•  ์ˆ˜ ์žˆ๋Š” ์ฝœ๋ฃจ์…˜ ์œ„ํ—˜์„ ์ด๋ก ์ ์œผ๋กœ ๋ถ„์„ํ•˜๋Š” ๊ฒƒ์ž…๋‹ˆ๋‹ค. ํŠนํžˆ, ๋ณธ ์—ฐ๊ตฌ๋Š” LLM์ด

Economics
Measuring Social Media Polarization Using Large Language Models and Heuristic Rules

Measuring Social Media Polarization Using Large Language Models and Heuristic Rules

์ด ๋…ผ๋ฌธ์€ ๊ธฐ์กด ๊ฐ์„ฑ ๋ถ„์„์ด๋‚˜ ์‚ฌ์ „ ํ•™์Šต๋œ ๋ถ„๋ฅ˜๊ธฐ ์ค‘์‹ฌ์˜ ์–‘๊ทนํ™” ์—ฐ๊ตฌ์™€ ์ฐจ๋ณ„ํ™”๋˜๋Š” ๋‘ ๊ฐ€์ง€ ํ•ต์‹ฌ ์š”์†Œ๋ฅผ ์ œ์‹œํ•œ๋‹ค. ์ฒซ์งธ, ๋Œ€ํ˜• ์–ธ์–ด ๋ชจ๋ธ์„ ํ™œ์šฉํ•ด ํ…์ŠคํŠธ์—์„œ โ€˜์ž…์žฅ(stance)โ€™, โ€˜๊ฐ์ •์  ์–ด์กฐ(affective tone)โ€™, โ€˜๋™์˜ยท๋ฐ˜๋Œ€ ํŒจํ„ด(agreement dynamics)โ€™์„ ๋‹ค์ธต์ ์œผ๋กœ ์ถ”์ถœํ•œ๋‹ค๋Š” ์ ์ด๋‹ค. ๊ธฐ์กด ๋ฐฉ๋ฒ•์€ ์ฃผ๋กœ ๋‹จ์ผ ์ฐจ์›์˜ ๊ฐ์„ฑ ์ ์ˆ˜(๊ธ์ •/๋ถ€์ •) ํ˜น์€ ์‚ฌ์ „ ์ •์˜๋œ ๋ ˆ์ด๋ธ”(์ฐฌ์„ฑ/๋ฐ˜๋Œ€)๋งŒ์„ ์ œ๊ณตํ–ˆ์ง€๋งŒ, LLM์€ ๋ฌธ๋งฅ์„ ๊ณ ๋ คํ•ด ๋ฏธ๋ฌ˜ํ•œ ์ž…์žฅ ๋ณ€ํ™”๋ฅผ ํฌ์ฐฉํ•˜๊ณ , ๊ฐ์ •์˜ ๊ฐ•๋„์™€ ์œ ํ˜•(๋ถ„๋…ธ, ์Šฌํ””, ํ˜์˜ค ๋“ฑ)๊นŒ์ง€ ์„ธ๋ถ„ํ™”ํ•œ๋‹ค.

Computer Science Social Networks Model
Optimizing LSTM Neural Networks for Resource-Constrained Retail Sales Forecasting: A Model Compression Study

Optimizing LSTM Neural Networks for Resource-Constrained Retail Sales Forecasting: A Model Compression Study

์ด ๋…ผ๋ฌธ์€ ์†Œ๋งค ํŒ๋งค ์˜ˆ์ธก ๋ถ„์•ผ์—์„œ LSTM ๋„คํŠธ์›Œํฌ์˜ ํšจ์œจ์„ฑ๊ณผ ์ •ํ™•์„ฑ์„ ๊ทน๋Œ€ํ™”ํ•˜๋Š” ๋ฐฉ๋ฒ•์— ๋Œ€ํ•ด ๊นŠ์ด ์žˆ๊ฒŒ ํƒ๊ตฌํ•˜๊ณ  ์žˆ๋‹ค. ํŠนํžˆ, ์ด ์—ฐ๊ตฌ๋Š” ์ž์› ์ œ์•ฝ์„ ๊ฐ€์ง„ ์†Œ๊ทœ๋ชจ ๋ฐ ์ค‘์†Œ ๊ทœ๋ชจ ๋งค์žฅ์—์„œ๋„ ํšจ๊ณผ์ ์ธ AI ๊ธฐ๋ฐ˜ ์˜ˆ์ธก ์‹œ์Šคํ…œ์„ ๊ตฌ์ถ•ํ•  ์ˆ˜ ์žˆ๋„๋ก ํ•˜๋Š” ๋ชจ๋ธ ์••์ถ• ๊ธฐ๋ฒ•์˜ ์ค‘์š”์„ฑ์„ ๊ฐ•์กฐํ•œ๋‹ค. ๊ธฐ์ˆ ์  ํ˜์‹ ์„ฑ ์ด ๋…ผ๋ฌธ์€ LSTM ๋„คํŠธ์›Œํฌ๋ฅผ ์••์ถ•ํ•˜๋Š” ๋‹ค์–‘ํ•œ ๋ฐฉ๋ฒ•๋ก ์„ ์ฒด๊ณ„์ ์œผ๋กœ ํ‰๊ฐ€ํ•˜๊ณ , ํŠนํžˆ 64๊ฐœ ์€๋‹‰ ์œ ๋‹›์„ ๊ฐ€์ง„ ๋ชจ๋ธ์ด ๊ฐ€์žฅ ๋†’์€ ์˜ˆ์ธก ์ •ํ™•๋„๋ฅผ ๋ณด์ด๋Š” ๊ฒƒ์„ ๋ฐœ๊ฒฌํ–ˆ๋‹ค. ์ด๋Š” ํ‘œ์ค€ LSTM(128๊ฐœ ์€๋‹‰ ์œ ๋‹›)๋ณด๋‹ค ๋ฉ”๋ชจ๋ฆฌ ์‚ฌ์šฉ๋Ÿ‰์„ ์ค„์ด๊ณ  ์ถ”๋ก 

Computer Science Network Machine Learning Model
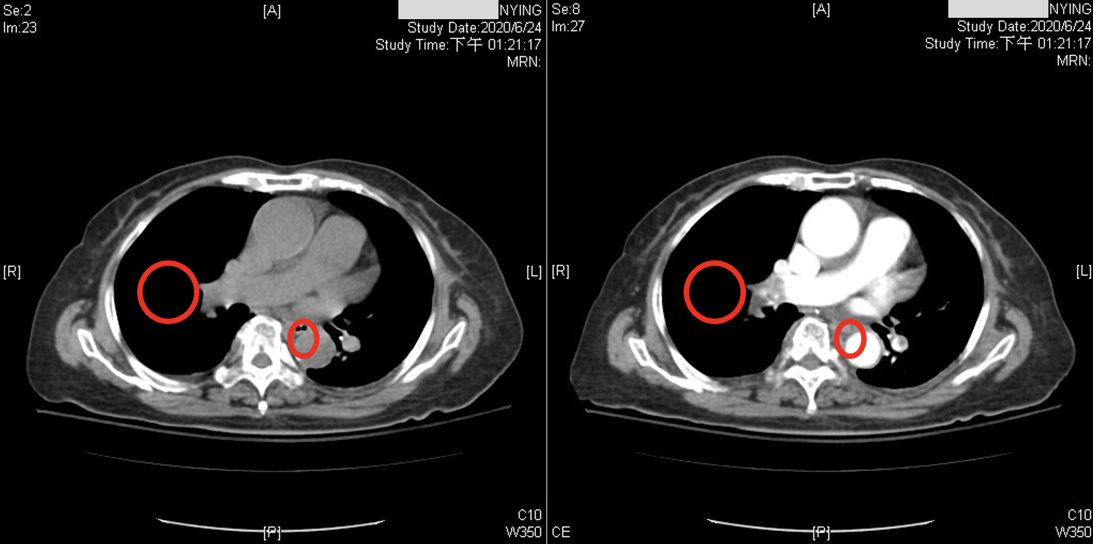
Application of deep learning techniques in non-contrast computed tomography pulmonary angiogram for pulmonary embolism diagnosis

Application of deep learning techniques in non-contrast computed tomography pulmonary angiogram for pulmonary embolism diagnosis

๋ณธ ๋…ผ๋ฌธ์€ ์ž„์ƒ ํ˜„์žฅ์—์„œ ์กฐ์˜์ œ ์‚ฌ์šฉ์— ๋”ฐ๋ฅธ ๋ถ€์ž‘์šฉ๊ณผ ์‹œ๊ฐ„ ์ง€์—ฐ ๋ฌธ์ œ๋ฅผ ํ•ด๊ฒฐํ•˜๊ณ ์ž, ๋น„์กฐ์˜ CT ์˜์ƒ๋งŒ์„ ์ด์šฉํ•ด ํ์ƒ‰์ „์ฆ์„ ์ž๋™์œผ๋กœ ํŒ๋ณ„ํ•˜๋Š” 3D ํ•ฉ์„ฑ๊ณฑ ์‹ ๊ฒฝ๋ง(3Dโ€‘CNN) ๋ชจ๋ธ์„ ๊ฐœ๋ฐœํ•˜์˜€๋‹ค. ๋จผ์ € ๋ฐ์ดํ„ฐ์…‹ ๊ตฌ์ถ• ๋‹จ๊ณ„์—์„œ ์กฐ์˜์ œ ์‚ฌ์šฉ์ด ๊ธˆ์ง€๋œ ํ™˜์ž๊ตฐ๊ณผ ๊ธฐ์กด CTPA ์˜์ƒ์—์„œ ๋ผ๋ฒจ๋ง๋œ ํ์ƒ‰์ „์ฆ ์‚ฌ๋ก€๋ฅผ ๋งค์นญ์‹œ์ผœ, ๋น„์กฐ์˜ CT์™€ ๋ผ๋ฒจ ์ •๋ณด๋ฅผ ์ผ์น˜์‹œ์ผฐ๋‹ค. ์ด๋Š” ๋ผ๋ฒจ๋ง ๋น„์šฉ์„ ํฌ๊ฒŒ ์ ˆ๊ฐํ•˜๋ฉด์„œ๋„ ์‹ค์ œ ์ž„์ƒ ์ƒํ™ฉ์„ ๋ฐ˜์˜ํ•œ ๋ฐ์ดํ„ฐ๋ฒ ์ด์Šค๋ฅผ ํ™•๋ณดํ•˜๋Š” ์ „๋žต์ด๋‹ค. ๋ชจ๋ธ ๊ตฌ์กฐ๋Š” ์ž…๋ ฅ ๋ณผ๋ฅจ์„ 3์ฐจ์›์œผ๋กœ ์ฒ˜๋ฆฌํ•˜์—ฌ ํํ˜ˆ๊ด€ ๋ฐ ์ฃผ๋ณ€ ์กฐ์ง์˜ ๋ฏธ์„ธํ•œ ๋ฐ€๋„ ์ฐจ์ด๋ฅผ

Computer Vision Computer Science Learning
No Image

FlashInfer-Bench: Building the Virtuous Cycle for AI-driven LLM Systems

FlashInferโ€‘Bench ๋…ผ๋ฌธ์€ โ€œAIโ€‘generated GPU kernelโ€์ด๋ผ๋Š” ์ตœ์‹  ์—ฐ๊ตฌ ํ๋ฆ„์„ ์‹ค์ œ ์„œ๋น„์Šค ํ™˜๊ฒฝ์— ์ ์šฉํ•˜๊ธฐ ์œ„ํ•œ ์ธํ”„๋ผ์ŠคํŠธ๋Ÿญ์ฒ˜ ์„ค๊ณ„๋ผ๋Š” ๊ด€์ ์—์„œ ๋งค์šฐ ์˜๋ฏธ ์žˆ๋Š” ๊ธฐ์—ฌ๋ฅผ ํ•˜๊ณ  ์žˆ๋‹ค. ์ฒซ ๋ฒˆ์งธ ํ•ต์‹ฌ์€ FlashInfer Trace ๋ผ๋Š” ๋ฉ”ํƒ€๋ฐ์ดํ„ฐ ์Šคํ‚ค๋งˆ์ด๋‹ค. ๊ธฐ์กด์— LLM์ด ์ƒ์„ฑํ•œ ์ฝ”๋“œ๋ฅผ ๋‹จ์ˆœํžˆ ํ…์ŠคํŠธ๋กœ ์ €์žฅํ•˜๊ณ  ์ธ๊ฐ„์ด ์ˆ˜๋™์œผ๋กœ ๊ฒ€์ฆํ•˜๋Š” ๋ฐฉ์‹์€ ํ™•์žฅ์„ฑ์ด ๋–จ์–ด์ง„๋‹ค. Trace๋Š” ์ปค๋„ ์ธํ„ฐํŽ˜์ด์Šค(์ž…์ถœ๋ ฅ ํ…์„œ ํ˜•ํƒœ, ๋ฉ”๋ชจ๋ฆฌ ์š”๊ตฌ๋Ÿ‰), ์›Œํฌ๋กœ๋“œ ํŠน์„ฑ(๋ฐฐ์น˜ ํฌ๊ธฐ, ์‹œํ€€์Šค ๊ธธ์ด), ๊ตฌํ˜„ ์„ธ๋ถ€์‚ฌํ•ญ(์–ธ์–ด, ์ปดํŒŒ์ผ ์˜ต์…˜)

Computer Science Artificial Intelligence System
Classifying long legal documents using short random chunks

Classifying long legal documents using short random chunks

์ด ๋…ผ๋ฌธ์€ ๋ฒ•๋ฅ  ๋ฌธ์„œ์™€ ๊ฐ™์ด ํ…์ŠคํŠธ ๊ธธ์ด๊ฐ€ ์ˆ˜์ฒœ ํ† ํฐ์— ๋‹ฌํ•˜๋Š” ๋„๋ฉ”์ธ์—์„œ Transformer ๋ชจ๋ธ์˜ ์ž…๋ ฅ ์ œํ•œ์„ ์šฐํšŒํ•˜๊ธฐ ์œ„ํ•œ ์‹ค์šฉ์ ์ธ ์ ‘๊ทผ๋ฒ•์„ ์ œ์‹œํ•œ๋‹ค. ๊ธฐ์กด ์—ฐ๊ตฌ๋“ค์€ ๋ณดํ†ต ์ „์ฒด ๋ฌธ์„œ๋ฅผ ์Šฌ๋ผ์ด๋”ฉ ์œˆ๋„์šฐ ๋ฐฉ์‹์œผ๋กœ ๋‚˜๋ˆ„๊ฑฐ๋‚˜, ํ•ต์‹ฌ ๋ฌธ์žฅ์„ ์ถ”์ถœํ•˜๋Š” ์ „์ฒ˜๋ฆฌ ๋‹จ๊ณ„์— ์˜์กดํ•œ๋‹ค. ๊ทธ๋Ÿฌ๋‚˜ ์Šฌ๋ผ์ด๋”ฉ ์œˆ๋„์šฐ๋Š” ์—ฐ์‚ฐ๋Ÿ‰์ด ๊ธ‰์ฆํ•˜๊ณ , ํ•ต์‹ฌ ๋ฌธ์žฅ ์ถ”์ถœ์€ ๋„๋ฉ”์ธ ํŠนํ™”๋œ ์š”์•ฝ ๋ชจ๋ธ์ด ํ•„์š”ํ•ด ์ถ”๊ฐ€ ๋น„์šฉ์ด ๋ฐœ์ƒํ•œ๋‹ค. ์ €์ž๋“ค์€ ์ด๋Ÿฌํ•œ ๋ฌธ์ œ๋ฅผ โ€œ๋ฌด์ž‘์œ„ ์ฒญํฌ ์ƒ˜ํ”Œ๋งโ€์ด๋ผ๋Š” ๊ฐ„๋‹จํ•˜์ง€๋งŒ ํšจ๊ณผ์ ์ธ ์ „๋žต์œผ๋กœ ํ•ด๊ฒฐํ•œ๋‹ค. 48๊ฐœ์˜ ์ฒญํฌ๋ฅผ ๋ฌด์ž‘์œ„๋กœ ์„ ํƒํ•จ์œผ๋กœ์จ ๋ฌธ์„œ ์ „์ฒด์˜ ๋‹ค์–‘

Computer Science NLP
No Image

DynaFix: Iterative Automated Program Repair Driven by Execution-Level Dynamic Information

DynaFix๊ฐ€ ์ œ์‹œํ•˜๋Š” ํ•ต์‹ฌ ์•„์ด๋””์–ด๋Š” โ€œ์‹คํ–‰โ€‘๋ ˆ๋ฒจ ๋™์  ์ •๋ณดโ€๋ฅผ ๋ฐ˜๋ณต์ ์ธ ํ”ผ๋“œ๋ฐฑ ๋ฃจํ”„์— ํ†ตํ•ฉํ•จ์œผ๋กœ์จ LLM ๊ธฐ๋ฐ˜ APR์˜ ํ•œ๊ณ„๋ฅผ ๊ทน๋ณตํ•œ๋‹ค๋Š” ์ ์ด๋‹ค. ๊ธฐ์กด LLMโ€‘APR ์—ฐ๊ตฌ๋Š” ์ฃผ๋กœ ์ •์  ์ฝ”๋“œ ๊ตฌ์กฐ์™€ ํ…Œ์ŠคํŠธ ์Šค์œ„ํŠธ ๊ฒฐ๊ณผ์— ์˜์กดํ–ˆ์œผ๋ฉฐ, ์ด๋Š” ํ”„๋กœ๊ทธ๋žจ์˜ ์‹ค์ œ ๋™์ž‘์„ ๋ฐ˜์˜ํ•˜์ง€ ๋ชปํ•œ๋‹ค. ์ •์  ์ •๋ณด๋งŒ์œผ๋กœ๋Š” ๋ณ€์ˆ˜ ๊ฐ’์˜ ๋ณ€๋™, ์กฐ๊ฑด๋ฌธ ๋ถ„๊ธฐ, ์˜ˆ์™ธ ๋ฐœ์ƒ ๊ฒฝ๋กœ ๋“ฑ ๋ณต์žกํ•œ ๋Ÿฐํƒ€์ž„ ์ƒํ™ฉ์„ ์ •ํ™•ํžˆ ํŒŒ์•…ํ•˜๊ธฐ ์–ด๋ ต๋‹ค. DynaFix๋Š” ์ด๋Ÿฌํ•œ ๋ฌธ์ œ๋ฅผ ํ•ด๊ฒฐํ•˜๊ธฐ ์œ„ํ•ด ๋งค ๋ผ์šด๋“œ๋งˆ๋‹ค ํ”„๋กœ๊ทธ๋žจ์„ ์‹ค์ œ๋กœ ์‹คํ–‰ํ•˜๊ณ , ๋ณ€์ˆ˜ ์Šค๋ƒ…์ƒท, ์ œ์–ด ํ๋ฆ„ ํŠธ๋ ˆ์ด์Šค, ํ˜ธ์ถœ ์Šคํƒ ๋“ฑ

Computer Science Software Engineering
Deep Learning in Geotechnical Engineering: A Critical Assessment of PINNs and Operator Learning

Deep Learning in Geotechnical Engineering: A Critical Assessment of PINNs and Operator Learning

์ด ๋…ผ๋ฌธ์€ ์ตœ๊ทผ ์ง€๋ฐ˜๊ณตํ•™ ๋ถ„์•ผ์— ๋„์ž…๋œ ์„ธ ๊ฐ€์ง€ ๋”ฅ๋Ÿฌ๋‹ ํ”„๋ ˆ์ž„์›Œํฌโ€”๋ฌผ๋ฆฌ ๊ธฐ๋ฐ˜ ์‹ ๊ฒฝ๋ง(PINN), ๋”ฅ ์—ฐ์‚ฐ์ž ๋„คํŠธ์›Œํฌ(DeepONet), ๊ทธ๋ž˜ํ”„ ๋„คํŠธ์›Œํฌ ์‹œ๋ฎฌ๋ ˆ์ดํ„ฐ(GNS)โ€”๋ฅผ ์ „ํ†ต์ ์ธ ์ˆ˜์น˜ ํ•ด๋ฒ•๊ณผ ์ง์ ‘ ๋น„๊ตํ•จ์œผ๋กœ์จ ์‹ค์šฉ์„ฑ์„ ํ‰๊ฐ€ํ•œ๋‹ค. ์ฒซ ๋ฒˆ์งธ ์‹คํ—˜์ธ ํŒŒ๋™ ์ „ํŒŒ ๋ฌธ์ œ๋Š” ๊ณ ์ฃผํŒŒ ๋™์  ์‘๋‹ต์„ ์ •ํ™•ํžˆ ํฌ์ฐฉํ•ด์•ผ ํ•˜๋Š” ์ „ํ˜•์ ์ธ ํ…Œ์ŠคํŠธ๋ฒ ๋“œ์ด๋‹ค. ์—ฌ๊ธฐ์„œ PINN์€ ๋ฌผ๋ฆฌ ๋ฐฉ์ •์‹์„ ์†์‹ค ํ•จ์ˆ˜์— ์ง์ ‘ ์‚ฝ์ž…ํ•˜๋Š” ๋ฐฉ์‹์ž„์—๋„ ๋ถˆ๊ตฌํ•˜๊ณ , ๋ฏธ๋ถ„ ์—ฐ์‚ฐ๊ณผ ์ตœ์ ํ™” ๊ณผ์ •์—์„œ ๋ฐœ์ƒํ•˜๋Š” ์ˆ˜์น˜์  ๋ถˆ์•ˆ์ •์„ฑ์œผ๋กœ ์ธํ•ด ์œ ํ•œ์ฐจ๋ถ„(FD) ๋Œ€๋น„ 90 000๋ฐฐ ๋А๋ ค์กŒ๋‹ค. ์˜ค์ฐจ ์ธก๋ฉด์—์„œ

Learning Physics
No Image

Factorized Learning for Temporally Grounded Video-Language Models

์ด ๋…ผ๋ฌธ์€ ๊ธฐ์กด ๋น„๋””์˜คโ€‘์–ธ์–ด ๋ชจ๋ธ์ด โ€œํ•œ ๋ฒˆ์— ์ „์ฒด ๋น„๋””์˜ค๋ฅผ ์š”์•ฝํ•˜๊ณ  ์งˆ๋ฌธ์— ๋‹ตํ•œ๋‹คโ€๋Š” ์ „ํ†ต์ ์ธ ํŒจ๋Ÿฌ๋‹ค์ž„์„ ํƒˆํ”ผํ•œ๋‹ค๋Š” ์ ์—์„œ ํฐ ์˜๋ฏธ๊ฐ€ ์žˆ๋‹ค. ๊ธฐ์กด ๋ฐฉ๋ฒ•๋“ค์€ ์ข…์ข… ์‹œ๊ฐ„์  ์ •๋ณด๋ฅผ ํ๋ฆฟํ•˜๊ฒŒ ์ฒ˜๋ฆฌํ•˜๊ฑฐ๋‚˜, ๊ทผ๊ฑฐ๊ฐ€ ๋˜๋Š” ์‹œ๊ฐ์  ์ฆ๊ฑฐ๋ฅผ ๋ช…์‹œ์ ์œผ๋กœ ์ œ์‹œํ•˜์ง€ ๋ชปํ•ด ํ•ด์„ ๊ฐ€๋Šฅ์„ฑ์ด ๋‚ฎ์•˜๋‹ค. ์ €์ž๋“ค์€ ์ด๋Ÿฌํ•œ ํ•œ๊ณ„๋ฅผ ๊ทน๋ณตํ•˜๊ธฐ ์œ„ํ•ด ๋‘ ๊ฐ€์ง€ ํ•ต์‹ฌ ์•„์ด๋””์–ด๋ฅผ ์ œ์‹œํ•œ๋‹ค. ์ฒซ ๋ฒˆ์งธ๋Š” generation objective์˜ factorization ์ด๋‹ค. ๋ชจ๋ธ์ด ๋จผ์ € โ€œ์–ด๋–ค ์‹œ๊ฐ„ ๊ตฌ๊ฐ„์ด ์งˆ๋ฌธ์— ๋Œ€ํ•œ ๊ทผ๊ฑฐ๊ฐ€ ๋˜๋Š”๊ฐ€โ€๋ฅผ ํŒ๋‹จํ•˜๊ณ , ๊ทธ ๊ตฌ๊ฐ„์— ํ•ด๋‹นํ•˜๋Š” evidence

Computer Science Model Learning Computer Vision
Unified Embodied VLM Reasoning with Robotic Action via Autoregressive Discretized Pre-training

Unified Embodied VLM Reasoning with Robotic Action via Autoregressive Discretized Pre-training

์ด ๋…ผ๋ฌธ์€ ๋กœ๋ด‡ ์กฐ์ž‘ ์‹œ์Šคํ…œ์ด ์ง๋ฉดํ•œ ๋‘ ๊ฐ€์ง€ ํ•ต์‹ฌ ๊ณผ์ œ, ์ฆ‰ โ€œ๋„“์€ ์˜๋ฏธ์  ์ผ๋ฐ˜ํ™”โ€์™€ โ€œ๊ณ ์ •๋ฐ€ ์—ฐ์† ์ œ์–ดโ€ ์‚ฌ์ด์˜ ๊ท ํ˜•์„ ์ •๋ฐ€ํ•˜๊ฒŒ ์ง„๋‹จํ•˜๊ณ  ํ•ด๊ฒฐ์ฑ…์„ ์ œ์‹œํ•œ๋‹ค๋Š” ์ ์—์„œ ํฐ ์˜๋ฏธ๊ฐ€ ์žˆ๋‹ค. ๋จผ์ € ERIQ(Embodied Reasoning Intelligence Quotient)๋ผ๋Š” ์ƒˆ๋กœ์šด ๋ฒค์น˜๋งˆํฌ๋ฅผ ๋„์ž…ํ–ˆ๋Š”๋ฐ, ์ด๋Š” ๊ธฐ์กด VLA ๋ชจ๋ธ ํ‰๊ฐ€๊ฐ€ โ€œ์ž…๋ ฅโ€‘์ถœ๋ ฅโ€ ํ˜•ํƒœ์˜ ์„ฑ๊ณต๋ฅ ์—๋งŒ ์ดˆ์ ์„ ๋งž์ถ”๋Š” ๋ฐ˜๋ฉด, ์งˆ๋ฌธโ€‘๋‹ต๋ณ€ ํ˜•ํƒœ์˜ 6์ฒœ ๊ฐœ ์ด์ƒ ๋ฐ์ดํ„ฐ์…‹์„ ํ†ตํ•ด โ€˜์ถ”๋ก  ๋‹จ๊ณ„โ€™๋ฅผ ๋ณ„๋„๋กœ ์ธก์ •ํ•œ๋‹ค๋Š” ์ ์ด ์ฐจ๋ณ„์ ์ด๋‹ค. ๋„ค ๊ฐ€์ง€ ์ถ”๋ก  ์ฐจ์›(์˜ˆ: ๋ฌผ์ฒด ๊ด€๊ณ„ ์ดํ•ด,

Computer Science Robotics
Hyperbolic Graph Embeddings: a Survey and an Evaluation on Anomaly Detection

Hyperbolic Graph Embeddings: a Survey and an Evaluation on Anomaly Detection

ํ•˜์ดํผ๋ณผ๋ฆญ ๊ทธ๋ž˜ํ”„ ์ž„๋ฒ ๋”ฉ์€ ์ตœ๊ทผ ๋ณต์žกํ•˜๊ณ  ๋น„์œ ํด๋ฆฌ๋“œ์ ์ธ ๋„คํŠธ์›Œํฌ ๊ตฌ์กฐ๋ฅผ ๋ชจ๋ธ๋งํ•˜๋Š” ๋ฐ ์ฃผ๋ชฉ๋ฐ›๊ณ  ์žˆ๋‹ค. ์ „ํ†ต์ ์ธ ์œ ํด๋ฆฌ๋“œ ์ž„๋ฒ ๋”ฉ์€ ๋…ธ๋“œ ๊ฐ„ ๊ฑฐ๋ฆฌ์™€ ๊ด€๊ณ„๋ฅผ ํ‰๋ฉด ํ˜น์€ ์ €์ฐจ์› ์œ ํด๋ฆฌ๋“œ ๊ณต๊ฐ„์— ํˆฌ์‚ฌํ•จ์œผ๋กœ์จ ํŠธ๋ฆฌ ๊ตฌ์กฐ๋‚˜ ์Šค์ผ€์ผโ€‘ํ”„๋ฆฌ ๋„คํŠธ์›Œํฌ์™€ ๊ฐ™์€ ๊ณ ์ฐจ์›์  ๊ณ„์ธต์„ฑ์„ ์ถฉ๋ถ„ํžˆ ํ‘œํ˜„ํ•˜์ง€ ๋ชปํ•œ๋‹ค. ๋ฐ˜๋ฉด, ํ•˜์ดํผ๋ณผ๋ฆญ ๊ณต๊ฐ„์€ ์ง€์ˆ˜์ ์œผ๋กœ ํ™•์žฅ๋˜๋Š” ๋ณผ๋ฅจ ํŠน์„ฑ์„ ๊ฐ€์ง€๊ณ  ์žˆ์–ด, ๋™์ผํ•œ ์ฐจ์› ๋‚ด์—์„œ ๋” ๋งŽ์€ ๋…ธ๋“œ๋ฅผ ๊ตฌ๋ถ„ํ•  ์ˆ˜ ์žˆ๋‹ค. ์ด๋Ÿฌํ•œ ํŠน์„ฑ์€ ํŠนํžˆ ์ด์ƒ ํƒ์ง€์™€ ๊ฐ™์ด ์ •์ƒ ํŒจํ„ด๊ณผ ๋น„์ •์ƒ ํŒจํ„ด ์‚ฌ์ด์˜ ๋ฏธ์„ธํ•œ ์ฐจ์ด๋ฅผ ํฌ์ฐฉํ•ด์•ผ ํ•˜๋Š” ์ž‘์—…์— ์œ ๋ฆฌํ•˜๋‹ค. ๋ณธ ๋…ผ๋ฌธ์—์„œ๋Š”

Detection
A Formal Descriptive Language for Learning Dynamics: A Five-Layer Structural Coordinate System

A Formal Descriptive Language for Learning Dynamics: A Five-Layer Structural Coordinate System

์ด ๋…ผ๋ฌธ์ด ์ œ์‹œํ•˜๋Š” ๋‹ค์ธต ํ˜•์‹ ๊ธฐ์ˆ  ํ”„๋ ˆ์ž„์›Œํฌ๋Š” ํ•™์Šต ๊ณผ์ •์„ โ€˜๊ธฐ์ˆ โ€™ํ•œ๋‹ค๋Š” ์ ์—์„œ ๊ธฐ์กด์˜ โ€˜์˜ˆ์ธกยท์ตœ์ ํ™”โ€™ ์ค‘์‹ฌ ๋ชจ๋ธ๊ณผ ๊ทผ๋ณธ์ ์œผ๋กœ ์ฐจ๋ณ„ํ™”๋œ๋‹ค. ํ•™์Šต์€ ๋‹จ์ˆœํžˆ ์„ฑ๊ณผ๋ฅผ ๋†’์ด๋Š” ๋ชฉํ‘œ ํ•จ์ˆ˜์˜ ์ตœ์†Œํ™”๊ฐ€ ์•„๋‹ˆ๋ผ, ํ•™์Šต์ž ๋‚ด๋ถ€์˜ ์ƒํƒœ๊ฐ€ ์™ธ๋ถ€ ์ž๊ทน๊ณผ ์–ด๋–ป๊ฒŒ ์ƒํ˜ธ์ž‘์šฉํ•˜๋ฉด์„œ ๋ณ€ํ˜•๋˜๋Š”๊ฐ€์— ๋Œ€ํ•œ ์„œ์ˆ ์  ์ดํ•ด๊ฐ€ ํ•„์š”ํ•˜๋‹ค. ์ด๋ฅผ ์œ„ํ•ด ์ €์ž๋Š” ํ•™์Šต์„ ๋„ค ๊ฐœ์˜ ๊ธฐ๋Šฅ์  ์ธตโ€”๋ถ€ํ•˜ ์ƒ์„ฑ์ธต, ๋‚ด๋ถ€ ๋ณ€ํ™˜์ธต, ๊ด€์ฐฐยท์ธก์ •์ธต, ํ‰๊ฐ€ยท์กฐ์ ˆ์ธตโ€”์œผ๋กœ ๋ถ„๋ฆฌํ•˜๊ณ , ๊ฐ ์ธต์ด ๋‹ด๋‹นํ•˜๋Š” ์ฑ…์ž„์„ ๋ช…ํ™•ํžˆ ์ •์˜ํ•œ๋‹ค. ์ฒซ ๋ฒˆ์งธ ๋ถ€ํ•˜ ์ƒ์„ฑ์ธต์€ ์™ธ๋ถ€ ๊ณผ์ œยท์ž๋ฃŒ๊ฐ€ ํ•™์Šต์ž์—๊ฒŒ ์ œ๊ณต๋  ๋•Œ ๋ฐœ์ƒํ•˜๋Š” ์ธ์ง€ ๋ถ€

Learning System
High-Dimensional Data Processing: Benchmarking Machine Learning and Deep Learning Architectures in Local and Distributed Environments

High-Dimensional Data Processing: Benchmarking Machine Learning and Deep Learning Architectures in Local and Distributed Environments

์ข…ํ•ฉ ๋ถ„์„: ๋น…๋ฐ์ดํ„ฐ ๊ต์œก ์‹ค์Šต ๋ณด๊ณ ์„œ 1. ์—ฐ๊ตฌ ๊ฐœ์š”์™€ ๋ฐฉ๋ฒ•๋ก  ๋ณธ ์—ฐ๊ตฌ๋Š” ๋น…๋ฐ์ดํ„ฐ ํ”„๋กœ์ ํŠธ์˜ ํ†ตํ•ฉ์  ์ ‘๊ทผ ๋ฐฉ์‹์„ ์ทจํ•˜๋ฉฐ, ์„ธ ๊ฐ€์ง€ ์‚ฌ๋ก€๋ฅผ ํ†ตํ•ด ๋‹ค์–‘ํ•œ ๋ฐ์ดํ„ฐ ์œ ํ˜•๊ณผ ๊ทœ๋ชจ์— ๋Œ€ํ•œ ๋ถ„์„ ๊ธฐ๋ฒ•์„ ๋‹ค๋ฃน๋‹ˆ๋‹ค. Epsilon ๋ฐ์ดํ„ฐ์…‹ : ์ด์ง„ ๋ถ„๋ฅ˜ ๋ฌธ์ œ๋ฅผ ํ•ด๊ฒฐํ•˜๊ธฐ ์œ„ํ•ด MLP ๋ชจ๋ธ์„ ์‚ฌ์šฉํ•˜์—ฌ 2000๊ฐœ์˜ ํŠน์ง•๊ณผ 100,000๊ฐœ์˜ ์ธ์Šคํ„ด์Šค๋กœ ํ›ˆ๋ จ๋˜์—ˆ์Šต๋‹ˆ๋‹ค. PyTorch์™€ GPU ๊ฐ€์†(CUDA)์„ ํ™œ์šฉํ•ด 88.98%์˜ ์ •ํ™•๋„๋ฅผ ๋‹ฌ์„ฑํ–ˆ์Šต๋‹ˆ๋‹ค. Rest Mex ๋ฐ์ดํ„ฐ์…‹ : ๋ฉ•์‹œ์ฝ” ๊ด€๊ด‘ ๋ฆฌ๋ทฐ ๋ฐ์ดํ„ฐ์…‹์— ๋Œ€ํ•ด ๊ฐ์ • ๋ถ„์„ ํŒŒ์ดํ”„๋ผ์ธ์„ ๊ตฌํ˜„ํ•˜์˜€์Šต๋‹ˆ๋‹ค.

Data Learning
Architectures for Building Agentic AI

Architectures for Building Agentic AI

์ด ๋…ผ๋ฌธ์ด ์ œ์‹œํ•˜๋Š” ํ•ต์‹ฌ ๋…ผ์ง€๋Š” โ€œ์‹ ๋ขฐ์„ฑ์€ ๋ชจ๋ธ ์ž์ฒด๊ฐ€ ์•„๋‹ˆ๋ผ ์‹œ์Šคํ…œ์˜ ๊ตฌ์กฐ์— ๋‹ฌ๋ ค ์žˆ๋‹คโ€๋Š” ์ ์ด๋‹ค. ์—์ด์ „ํŠธํ˜• AI๋ฅผ ๋‹จ์ˆœํžˆ ๋Œ€๊ทœ๋ชจ ์–ธ์–ด ๋ชจ๋ธ์ด๋‚˜ ์ด๋ฏธ์ง€ ์ƒ์„ฑ ๋ชจ๋ธ์˜ ์ง‘ํ•ฉ์œผ๋กœ ๋ณด๋Š” ๊ด€์ ์—์„œ ๋ฒ—์–ด๋‚˜, ๋ชฉํ‘œโ€‘๊ด€๋ฆฌ์ž, ํ”Œ๋ž˜๋„ˆ, ๋„๊ตฌโ€‘๋ผ์šฐํ„ฐ, ์‹คํ–‰๊ธฐ, ๋ฉ”๋ชจ๋ฆฌ, ๊ฒ€์ฆ๊ธฐ, ์•ˆ์ „โ€‘๋ชจ๋‹ˆํ„ฐ, ํ…”๋ ˆ๋ฉ”ํŠธ๋ฆฌ ๋“ฑ์œผ๋กœ ๋ช…ํ™•ํžˆ ๊ตฌ๋ถ„๋œ ๋ชจ๋“ˆ๋“ค๋กœ ๊ตฌ์„ฑ๋œ โ€˜์•„ํ‚คํ…์ฒ˜โ€™๋ฅผ ๊ฐ•์กฐํ•œ๋‹ค. ๊ฐ ๋ชจ๋“ˆ์€ ์Šคํ‚ค๋งˆโ€‘์ œํ•œ ์ธํ„ฐํŽ˜์ด์Šค ๋ฅผ ํ†ตํ•ด์„œ๋งŒ ํ†ต์‹ ํ•˜๋„๋ก ์„ค๊ณ„๋˜๋ฉฐ, ์ด๋Š” ์ž…๋ ฅยท์ถœ๋ ฅ ํ˜•์‹์ด ์‚ฌ์ „์— ์ •์˜๋œ JSON ์Šคํ‚ค๋งˆ ๋“ฑ์œผ๋กœ ๊ฒ€์ฆ๋จ์„ ์˜๋ฏธํ•œ๋‹ค. ์ด๋ ‡๊ฒŒ ํ•˜๋ฉด ๋ชจ๋ธ์ด ์˜ˆ๊ธฐ์น˜ ์•Š์€ ํ˜•ํƒœ

CourtPressGER: A German Court Decision to Press Release Summarization Dataset

CourtPressGER: A German Court Decision to Press Release Summarization Dataset

๋ณธ ๋…ผ๋ฌธ์€ ๋ฒ•๋ฅ  ๋ถ„์•ผ์—์„œ ์ผ๋ฐ˜ ๋Œ€์ค‘์—๊ฒŒ ํŒ๊ฒฐ์„ ์ „๋‹ฌํ•˜๋Š” โ€˜๋ณด๋„์ž๋ฃŒโ€™๋ผ๋Š” ํŠน์ˆ˜ํ•œ ํ…์ŠคํŠธ ์žฅ๋ฅด์— ์ดˆ์ ์„ ๋งž์ถ˜ ์ตœ์ดˆ์˜ ๋Œ€๊ทœ๋ชจ ๋ฐ์ดํ„ฐ์…‹๊ณผ ๋ฒค์น˜๋งˆํฌ๋ฅผ ์ œ์‹œํ•œ๋‹ค๋Š” ์ ์—์„œ ํ•™์ˆ ์ ยท์‹ค์šฉ์  ์˜์˜๊ฐ€ ํฌ๋‹ค. ๊ธฐ์กด NLP ์—ฐ๊ตฌ๋Š” ์ฃผ๋กœ ํŒ๊ฒฐ๋ฌธ ์ž์ฒด์˜ ๊ตฌ์กฐ์  ์š”์•ฝ์ด๋‚˜ ๋ฒ•๋ฅ ์šฉ์–ด ์ถ”์ถœ ๋“ฑ์— ๋จธ๋ฌผ๋ €์œผ๋ฉฐ, ์‹œ๋ฏผ์ด ์ดํ•ดํ•˜๊ธฐ ์‰ฌ์šด ํ˜•ํƒœ์˜ ์ปค๋ฎค๋‹ˆ์ผ€์ด์…˜์„ ๋‹ค๋ฃจ์ง€๋Š” ์•Š์•˜๋‹ค. ๋”ฐ๋ผ์„œ CourtPressGER์€ โ€˜ํŒ๊ฒฐ๋ฌธโ€‘๋ณด๋„์ž๋ฃŒโ€‘ํ”„๋กฌํ”„ํŠธโ€™๋ผ๋Š” ์‚ผ์ค‘ ํŠธ๋ฆฌํ”Œ ๊ตฌ์กฐ๋ฅผ ํ†ตํ•ด, ์›๋ฌธ๊ณผ ์ธ๊ฐ„์ด ๋งŒ๋“  ์š”์•ฝ(๋ณด๋„์ž๋ฃŒ) ์‚ฌ์ด์˜ ์ •๋ฐ€ํ•œ ์ •๋ ฌ์„ ์ œ๊ณตํ•œ๋‹ค. ์ด๋Š” LLM์ด ๋‹จ์ˆœํžˆ ์š”์•ฝ์„ ๋„˜์–ด, ๋ฒ•์ 

Data
Meta Hierarchical Reinforcement Learning for Scalable Resource Management in O-RAN

Meta Hierarchical Reinforcement Learning for Scalable Resource Management in O-RAN

๋ณธ ๋…ผ๋ฌธ์€ Oโ€‘RAN ํ™˜๊ฒฝ์—์„œ ์ž์› ํ• ๋‹น๊ณผ ๋„คํŠธ์›Œํฌ ์Šฌ๋ผ์ด์‹ฑ์„ ๋™์‹œ์— ์ตœ์ ํ™”ํ•˜๊ธฐ ์œ„ํ•œ ์ƒˆ๋กœ์šด ํ•™์Šต ํ”„๋ ˆ์ž„์›Œํฌ๋ฅผ ์ œ์‹œํ•œ๋‹ค๋Š” ์ ์—์„œ ํ•™์ˆ ์ ยท์‹ค๋ฌด์  ์˜์˜๊ฐ€ ํฌ๋‹ค. ์ฒซ ๋ฒˆ์งธ๋กœ, ๊ธฐ์กด ๋ฉ”ํƒ€โ€‘๊ฐ•ํ™”ํ•™์Šต(Metaโ€‘RL) ์—ฐ๊ตฌ๋“ค์€ ์ฃผ๋กœ ๋‹จ์ผ ๋ ˆ๋ฒจ ์ •์ฑ…์„ ํ•™์Šตํ•˜๋Š” ๋ฐ ๊ทธ์ณค์œผ๋ฉฐ, ๋ณต์žกํ•œ Oโ€‘RAN ์‹œ์Šคํ…œ์ฒ˜๋Ÿผ ๋‹ค์ค‘ ๊ณ„์ธต์˜ ์˜์‚ฌ๊ฒฐ์ • ๊ตฌ์กฐ๋ฅผ ๋ฐ˜์˜ํ•˜์ง€ ๋ชปํ–ˆ๋‹ค. ์ €์ž๋Š” ์ด๋ฅผ ๋ณด์™„ํ•˜๊ธฐ ์œ„ํ•ด ๊ณ ์ˆ˜์ค€ โ€˜์ž์› ํ• ๋‹น ์ปจํŠธ๋กค๋Ÿฌโ€™์™€ ์ €์ˆ˜์ค€ โ€˜์Šฌ๋ผ์ด์Šค ๋‚ด๋ถ€ ์Šค์ผ€์ค„๋Ÿฌโ€™๋ผ๋Š” ๋‘ ๊ฐœ์˜ ์—์ด์ „ํŠธ๋ฅผ ๊ณ„์ธต์ ์œผ๋กœ ๋ฐฐ์น˜ํ•˜๊ณ , ๊ฐ๊ฐ์ด ๋…๋ฆฝ์ ์ธ ๊ฐ•ํ™”ํ•™์Šต ๊ณผ์ •์„ ์ˆ˜ํ–‰ํ•˜๋„๋ก ์„ค๊ณ„ํ•˜์˜€๋‹ค. ์ด๋Ÿฌํ•œ

Learning
A Unifying Human-Centered AI Fairness Framework

A Unifying Human-Centered AI Fairness Framework

๋ณธ ๋…ผ๋ฌธ์€ AI ์‹œ์Šคํ…œ์˜ ๊ณต์ •์„ฑ์„ ๋‹ค๋ฃจ๋Š” ๊ธฐ์กด ์—ฐ๊ตฌ๋“ค์˜ ํ•œ๊ณ„๋ฅผ ์ •ํ™•ํžˆ ์งš์–ด๋‚ธ๋‹ค. ํ˜„์žฌ๊นŒ์ง€ ๋Œ€๋ถ€๋ถ„์˜ ์—ฐ๊ตฌ๋Š” ํ•˜๋‚˜์˜ ๊ณต์ •์„ฑ ์ง€ํ‘œโ€”์˜ˆ๋ฅผ ๋“ค์–ด ๊ทธ๋ฃน ๊ณต์ •์„ฑ ํ˜น์€ ๊ฐœ๋ณ„ ๊ณต์ •์„ฑโ€”์— ์ดˆ์ ์„ ๋งž์ถ”์–ด ํ•ด๋‹น ์ง€ํ‘œ๋ฅผ ์ตœ์ ํ™”ํ•˜๋ ค๋Š” ์ ‘๊ทผ์„ ์ทจํ–ˆ๋‹ค. ๊ทธ๋Ÿฌ๋‚˜ ์‹ค์ œ ์‚ฌํšŒ์ ยท๋ฒ•์  ๋งฅ๋ฝ์—์„œ๋Š” ์—ฌ๋Ÿฌ ๊ณต์ •์„ฑ ๊ฐœ๋…์ด ๋™์‹œ์— ์ถฉ๋Œํ•˜๊ณ , ์ดํ•ด๊ด€๊ณ„์ž๋งˆ๋‹ค ์ค‘์‹œํ•˜๋Š” ๊ฐ€์น˜๊ฐ€ ๋‹ค๋ฅด๋‹ค. ์˜ˆ๋ฅผ ๋“ค์–ด ์‚ฌ๋ฒ• ๋ถ„์•ผ์—์„œ๋Š” โ€˜๋™๋“ฑ ๊ธฐํšŒ(EOP)โ€™์™€ โ€˜๊ฒฐ๊ณผ ํ‰๋“ฑโ€™ ์‚ฌ์ด์— ๋šœ๋ ทํ•œ ๊ธด์žฅ์ด ์กด์žฌํ•˜๊ณ , ์˜๋ฃŒ ๋ถ„์•ผ์—์„œ๋Š” ํ™˜์ž ๊ทธ๋ฃน ๊ฐ„์˜ ์ ‘๊ทผ์„ฑ ์ฐจ์ด๋ฅผ ์ตœ์†Œํ™”ํ•˜๋ ค๋Š” ๋™์‹œ์— ์น˜๋ฃŒ ํšจ์œจ์„ฑ์„ ์œ ์ง€ํ•ด์•ผ ํ•˜๋Š” ๋ณตํ•ฉ์ 

Framework
Detrended cross-correlations and their random matrix limit: an example from the cryptocurrency market

Detrended cross-correlations and their random matrix limit: an example from the cryptocurrency market

๋ณธ ๋…ผ๋ฌธ์€ ๋ณต์žก๊ณ„ ๋ถ„์„์—์„œ ํ”ํžˆ ๋งˆ์ฃผ์น˜๋Š” ์„ธ ๊ฐ€์ง€ ํ•ต์‹ฌ ๋‚œ์ œโ€”๋น„์ •์ƒ์„ฑ, ์žฅ๊ธฐ ์˜์กด์„ฑ(๋กฑ ๋ฉ”๋ชจ๋ฆฌ), ๊ทธ๋ฆฌ๊ณ  ํ—ค๋น„ํ…Œ์ผ ๋ถ„ํฌโ€”๋ฅผ ๋™์‹œ์— ๊ณ ๋ คํ•œ ์ƒˆ๋กœ์šด ์ƒ๊ด€ํ–‰๋ ฌ ๊ตฌ์ถ• ๋ฐฉ๋ฒ•์„ ์ œ์‹œํ•œ๋‹ค๋Š” ์ ์—์„œ ํ•™๋ฌธ์  ์˜์˜๊ฐ€ ํฌ๋‹ค. ๊ธฐ์กด์˜ ๊ณต๋ถ„์‚ฐ ํ–‰๋ ฌ์€ ํ‰๊ท ๊ณผ ๋ถ„์‚ฐ์„ ์ „์ œ๋กœ ํ•˜์—ฌ ๋น„์ •์ƒ์ ์ธ ํŠธ๋ Œ๋“œ๋‚˜ ๋น„์„ ํ˜• ๋ณ€๋™์„ ์ œ๋Œ€๋กœ ํฌ์ฐฉํ•˜์ง€ ๋ชปํ•œ๋‹ค. ์ €์ž๋“ค์€ ๋‹ค์ค‘ํ”„๋ž™ํƒˆ ๋น„์ •์ƒ ๊ต์ฐจ์ƒ๊ด€๊ณ„์ˆ˜ ฯ r์„ ๋„์ž…ํ•จ์œผ๋กœ์จ, ์‹œ๊ณ„์—ด์„ ๋‹ค์ค‘์Šค์ผ€์ผ๋กœ ๋ถ„ํ•ดํ•˜๊ณ  ๊ฐ ์Šค์ผ€์ผ์—์„œ ํŠน์ • ์ง„ํญ ๋ฒ”์œ„์˜ ๋ณ€๋™๋งŒ์„ ๊ฐ•์กฐํ•˜๋„๋ก ์„ค๊ณ„ํ•˜์˜€๋‹ค. ์—ฌ๊ธฐ์„œ r์€ ๋ณ€๋™์˜ ํฌ๊ธฐ๋ฅผ ์กฐ์ ˆํ•˜๋Š” ์ฐจ์ˆ˜ ๋งค๊ฐœ๋ณ€์ˆ˜๋กœ, r > 0์ด๋ฉด

Evolutionary System 2 Reasoning: An Empirical Proof

Evolutionary System 2 Reasoning: An Empirical Proof

๋ณธ ๋…ผ๋ฌธ์€ ํ˜„์žฌ ๋Œ€ํ˜• ์–ธ์–ด ๋ชจ๋ธ์ด ๋ณด์—ฌ์ฃผ๋Š” โ€œํŠน์ • ์ž‘์—…์— ๋Œ€ํ•œ ๋›ฐ์–ด๋‚œ ์„ฑ๋Šฅโ€๊ณผ โ€œ์ผ๋ฐ˜์ ์ธ ์ง€๋Šฅ, ํŠนํžˆ ์‹œ์Šคํ…œ 2์™€ ์—ฐ๊ด€๋œ ๋А๋ฆฐ ์‚ฌ๊ณ  ๋Šฅ๋ ฅโ€ ์‚ฌ์ด์˜ ๊ฒฉ์ฐจ๋ฅผ ๋ช…ํ™•ํžˆ ์งš์–ด๋‚ธ๋‹ค. ์‹œ์Šคํ…œ 2๋Š” ์ธ๊ฐ„์ด ๋ณต์žกํ•œ ๋…ผ๋ฆฌ์  ๋ฌธ์ œ๋ฅผ ํ•ด๊ฒฐํ•  ๋•Œ ์˜์‹์ ์œผ๋กœ ์ˆ˜ํ–‰ํ•˜๋Š” ๊ณ ์ฐจ์›์  ์‚ฌ๊ณ  ๊ณผ์ •์„ ์˜๋ฏธํ•œ๋‹ค. ๊ธฐ์กด LLM์€ ๋Œ€๊ทœ๋ชจ ๋ฐ์ดํ„ฐ์— ๊ธฐ๋ฐ˜ํ•œ ํŒจํ„ด ํ•™์Šต์„ ํ†ตํ•ด ๋น ๋ฅธ ์‹œ์Šคํ…œ 1 ์Šคํƒ€์ผ์˜ ์‘๋‹ต์„ ์ œ๊ณตํ•˜์ง€๋งŒ, ๋…ผ๋ฆฌ์  ์ผ๊ด€์„ฑ์ด๋‚˜ ๋‹ค๋‹จ๊ณ„ ์ถ”๋ก ์ด ์š”๊ตฌ๋˜๋Š” ์ƒํ™ฉ์—์„œ๋Š” ์˜ค๋ฅ˜๊ฐ€ ๋นˆ๋ฒˆํžˆ ๋ฐœ์ƒํ•œ๋‹ค. ์ด๋Ÿฌํ•œ ํ•œ๊ณ„๋ฅผ ๊ทน๋ณตํ•˜๊ธฐ ์œ„ํ•ด ์ €์ž๋“ค์€ ์ง„ํ™”๋ก ์  ๋ฉ”์ปค๋‹ˆ์ฆ˜์„ ์ฐจ์šฉํ•œ ERO ํ”„๋ ˆ์ž„์›Œํฌ๋ฅผ

System
Mechanistic Interpretability of Antibody Language Models Using SAEs

Mechanistic Interpretability of Antibody Language Models Using SAEs

๋ณธ ๋…ผ๋ฌธ์€ ๋‹จ๋ฐฑ์งˆ ์–ธ์–ด ๋ชจ๋ธ, ํŠนํžˆ ํ•ญ์ฒด ์„œ์—ด์„ ์ƒ์„ฑํ•˜๋„๋ก ์„ค๊ณ„๋œ pIgGen์— ๋Œ€ํ•œ ๋ฉ”์ปค๋‹ˆ์ฆ˜์  ํ•ด์„์„ ๋ชฉํ‘œ๋กœ ํ•œ๋‹ค. ์ด๋ฅผ ์œ„ํ•ด ๋‘ ์ข…๋ฅ˜์˜ ํฌ์†Œ ์˜คํ† ์ธ์ฝ”๋”, ์ฆ‰ TopK SAE์™€ Ordered SAE๋ฅผ ๋„์ž…ํ•˜์˜€๋‹ค. TopK SAE๋Š” ๊ฐ ๋ ˆ์ด์–ด์—์„œ ๊ฐ€์žฅ ํฐ K๊ฐœ์˜ ํ™œ์„ฑ๊ฐ’๋งŒ์„ ๋ณด์กดํ•จ์œผ๋กœ์จ ํฌ์†Œ์„ฑ์„ ๊ฐ•์ œํ•˜๊ณ , ์ด๋ฅผ ํ†ตํ•ด ์ž ์žฌ ๊ณต๊ฐ„์˜ ๊ฐœ๋ณ„ ์ฐจ์›์ด ํŠน์ • ์ƒ๋ฌผํ•™์  ํŠน์„ฑ๊ณผ ๊ฐ•ํ•˜๊ฒŒ ์—ฐ๊ด€๋˜๋Š”์ง€๋ฅผ ํƒ์ƒ‰ํ•œ๋‹ค. ์‹คํ—˜์—์„œ๋Š” ํŠน์ • ๋‰ด๋Ÿฐ(๋˜๋Š” ๋‰ด๋Ÿฐ ์ง‘ํ•ฉ)์ด ํ•ญ์ฒด์˜ CDR(Complementarity Determining Region) ๊ธธ์ด, ์นœํ™”๋„, ํ˜น์€ ํŠน

Model
The Seeds of Scheming: Weakness of Will in the Building Blocks of Agentic Systems

The Seeds of Scheming: Weakness of Will in the Building Blocks of Agentic Systems

๋ถ„์„ ์š”์•ฝ 1. ๋…ผ๋ฌธ ์ฃผ์ œ ๋ฐ ๋ชฉํ‘œ: ๋ณธ ๋…ผ๋ฌธ์€ ์ธ๊ณต์ง€๋Šฅ(AI) ์‹œ์Šคํ…œ์˜ ์•ˆ์ „์„ฑ๊ณผ ๊ด€๋ จ๋œ ๋ฌธ์ œ๋ฅผ ๋‹ค๋ฃน๋‹ˆ๋‹ค. ํŠนํžˆ, '์•„ํฌ๋ผ์‹œ์•„'๋ผ๋Š” ๊ฐœ๋…์„ ํ†ตํ•ด AI์˜ ์ผ๊ด€์„ฑ ๋ถ•๊ดด์™€ ๋ชฉํ‘œ ์ „์ด๋ฅผ ๋ถ„์„ํ•ฉ๋‹ˆ๋‹ค. ์•„ํฌ๋ผ์‹œ์•„๋Š” ๊ณ ๋Œ€ ์ฒ ํ•™์—์„œ ์ธ๊ฐ„์˜ ํŒ๋‹จ๊ณผ ์ถฉ๋™ ์‚ฌ์ด์˜ ๊ฐˆ๋“ฑ์„ ์„ค๋ช…ํ•˜๋Š” ์šฉ์–ด๋กœ, ์ด ๋…ผ๋ฌธ์—์„œ๋Š” ์ด๋ฅผ AI ๋งฅ๋ฝ์— ์ ์šฉํ•˜์—ฌ ๋ชจ๋ธ์ด ๊ธ€๋กœ๋ฒŒ ์ง€์‹๊ณผ ๋กœ์ปฌ ์ปจํ…์ŠคํŠธ ์‚ฌ์ด์—์„œ ์ผ๊ด€์„ฑ์„ ์œ ์ง€ํ•˜์ง€ ๋ชปํ•  ๋•Œ ๋ฐœ์ƒํ•˜๋Š” ๋ฌธ์ œ๋ฅผ ํƒ๊ตฌํ•ฉ๋‹ˆ๋‹ค. 2. ์•„ํฌ๋ผ์‹œ์•„ ๋ฒค์น˜๋งˆํฌ์˜ ๊ฐœ๋ฐœ: ๋…ผ๋ฌธ์€ '์•„ํฌ๋ผ์‹œ์•„ ๋ฒค์น˜๋งˆํฌ'๋ผ๋Š” ์ƒˆ๋กœ์šด ํ‰๊ฐ€ ๋ฐฉ๋ฒ•์„ ์ œ์•ˆํ•ฉ๋‹ˆ๋‹ค. ์ด ๋ฒค์น˜๋งˆํฌ๋Š” ๋ชจ๋ธ์ด ๊ธ€๋กœ

System
Towards A Cultural Intelligence and Values Inferences Quality Benchmark for Community Values and Common Knowledge

Towards A Cultural Intelligence and Values Inferences Quality Benchmark for Community Values and Common Knowledge

์ด ๋…ผ๋ฌธ์€ ํ˜„์žฌ AIยทLLM ๋ถ„์•ผ์—์„œ ๊ธ‰๋ถ€์ƒํ•˜๊ณ  ์žˆ๋Š” ๋ฌธํ™”์  ํŽธํ–ฅ ๋ฌธ์ œ๋ฅผ ์‹ค์งˆ์ ์œผ๋กœ ํ•ด๊ฒฐํ•˜๋ ค๋Š” ์‹œ๋„๋กœ์„œ ์˜๋ฏธ๊ฐ€ ํฌ๋‹ค. ๊ธฐ์กด์˜ ๋Œ€๋ถ€๋ถ„ LLM์€ ๋Œ€๊ทœ๋ชจ ์ธํ„ฐ๋„ท ํ…์ŠคํŠธ๋ฅผ ๊ธฐ๋ฐ˜์œผ๋กœ ํ•™์Šต๋˜๊ธฐ ๋•Œ๋ฌธ์— ์„œ๊ตฌ ์ค‘์‹ฌ์˜ ์–ธ์–ดยท๋ฌธํ™”์  ์„œ์ˆ ์ด ๊ณผ๋‹คํ•˜๊ฒŒ ๋ฐ˜์˜๋œ๋‹ค. ๊ฒฐ๊ณผ์ ์œผ๋กœ ๋น„์„œ๊ตฌยท์†Œ์ˆ˜์ž ์ง‘๋‹จ์ด ๊ฒช๋Š” ๊ฒฝํ—˜์ด๋‚˜ ๊ฐ€์น˜๊ด€์ด ์ œ๋Œ€๋กœ ๋ฐ˜์˜๋˜์ง€ ์•Š์•„, ์ด๋“ค ์ง‘๋‹จ์ด LLM์„ ํ™œ์šฉํ•  ๋•Œ ์˜คํ•ดยท๋ถˆ์พŒ๊ฐ์„ ์œ ๋ฐœํ•˜๊ฑฐ๋‚˜, ์ค‘์š”ํ•œ ์˜์‚ฌ๊ฒฐ์ •์—์„œ ๋ถ€์ •ํ™•ํ•œ ์ •๋ณด๋ฅผ ์ œ๊ณตํ•  ์œ„ํ—˜์ด ์žˆ๋‹ค. ์ด๋Ÿฌํ•œ ๋ฌธ์ œ๋ฅผ ์ธ์‹ํ•˜๊ณ  โ€˜๋ฌธํ™”โ€‘์ธ์‹โ€™ LLM์„ ๊ฐœ๋ฐœํ•˜๋ ค๋Š” ์›€์ง์ž„์€ ํ•„์ˆ˜์ ์ด๋ฉฐ, ํŠนํžˆ ChatBlack

The promising potential of vision language models for the generation of textual weather forecasts

The promising potential of vision language models for the generation of textual weather forecasts

๋ณธ ์—ฐ๊ตฌ๋Š” ์ตœ๊ทผ ๊ธ‰๋ถ€์ƒํ•˜๊ณ  ์žˆ๋Š” ๋ฉ€ํ‹ฐ๋ชจ๋‹ฌ ๊ธฐ์ดˆ ๋ชจ๋ธ, ํŠนํžˆ ๋น„์ „โ€‘์–ธ์–ด ๋ชจ๋ธ(Visionโ€‘Language Model, VLM)์˜ ๊ธฐ์ƒ ๋ถ„์•ผ ์ ์šฉ ๊ฐ€๋Šฅ์„ฑ์„ ์ตœ์ดˆ๋กœ ์‹œ๋„ํ•œ ์‚ฌ๋ก€๋ผ ํ•  ์ˆ˜ ์žˆ๋‹ค. ์ „ํ†ต์ ์ธ ํ•ด์ƒ์˜ˆ๋ณด๋Š” ๊ธฐ์ƒ ๊ด€์ธก๊ฐ’(์œ„์„ฑ, ๋ ˆ์ด๋”, ๊ด€์ธก์†Œ ๋“ฑ)์„ ์ธ๊ฐ„ ๊ธฐ์ƒํ•™์ž๊ฐ€ ํ•ด์„ํ•˜๊ณ , ์ •ํ˜•ํ™”๋œ ํ…์ŠคํŠธ ํ˜•์‹์œผ๋กœ ์žฌ์ž‘์„ฑํ•˜๋Š” ๋ณตํ•ฉ์ ์ธ ์›Œํฌํ”Œ๋กœ์šฐ๋ฅผ ์š”๊ตฌํ•œ๋‹ค. ์ด๋Ÿฌํ•œ ๊ณผ์ •์€ ๋†’์€ ์ธ์  ๋น„์šฉ๊ณผ ์‹œ๊ฐ„ ์ง€์—ฐ์„ ์ดˆ๋ž˜ํ•˜๋ฉฐ, ํŠนํžˆ ๊ธ‰๋ณ€ํ•˜๋Š” ๊ธฐ์ƒ ์ƒํ™ฉ์— ๋Œ€ํ•œ ์‹ค์‹œ๊ฐ„ ๋Œ€์‘๋ ฅ์„ ์ €ํ•ดํ•œ๋‹ค. ์—ฐ๊ตฌํŒ€์€ ๋จผ์ € ๊ฒฉ์žํ˜• ๊ธฐ์ƒ ๋ฐ์ดํ„ฐ๋ฅผ ์‹œ๊ฐ„โ€‘๊ณต๊ฐ„ ์ฐจ์›์„ ํฌํ•จํ•œ ๋น„๋””์˜ค ์‹œํ€€์Šค๋กœ

Model
Exploring Depth Generalization in Large Language Models for Solving Recursive Logic Tasks

Exploring Depth Generalization in Large Language Models for Solving Recursive Logic Tasks

๋ณธ ๋…ผ๋ฌธ์€ ํ˜„์žฌ ๊ฐ€์žฅ ๋„๋ฆฌ ์‚ฌ์šฉ๋˜๋Š” ํŠธ๋žœ์Šคํฌ๋จธ ๊ธฐ๋ฐ˜ ๋Œ€ํ˜• ์–ธ์–ด ๋ชจ๋ธ(Large Language Model, LLM)์ด โ€œ๊นŠ์ด ์ผ๋ฐ˜ํ™”(depth generalization)โ€๋ผ๋Š” ์ค‘์š”ํ•œ ์ฐจ์›์—์„œ ํ•œ๊ณ„๋ฅผ ๋ณด์ธ๋‹ค๋Š” ์ ์„ ๋ช…ํ™•ํžˆ ๊ทœ๋ช…ํ•œ๋‹ค. ๊ธฐ์กด ์—ฐ๊ตฌ๋Š” ์ฃผ๋กœ ์‹œํ€€์Šค ๊ธธ์ด๊ฐ€ ํ›ˆ๋ จ ๋ฐ์ดํ„ฐ๋ณด๋‹ค ๊ธธ์–ด์งˆ ๋•Œ ๋ชจ๋ธ์ด ์–ด๋–ป๊ฒŒ ์ผ๋ฐ˜ํ™”๋˜๋Š”์ง€๋ฅผ ํƒ๊ตฌํ–ˆ์œผ๋ฉฐ, ์ด๋ฅผ โ€œ๊ธธ์ด ์ผ๋ฐ˜ํ™”โ€๋ผ๊ณ  ๋ถ€๋ฅธ๋‹ค. ๊ทธ๋Ÿฌ๋‚˜ ์‹ค์ œ ์ž์—ฐ์–ด์™€ ์ˆ˜ํ•™ยท๋…ผ๋ฆฌ ๋ฌธ์ œ์—์„œ๋Š” ๋‹จ์ˆœํžˆ ์‹œํ€€์Šค๊ฐ€ ๊ธธ์–ด์ง€๋Š” ๊ฒƒ์ด ์•„๋‹ˆ๋ผ, ๊ด„ํ˜ธยท์—ฐ์‚ฐ์žยท๋…ผ๋ฆฌ ์—ฐ์‚ฐ์ž์˜ ์ค‘์ฒฉ ๊ตฌ์กฐ๊ฐ€ ๊นŠ์–ด์ง€๋Š” ๊ฒฝ์šฐ๊ฐ€ ๋นˆ๋ฒˆํ•˜๋‹ค. ์ด๋Ÿฌํ•œ ์ค‘์ฒฉ ๊ตฌ์กฐ๋Š” ์Šค

Model
Fine-Tuned Large Language Models for Logical Translation: Reducing Hallucinations with Lang2Logic

Fine-Tuned Large Language Models for Logical Translation: Reducing Hallucinations with Lang2Logic

๋ณธ ๋…ผ๋ฌธ์€ ์ž์—ฐ์–ดโ€‘๋…ผ๋ฆฌ ๋ณ€ํ™˜ ์ž‘์—…์—์„œ LLM์˜ ํ™˜๊ฐ ๋ฌธ์ œ๋ฅผ ์™„ํ™”ํ•˜๊ธฐ ์œ„ํ•œ ์‹ค์šฉ์ ์ธ ์ ‘๊ทผ๋ฒ•์„ ์ œ์‹œํ•œ๋‹ค๋Š” ์ ์—์„œ ์˜๋ฏธ๊ฐ€ ํฌ๋‹ค. ์ฒซ์งธ, ์ €์ž๋Š” โ€œ์ž์—ฐ์–ด โ†’ ๋…ผ๋ฆฌ์‹ โ†’ CNFโ€๋ผ๋Š” 3๋‹จ๊ณ„ ํŒŒ์ดํ”„๋ผ์ธ์„ ๋ช…ํ™•ํžˆ ์ •์˜ํ•˜๊ณ , ๊ฐ ๋‹จ๊ณ„์—์„œ ๋ฐœ์ƒํ•  ์ˆ˜ ์žˆ๋Š” ์˜ค๋ฅ˜ ์›์ธ์„ ๋ถ„์„ํ•œ๋‹ค. ํŠนํžˆ, ๋…ผ๋ฆฌ์‹ ์ƒ์„ฑ ๋‹จ๊ณ„์—์„œ LLM์ด ๋ฌธ๋งฅ์„ ์˜คํ•ดํ•˜๊ฑฐ๋‚˜ ๋…ผ๋ฆฌ ์—ฐ์‚ฐ์ž๋ฅผ ์ž˜๋ชป ์„ ํƒํ•˜๋Š” ๊ฒฝ์šฐ๊ฐ€ ๋นˆ๋ฒˆํžˆ ๋ฐœ์ƒํ•œ๋‹ค๋Š” ์ ์„ ์ง€์ ํ•˜๊ณ , ์ด๋ฅผ ์ž์ฒด ์ •์˜ ๋ฌธ๋ฒ•์œผ๋กœ ์ œํ•œํ•จ์œผ๋กœ์จ ๋ชจ๋ธ์ด ํ—ˆ์šฉ๋œ ๊ตฌ์กฐ ๋‚ด์—์„œ๋งŒ ์ถœ๋ ฅ์„ ์ƒ์„ฑํ•˜๋„๋ก ๊ฐ•์ œํ•œ๋‹ค. ์ด๋Ÿฌํ•œ ๋ฌธ๋ฒ• ๊ธฐ๋ฐ˜ ํ•„ํ„ฐ๋ง์€ ๊ธฐ์กด์˜ ํ›„์ฒ˜๋ฆฌ ๋ฐฉ์‹๋ณด๋‹ค ์‚ฌ์ „

Model
Masking Matters: Unlocking the Spatial Reasoning Capabilities of LLMs for 3D Scene-Language Understanding

Masking Matters: Unlocking the Spatial Reasoning Capabilities of LLMs for 3D Scene-Language Understanding

๋ณธ ๋…ผ๋ฌธ์€ 3D ์žฅ๋ฉดโ€‘์–ธ์–ด ๋ฉ€ํ‹ฐ๋ชจ๋‹ฌ ๋ชจ๋ธ์—์„œ ๋””์ฝ”๋”์˜ ์–ดํ…์…˜ ๋งˆ์Šคํฌ๊ฐ€ ์„ฑ๋Šฅ์— ๋ฏธ์น˜๋Š” ์˜ํ–ฅ์„ ์‹ฌ๋„ ์žˆ๊ฒŒ ํƒ๊ตฌํ•œ๋‹ค๋Š” ์ ์—์„œ ํฐ ์˜์˜๋ฅผ ๊ฐ€์ง„๋‹ค. ๊ธฐ์กด์˜ LLM ๊ธฐ๋ฐ˜ 3D ์ถ”๋ก  ๋ฐฉ๋ฒ•๋“ค์€ ์ž์—ฐ์–ด ์ฒ˜๋ฆฌ์—์„œ ๊ฒ€์ฆ๋œ ์ธ๊ณผ์ (causal) ๋งˆ์Šคํฌ๋ฅผ ๊ทธ๋Œ€๋กœ ์ฐจ์šฉํ–ˆ๋Š”๋ฐ, ์ด๋Š” ํ…์ŠคํŠธ๊ฐ€ ์ˆœ์ฐจ์  ๊ตฌ์กฐ๋ฅผ ๊ฐ–๋Š”๋‹ค๋Š” ์ „์ œ์— ๊ธฐ๋ฐ˜ํ•œ๋‹ค. ๊ทธ๋Ÿฌ๋‚˜ 3D ๊ฐ์ฒด๋Š” ๊ณต๊ฐ„์  ์œ„์น˜์™€ ๊ด€๊ณ„์— ์˜ํ•ด ์ •์˜๋˜๋ฉฐ, ๊ฐ์ฒด ๊ฐ„ ์ˆœ์„œ๋Š” ์˜๋ฏธ๊ฐ€ ์—†๊ฑฐ๋‚˜ ์˜คํžˆ๋ ค ๋ฐฉํ•ด๊ฐ€ ๋  ์ˆ˜ ์žˆ๋‹ค. ์ธ๊ณผ ๋งˆ์Šคํฌ๋Š” ์ด๋Ÿฌํ•œ ์ˆœ์„œโ€‘๋ฌด๊ด€์„ฑ์„ ๋ฌด์‹œํ•˜๊ณ , ๊ฐ์ฒด ํ† ํฐ์ด ์ด์ „ ํ† ํฐ์—๋งŒ ์˜์กดํ•˜๋„๋ก ๊ฐ•์ œํ•จ์œผ๋กœ์จ ๊ณต๊ฐ„์  ์ƒํ˜ธ์ž‘์šฉ์„

A Low-Cost Reliable Racetrack Cache Based on Data Compression

A Low-Cost Reliable Racetrack Cache Based on Data Compression

๋ณธ ์—ฐ๊ตฌ๋Š” ์ฐจ์„ธ๋Œ€ ๊ณ ๋ฐ€๋„ ๋น„ํœ˜๋ฐœ์„ฑ ๋ฉ”๋ชจ๋ฆฌ์ธ ๋ ˆ์ด์ŠคํŠธ๋ž™ ๋ฉ”๋ชจ๋ฆฌ(RTM)์˜ ์‹ ๋ขฐ์„ฑ ๋ฌธ์ œ๋ฅผ ๊ทผ๋ณธ์ ์œผ๋กœ ํ•ด๊ฒฐํ•˜๊ณ ์ž ํ•˜๋Š” ์‹œ๋„์ด๋‹ค. RTM์€ ์ „ํ†ต์ ์ธ SRAM์— ๋น„ํ•ด 10๋ฐฐ ์ด์ƒ ๋†’์€ ์ง‘์ ๋„๋ฅผ ์ œ๊ณตํ•˜๋ฉด์„œ๋„ ์ฝ๊ธฐยท์“ฐ๊ธฐ ์ง€์—ฐ์ด ์งง์•„ ์บ์‹œ ๋ฉ”๋ชจ๋ฆฌ ๊ต์ฒด ํ›„๋ณด๋กœ ์ ํ•ฉํ•˜์ง€๋งŒ, ์ „๋ฅ˜ ํ๋ฆ„์„ ์ œ์–ดํ•˜๊ธฐ ์œ„ํ•œ ๋„๋ฉ”์ธ ์ด๋™ ๊ณผ์ •์—์„œ ๋ฐœ์ƒํ•˜๋Š” ์Šคํ† ์บ์Šคํ‹ฑํ•œ ์˜ค๋ฅ˜์™€ ๋ฐ์ดํ„ฐ ์…”ํ”Œ๋ง ์˜ค๋ฅ˜๊ฐ€ ๋‹ค์ค‘ ๋น„ํŠธ ์˜ค๋ฅ˜๋ฅผ ์ดˆ๋ž˜ํ•œ๋‹ค. ์ด๋Ÿฌํ•œ ์˜ค๋ฅ˜๋Š” ๊ธฐ์กด์˜ ๋‹จ์ผ ๋น„ํŠธ ECC(์˜ˆ: SEC)๋‚˜ 2๋น„ํŠธ ์ •์ • ECC(์˜ˆ: DECTED)๋กœ๋Š” ์ถฉ๋ถ„ํžˆ ๋ฐฉ์–ดํ•  ์ˆ˜ ์—†์œผ๋ฉฐ, ๋‹ค์ค‘ ๋น„ํŠธ ์ •์ •์„ ์œ„ํ•ด์„œ๋Š”

Data
Accelerating Large-Scale Reasoning Model Inference with Sparse Self-Speculative Decoding

Accelerating Large-Scale Reasoning Model Inference with Sparse Self-Speculative Decoding

์ด ๋…ผ๋ฌธ์€ ์ตœ๊ทผ ๋Œ€ํ˜• ์–ธ์–ด ๋ชจ๋ธ์ด ๋ณต์žกํ•œ ๋ฌธ์ œ๋ฅผ ํ•ด๊ฒฐํ•˜๊ธฐ ์œ„ํ•ด ์ฒด์ธโ€‘์˜ค๋ธŒโ€‘์“ฐ๋ฃจ(Chainโ€‘ofโ€‘Thought)์™€ ๊ฐ™์€ ๊ธด ์ถ”๋ก  ๊ณผ์ •์„ ๊ฑฐ์น  ๋•Œ, ๋ฉ”๋ชจ๋ฆฌ ๋Œ€์—ญํญ์ด ์ฃผ์š” ๋ณ‘๋ชฉ์œผ๋กœ ์ž‘์šฉํ•œ๋‹ค๋Š” ์ ์„ ์ •ํ™•ํžˆ ์งš์–ด๋‚ธ๋‹ค. ์ „ํ†ต์ ์ธ ๋””์ฝ”๋”ฉ ๋ฐฉ์‹์—์„œ๋Š” ๋งค ํ† ํฐ๋งˆ๋‹ค KVโ€‘Cache์— ์ €์žฅ๋œ ๋ชจ๋“  ์ด์ „ ํ† ํฐ์— ๋Œ€ํ•ด ์™„์ „ ์–ดํ…์…˜์„ ์ˆ˜ํ–‰ํ•œ๋‹ค. ํ† ํฐ ์ˆ˜๊ฐ€ ๋Š˜์–ด๋‚ ์ˆ˜๋ก KVโ€‘Cache์˜ ํฌ๊ธฐ๋„ ์„ ํ˜•์ ์œผ๋กœ ์ฆ๊ฐ€ํ•˜๊ณ , ์ด์— ๋”ฐ๋ผ ๋ฉ”๋ชจ๋ฆฌ ์ฝ๊ธฐยท์“ฐ๊ธฐ ๋น„์šฉ์ด ๊ธ‰์ฆํ•œ๋‹ค. ํŠนํžˆ GPU ๋ฉ”๋ชจ๋ฆฌ ์šฉ๋Ÿ‰์ด ์ œํ•œ์ ์ธ ์ƒํ™ฉ์—์„œ ์ด๋Ÿฌํ•œ ๋ฉ”๋ชจ๋ฆฌโ€‘๋ฐ”์šด๋“œ ํŠน์„ฑ์€ ์‹ค์‹œ๊ฐ„ ์‘์šฉ์— ํฐ ์ œ์•ฝ์ด ๋œ

Model
From Black Hole to Galaxy: Neural Operator: Framework for Accretion and Feedback Dynamics

From Black Hole to Galaxy: Neural Operator: Framework for Accretion and Feedback Dynamics

์ดˆ๋Œ€์งˆ๋Ÿ‰ ๋ธ”๋ž™ํ™€(SMBH)๊ณผ ๊ทธ ์ˆ™์ฃผ ์€ํ•˜์˜ ๊ณต๋™ ์ง„ํ™”๋Š” ํ˜„๋Œ€ ์ฒœ์ฒด๋ฌผ๋ฆฌํ•™์—์„œ ๊ฐ€์žฅ ๋‚œ์ œ ์ค‘ ํ•˜๋‚˜์ด๋‹ค. ๋ฌผ๋ฆฌ์  ๊ณผ์ •์ด ๋ธ”๋ž™ํ™€ ์ฃผ๋ณ€์˜ ๋ฐ€๋ฆฌํŒŒ์„น ๊ทœ๋ชจ์—์„œ ์€ํ•˜ ์ „์ฒด์˜ ๋ฉ”๊ฐ€ํŒŒ์„น ๊ทœ๋ชจ์— ์ด๋ฅด๊ธฐ๊นŒ์ง€ 10โน๋ฐฐ์— ๋‹ฌํ•˜๋Š” ๊ฑฐ๋ฆฌ์™€ ์‹œ๊ฐ„ ์Šค์ผ€์ผ์„ ํฌ๊ด„ํ•œ๋‹ค๋Š” ์ ์—์„œ, ์ „ํ†ต์ ์ธ ์ฒซ ์›๋ฆฌ ์‹œ๋ฎฌ๋ ˆ์ด์…˜์€ ๊ณ„์‚ฐ ์ž์› ํ•œ๊ณ„๋กœ ์ธํ•ด ์‹คํ˜„ ๋ถˆ๊ฐ€๋Šฅํ•˜๋‹ค. ๋”ฐ๋ผ์„œ ์—ฐ๊ตฌ์ž๋“ค์€ โ€˜์„œ๋ธŒ๊ทธ๋ฆฌ๋“œโ€™ ์ ‘๊ทผ๋ฒ•์„ ์‚ฌ์šฉํ•ด ๋ฏธ์„ธ ์Šค์ผ€์ผ์˜ ๋ฌผ๋ฆฌํ•™์„ ๊ฑฐ์‹œ ์Šค์ผ€์ผ ์‹œ๋ฎฌ๋ ˆ์ด์…˜์— ์‚ฝ์ž…ํ•œ๋‹ค. ๊ธฐ์กด ์„œ๋ธŒ๊ทธ๋ฆฌ๋“œ ๋ชจ๋ธ์€ ๋ณดํ†ต ๊ณ ์ •๋œ ํšจ์œจ ํŒŒ๋ผ๋ฏธํ„ฐ(์˜ˆ: Eddington ์ œํ•œ, ฮฑ ๋””์Šคํฌ ๋ชจ๋ธ)๋‚˜ ์ด๋ก ์  ์ถ”์ •

Framework
GrndCtrl: Grounding World Models via Self-Supervised Reward Alignment

GrndCtrl: Grounding World Models via Self-Supervised Reward Alignment

๋ณธ ๋…ผ๋ฌธ์ด ์ œ์‹œํ•˜๋Š” โ€œReinforcement Learning with World Groundingโ€(RLWG) ์ ‘๊ทผ๋ฒ•์€ ๊ธฐ์กด ๋น„๋””์˜ค ๊ธฐ๋ฐ˜ ์„ธ๊ณ„ ๋ชจ๋ธ์ด ๊ฒช๋Š” ๊ธฐํ•˜ํ•™์  ๋ถˆ์ผ์น˜ ๋ฌธ์ œ๋ฅผ ๊ทผ๋ณธ์ ์œผ๋กœ ํ•ด๊ฒฐํ•˜๋ ค๋Š” ์‹œ๋„์ด๋‹ค. ์ „ํ†ต์ ์ธ ๋น„๋””์˜ค ์„ธ๊ณ„ ๋ชจ๋ธ์€ ์ฃผ๋กœ ํ”„๋ ˆ์ž„โ€‘๊ฐ„ ์žฌ๊ตฌ์„ฑ ์†์‹ค์„ ์ตœ์†Œํ™”ํ•จ์œผ๋กœ์จ ํ•™์Šต๋˜๋Š”๋ฐ, ์ด๋Ÿฌํ•œ ์†์‹ค์€ ์‹œ๊ฐ์  ์ผ๊ด€์„ฑ์€ ํ™•๋ณดํ•˜์ง€๋งŒ ๋ฌผ๋ฆฌ์ ยท๊ธฐํ•˜ํ•™์  ์ œ์•ฝ์„ ์ถฉ๋ถ„ํžˆ ๋ฐ˜์˜ํ•˜์ง€ ๋ชปํ•œ๋‹ค. ๊ฒฐ๊ณผ์ ์œผ๋กœ ๋ชจ๋ธ์ด ์ƒ์„ฑํ•œ ๊ฐ€์ƒ ํ™˜๊ฒฝ์€ ์ธ๊ฐ„์ด ์ง๊ด€์ ์œผ๋กœ ์ธ์‹ํ•˜๋Š” ๋ฌผ๋ฆฌ ๋ฒ•์น™๊ณผ ์–ด๊ธ‹๋‚˜๋Š” ๊ฒฝ์šฐ๊ฐ€ ๋นˆ๋ฒˆํ•˜๋‹ค. RLWG๋Š” ์ด๋Ÿฌํ•œ ํ•œ๊ณ„๋ฅผ ๊ทน๋ณตํ•˜๊ธฐ ์œ„ํ•ด ๋‘ ๊ฐ€

Model
HalluGraph: Auditable Hallucination Detection for Legal RAG Systems via Knowledge Graph Alignment

HalluGraph: Auditable Hallucination Detection for Legal RAG Systems via Knowledge Graph Alignment

๋ณธ ๋…ผ๋ฌธ์€ ๋ฒ•๋ฅ  ๋ถ„์•ผ์—์„œ ์ธ๊ณต์ง€๋Šฅ ๊ธฐ๋ฐ˜ ์ž๋™ ๋ฌธ์„œ ์ƒ์„ฑ์ด ์ง๋ฉดํ•œ ๊ฐ€์žฅ ํ•ต์‹ฌ์ ์ธ ๋ฌธ์ œ์ธ โ€˜ํ™˜๊ฐ(hallucination)โ€™์„ ๊ทธ๋ž˜ํ”„ ์ด๋ก ์„ ํ™œ์šฉํ•ด ์ฒด๊ณ„์ ์œผ๋กœ ํ•ด๊ฒฐํ•˜๋ ค๋Š” ์‹œ๋„๋‹ค. ๊ธฐ์กด์˜ ํ™˜๊ฐ ํƒ์ง€ ๋ฐฉ๋ฒ•์€ ์ฃผ๋กœ ํ…์ŠคํŠธ ๊ฐ„ ์˜๋ฏธ ์œ ์‚ฌ๋„๋ฅผ ๊ณ„์‚ฐํ•˜๋Š” ๋ฐฉ์‹์— ์˜์กดํ•œ๋‹ค. ์ด๋Ÿฌํ•œ ์ ‘๊ทผ๋ฒ•์€ ๋ฌธ๋งฅ์ƒ ์œ ์‚ฌํ•ด ๋ณด์ด์ง€๋งŒ ์‹ค์ œ๋กœ๋Š” ์ค‘์š”ํ•œ ์—”ํ„ฐํ‹ฐ(์˜ˆ: ๋‹น์‚ฌ์ž๋ช…, ์‚ฌ๊ฑด ์ผ์ž, ์กฐํ•ญ ๋ฒˆํ˜ธ)๊ฐ€ ์ž˜๋ชป ๊ต์ฒด๋˜๊ฑฐ๋‚˜ ๋ˆ„๋ฝ๋˜๋Š” ๊ฒฝ์šฐ๋ฅผ ํฌ์ฐฉํ•˜์ง€ ๋ชปํ•œ๋‹ค. ๋ฒ•๋ฅ  ๋ฌธ์„œ๋Š” ์ž‘์€ ์—”ํ„ฐํ‹ฐ์˜ ๋ณ€ํ˜•๋งŒ์œผ๋กœ๋„ ํŒ๊ฒฐ ๊ฒฐ๊ณผ์— ํฐ ์˜ํ–ฅ์„ ๋ฏธ์น  ์ˆ˜ ์žˆ๊ธฐ ๋•Œ๋ฌธ์—, ๋ณด๋‹ค ์ •๋ฐ€ํ•˜๊ณ  ํ•ด์„ ๊ฐ€๋Šฅํ•œ ๊ฒ€์ฆ ๋ฉ”์ปค๋‹ˆ

Detection System
A Benchmark of Causal vs Correlation AI for Predictive Maintenance

A Benchmark of Causal vs Correlation AI for Predictive Maintenance

์˜ˆ์ธก ์œ ์ง€๋ณด์ˆ˜๋Š” ์„ค๋น„ ๊ณ ์žฅ์„ ์‚ฌ์ „์— ๊ฐ์ง€ํ•ด ์ƒ์‚ฐ ์ค‘๋‹จ์„ ๋ฐฉ์ง€ํ•˜๊ณ , ์œ ์ง€๋ณด์ˆ˜ ๋น„์šฉ์„ ์ตœ์†Œํ™”ํ•˜๋ ค๋Š” ํ•ต์‹ฌ ์ „๋žต์ด๋‹ค. ๊ทธ๋Ÿฌ๋‚˜ ์ œ์กฐ ํ˜„์žฅ์—์„œ๋Š” ๊ณ ์žฅ์„ ๋†“์น˜๋Š” ๋น„์šฉ์ด ์˜ค๊ฒฝ๋ณด(๋ถˆํ•„์š”ํ•œ ์ •๋น„) ๋น„์šฉ๋ณด๋‹ค ์ˆ˜์‹ญ ๋ฐฐ์—์„œ ์ˆ˜๋ฐฑ ๋ฐฐ๊นŒ์ง€ ํฌ๊ฒŒ ์ฐจ์ด ๋‚˜๋Š” โ€˜๋น„์šฉ ๋น„๋Œ€์นญโ€™ ํ˜„์ƒ์ด ์กด์žฌํ•œ๋‹ค. ์ด ๋น„๋Œ€์นญ์€ ๋‹จ์ˆœํžˆ ์ •ํ™•๋„(accuracy)๋‚˜ AUC์™€ ๊ฐ™์€ ํ†ต๊ณ„์  ์ง€ํ‘œ๋งŒ์œผ๋กœ๋Š” ๋ชจ๋ธ์˜ ์‹ค์ œ ๊ฐ€์น˜๋ฅผ ํ‰๊ฐ€ํ•˜๊ธฐ ์–ด๋ ต๊ฒŒ ๋งŒ๋“ ๋‹ค. ์˜ˆ๋ฅผ ๋“ค์–ด, ๊ณ ์žฅ ๋ฐœ์ƒ๋ฅ ์ด 3.3%์— ๋ถˆ๊ณผํ•œ ์ƒํ™ฉ์—์„œ 99% ์ •ํ™•๋„๋ฅผ ๋‹ฌ์„ฑํ•˜๋”๋ผ๋„ ์˜ค๊ฒฝ๋ณด๊ฐ€ ๊ณผ๋‹คํ•˜๋ฉด ์ „์ฒด ๋น„์šฉ์ด ๊ธ‰์ฆํ•œ๋‹ค. ๋”ฐ๋ผ์„œ ๋น„์šฉ ๊ธฐ๋ฐ˜ ๋ชฉํ‘œ ํ•จ

Teleportation-Based Defenses for Privacy in Approximate Machine Unlearning

Teleportation-Based Defenses for Privacy in Approximate Machine Unlearning

๊ธฐ๊ณ„ ํ•™์Šต ๋ชจ๋ธ์—์„œ ํŠน์ • ์ƒ˜ํ”Œ์„ โ€˜์‚ญ์ œโ€™ํ•˜๋Š” ์ž‘์—…์€ ์‹ค์ œ ์„œ๋น„์Šค ํ™˜๊ฒฝ์—์„œ ๊ฐœ์ธ์ •๋ณด ๋ณดํ˜ธ ๊ทœ์ •์„ ์ค€์ˆ˜ํ•˜๊ธฐ ์œ„ํ•ด ํ•„์ˆ˜์ ์ด๋‹ค. ์ „ํ†ต์ ์ธ ์™„์ „ ์žฌํ•™์Šต ๋ฐฉ์‹์€ ๋น„์šฉ์ด ๋งŽ์ด ๋“ค๊ณ  ์‹ค์‹œ๊ฐ„ ์„œ๋น„์Šค์— ์ ์šฉํ•˜๊ธฐ ์–ด๋ ต๋‹ค. ๋”ฐ๋ผ์„œ ์ตœ๊ทผ์—๋Š” ๊ทผ์‚ฌ ์‚ญ์ œ(approximate unlearning) ๊ธฐ๋ฒ•์ด ํ™œ๋ฐœํžˆ ์—ฐ๊ตฌ๋˜๊ณ  ์žˆ๋‹ค. ์ด๋“ค ๊ธฐ๋ฒ•์€ ์›๋ณธ ๋ชจ๋ธ ํŒŒ๋ผ๋ฏธํ„ฐ๋ฅผ ์•ฝ๊ฐ„๋งŒ ์กฐ์ •ํ•˜๊ฑฐ๋‚˜, ์†์‹ค ํ•จ์ˆ˜์— ์‚ญ์ œ ๋Œ€์ƒ ์ƒ˜ํ”Œ์„ ์ œ์™ธํ•œ ํ˜•ํƒœ๋กœ ์žฌํ•™์Šตํ•จ์œผ๋กœ์จ ๋น ๋ฅธ ์‚ญ์ œ๋ฅผ ๋ชฉํ‘œ๋กœ ํ•œ๋‹ค. ํ•˜์ง€๋งŒ ๋ณธ ๋…ผ๋ฌธ์ด ์ง€์ ํ•˜๋“ฏ, ๊ทผ์‚ฌ ์‚ญ์ œ๋Š” ๋‘ ๊ฐ€์ง€ ๊ตฌ์กฐ์  ํŠน์„ฑ ๋•Œ๋ฌธ์— ํ”„๋ผ์ด๋ฒ„์‹œ ์œ„ํ—˜์„ ๋‚ดํฌํ•œ๋‹ค

Learning
Prompted Policy Search: Reinforcement Learning through Linguistic and Numerical Reasoning in LLMs

Prompted Policy Search: Reinforcement Learning through Linguistic and Numerical Reasoning in LLMs

Prompted Policy Search(ProPS)๋Š” ๊ธฐ์กด ๊ฐ•ํ™”ํ•™์Šต ํŒจ๋Ÿฌ๋‹ค์ž„์— ๊ทผ๋ณธ์ ์ธ ๋ณ€ํ™”๋ฅผ ์‹œ๋„ํ•œ๋‹ค. ์ „ํ†ต์ ์ธ RL ์•Œ๊ณ ๋ฆฌ์ฆ˜์€ ์ฃผ๋กœ ํ™˜๊ฒฝ์œผ๋กœ๋ถ€ํ„ฐ ์–ป๋Š” ์Šค์นผ๋ผ ๋ณด์ƒ์— ๊ธฐ๋ฐ˜ํ•ด ์ •์ฑ…์„ ์—…๋ฐ์ดํŠธํ•œ๋‹ค. ์ด ์ ‘๊ทผ๋ฒ•์€ ์ˆ˜ํ•™์ ์œผ๋กœ๋Š” ๊น”๋”ํ•˜์ง€๋งŒ, ์‹ค์ œ ๋ฌธ์ œ์—์„œ๋Š” ๋ชฉํ‘œ ์„ค๋ช…, ์ œ์•ฝ ์กฐ๊ฑด, ์ธ๊ฐ„ ์ „๋ฌธ๊ฐ€์˜ ์กฐ์–ธ ๋“ฑ ํ…์ŠคํŠธ ํ˜•ํƒœ์˜ ํ’๋ถ€ํ•œ ๋ฉ”ํƒ€ ์ •๋ณด๋ฅผ ๋ฌด์‹œํ•œ๋‹ค๋Š” ํ•œ๊ณ„๊ฐ€ ์žˆ๋‹ค. ProPS๋Š” ์ด๋Ÿฌํ•œ ํ•œ๊ณ„๋ฅผ ๊ทน๋ณตํ•˜๊ธฐ ์œ„ํ•ด ๋Œ€ํ˜• ์–ธ์–ด ๋ชจ๋ธ(LLM)์„ ์ •์ฑ… ์ตœ์ ํ™”์˜ ํ•ต์‹ฌ ์—”์ง„์œผ๋กœ ํ™œ์šฉํ•œ๋‹ค. ๊ตฌ์ฒด์ ์œผ๋กœ, ์—์ด์ „ํŠธ๊ฐ€ ํ™˜๊ฒฝ์—์„œ ์–ป์€ ๋ณด์ƒ๊ณผ ํ•จ๊ป˜ โ€œ๋ชฉํ‘œ๋Š” โ€˜๊ณต์„ ์žก์•„

Learning
HVAdam: A Full-Dimension Adaptive Optimizer

HVAdam: A Full-Dimension Adaptive Optimizer

๋ณธ ์—ฐ๊ตฌ๋Š” ํ˜„์žฌ ๋”ฅ๋Ÿฌ๋‹ ์ปค๋ฎค๋‹ˆํ‹ฐ์—์„œ ๋„๋ฆฌ ์‚ฌ์šฉ๋˜๋Š” ์ ์‘ํ˜• ์˜ตํ‹ฐ๋งˆ์ด์ €์ธ AdamยทRMSProp์ด ๊ฐ–๋Š” ๊ทผ๋ณธ์ ์ธ ๊ตฌ์กฐ์  ํ•œ๊ณ„๋ฅผ ์ง€์ ํ•œ๋‹ค. ๊ธฐ์กด ์ ์‘ํ˜• ๋ฐฉ๋ฒ•์€ 1์ฐจ์›(๊ฐ ํŒŒ๋ผ๋ฏธํ„ฐ)๋ณ„๋กœ ์ˆœ๊ฐ„์ ์ธ 1์ฐจยท2์ฐจ ๋ชจ๋ฉ˜ํŠธ๋ฅผ ์ถ”์ •ํ•ด ํ•™์Šต๋ฅ ์„ ์กฐ์ •ํ•œ๋‹ค. ์ด๋Š” ๊ฐ ํŒŒ๋ผ๋ฏธํ„ฐ๊ฐ€ ๋…๋ฆฝ์ ์œผ๋กœ ์›€์ง์ธ๋‹ค๋Š” ์ „์ œ ํ•˜์— ์„ค๊ณ„๋œ ๊ฒƒ์ด๋ฉฐ, ์‹ค์ œ ๊ณ ์ฐจ์› ์†์‹ค ํ‘œ๋ฉด์—์„œ๋Š” ํŒŒ๋ผ๋ฏธํ„ฐ ๊ฐ„ ์ƒ๊ด€๊ด€๊ณ„๊ฐ€ ๋ณต์žกํ•˜๊ฒŒ ์–ฝํ˜€ ์žˆ๋‹ค. ์ด๋Ÿฌํ•œ ์ƒ๊ด€๊ด€๊ณ„๋ฅผ ๋ฌด์‹œํ•˜๋ฉด, ์˜ˆ๋ฅผ ๋“ค์–ด ์†์‹ค์ด ์ข์€ ๊ณจ์งœ๊ธฐ ํ˜•ํƒœ๋กœ ์—ฐ์†๋˜๋Š” ๊ฒฝ์šฐ ํ•œ ์ฐจ์›์—์„œ๋Š” ๊ธ‰๊ฒฉํžˆ ๊ฐ์†Œํ•˜์ง€๋งŒ ๋‹ค๋ฅธ ์ฐจ์›์—์„œ๋Š” ์™„๋งŒํžˆ ๋ณ€ํ•˜๋Š” ์ƒํ™ฉ์—์„œ, ๊ฐœ๋ณ„ ํ•™

MotionV2V: Editing Motion in a Video

MotionV2V: Editing Motion in a Video

๋ณธ ๋…ผ๋ฌธ์€ ์ตœ๊ทผ ๊ธ‰๊ฒฉํžˆ ๋ฐœ์ „ํ•˜๊ณ  ์žˆ๋Š” ํ…์ŠคํŠธโ€‘ํˆฌโ€‘๋น„๋””์˜คยท์ด๋ฏธ์ง€โ€‘ํˆฌโ€‘๋น„๋””์˜ค ์ƒ์„ฑ ๋ชจ๋ธ์˜ โ€˜์›€์ง์ž„ ์ œ์–ดโ€™ ๋ผ๋Š” ๋ถ€์ˆ˜์  ๊ธฐ๋Šฅ์„, โ€˜์ •๋ฐ€ ์›€์ง์ž„ ํŽธ์ง‘โ€™ ์ด๋ผ๋Š” ์ƒˆ๋กœ์šด ๊ด€์ ์œผ๋กœ ์ „ํ™˜ํ•œ๋‹ค๋Š” ์ ์—์„œ ํ•™์ˆ ์ ยท์‚ฐ์—…์  ์˜์˜๊ฐ€ ํฌ๋‹ค. ๊ธฐ์กด ์—ฐ๊ตฌ๋Š” ์ฃผ๋กœ ํ…์ŠคํŠธ ํ”„๋กฌํ”„ํŠธ์— ๋”ฐ๋ผ ์ „๋ฐ˜์ ์ธ ๋™์ž‘์„ ์ƒ์„ฑํ•˜๊ฑฐ๋‚˜, ์ด๋ฏธ์ง€์— ๋ถ€์ฐฉ๋œ ํฌ์ฆˆ๋ฅผ ์• ๋‹ˆ๋ฉ”์ด์…˜ํ™”ํ•˜๋Š” ๋ฐฉ์‹์— ๋จธ๋ฌผ๋ €๋‹ค. ๊ทธ๋Ÿฌ๋‚˜ ์‹ค์ œ ์˜์ƒ ํŽธ์ง‘ ํ˜„์žฅ์—์„œ๋Š” ํŠน์ • ๊ฐ์ฒด์˜ ๊ฒฝ๋กœ๋ฅผ ๋ฏธ์„ธํ•˜๊ฒŒ ์ˆ˜์ •ํ•˜๊ฑฐ๋‚˜, ํŠน์ • ๊ตฌ๊ฐ„์—์„œ๋งŒ ์›€์ง์ž„์„ ๋ฐ”๊พธ๊ณ  ์‹ถ์–ดํ•˜๋Š” ์š”๊ตฌ๊ฐ€ ๋นˆ๋ฒˆํžˆ ๋ฐœ์ƒํ•œ๋‹ค. ์ด๋Ÿฌํ•œ ์š”๊ตฌ๋ฅผ ์ถฉ์กฑ์‹œํ‚ค๊ธฐ ์œ„ํ•ด ์ €์ž๋“ค์€ ์ž…๋ ฅ ์˜์ƒ์œผ๋กœ๋ถ€

AttackPilot: Autonomous Inference Attacks Against ML Services With LLM-Based Agents

AttackPilot: Autonomous Inference Attacks Against ML Services With LLM-Based Agents

๋ณธ ์—ฐ๊ตฌ๋Š” ์ถ”๋ก  ๊ณต๊ฒฉ(inference attack)์ด๋ผ๋Š” ๊ธฐ์กด ๋ณด์•ˆ ํ‰๊ฐ€ ๊ธฐ๋ฒ•์— LLM ๊ธฐ๋ฐ˜ ์ž์œจ ์—์ด์ „ํŠธ๋ฅผ ๊ฒฐํ•ฉํ•จ์œผ๋กœ์จ, โ€œ์ „๋ฌธ๊ฐ€ ์ˆ˜์ค€์˜ ๊ณต๊ฒฉ ์ˆ˜ํ–‰์„ ๋น„์ „๋ฌธ๊ฐ€์—๊ฒŒ ์ œ๊ณตํ•œ๋‹คโ€๋Š” ํ˜์‹ ์ ์ธ ๋ชฉํ‘œ๋ฅผ ์„ค์ •ํ•œ๋‹ค. ๋จผ์ €, ๊ณต๊ฒฉ ์ˆ˜ํ–‰์— ํ•„์š”ํ•œ ๋‹จ๊ณ„โ€”๋ชฉํ‘œ ๋ชจ๋ธ ์‹๋ณ„, ๋ฐ์ดํ„ฐ ์ˆ˜์ง‘, ๊ณต๊ฒฉ ์ „๋žต ์„ ํƒ, ํŒŒ๋ผ๋ฏธํ„ฐ ํŠœ๋‹, ๊ฒฐ๊ณผ ํ•ด์„โ€”๋ฅผ ๋ช…์‹œ์ ์œผ๋กœ ํ–‰๋™(action)์œผ๋กœ ๋ถ„ํ•ดํ•˜๊ณ , ๊ฐ๊ฐ์„ LLM์ด ํ˜ธ์ถœํ•  ์ˆ˜ ์žˆ๋Š” API ํ˜•ํƒœ๋กœ ๊ตฌํ˜„ํ•˜์˜€๋‹ค. ์ด๋Ÿฌํ•œ ์ž‘์—…โ€‘ํŠนํ™” ํ–‰๋™ ๊ณต๊ฐ„์€ ์—์ด์ „ํŠธ๊ฐ€ ๋ถˆํ•„์š”ํ•œ ์ถ”๋ก ์„ ์ตœ์†Œํ™”ํ•˜๊ณ , ํ† ํฐ ๋น„์šฉ์„ ํฌ๊ฒŒ ์ ˆ๊ฐํ•˜๋„๋ก ์„ค๊ณ„๋˜์—ˆ๋‹ค๋Š” ์ ์ด

Trust-Based Social Learning for Communication (TSLEC) Protocol Evolution in Multi-Agent Reinforcement Learning

Trust-Based Social Learning for Communication (TSLEC) Protocol Evolution in Multi-Agent Reinforcement Learning

TSLEC ๋…ผ๋ฌธ์€ ๊ธฐ์กด์˜ ๋‹ค์ค‘ ์—์ด์ „ํŠธ ์ปค๋ฎค๋‹ˆ์ผ€์ด์…˜ ์—ฐ๊ตฌ์—์„œ ๊ฐ„๊ณผ๋˜๋˜ โ€˜์‚ฌํšŒ์  ์ „์ดโ€™๋ฅผ ์ฒด๊ณ„์ ์œผ๋กœ ๋ชจ๋ธ๋งํ•œ ์ ์ด ๊ฐ€์žฅ ํฐ ํ˜์‹ ์ด๋‹ค. ๊ธฐ์กด ์ ‘๊ทผ๋ฒ•์€ ๊ฐ ์—์ด์ „ํŠธ๊ฐ€ ํ™˜๊ฒฝ ๋ณด์ƒ๋งŒ์„ ์ด์šฉํ•ด ๋…๋ฆฝ์ ์œผ๋กœ ์–ธ์–ด๋ฅผ ํ˜•์„ฑํ•˜๋„๋ก ์„ค๊ณ„๋ผ, ์ดˆ๊ธฐ ํƒ์ƒ‰ ๋‹จ๊ณ„์—์„œ ๋ฌด์ˆ˜ํžˆ ๋งŽ์€ ๋น„ํšจ์œจ์ ์ธ ์‹ ํ˜ธ ์กฐํ•ฉ์ด ๋ฐœ์ƒํ•œ๋‹ค. ์ด๋Ÿฌํ•œ ๋น„ํšจ์œจ์„ฑ์€ ํ•™์Šต ๊ณก์„ ์ด ์™„๋งŒํ•˜๊ณ , ์ตœ์ข… ํ”„๋กœํ† ์ฝœ์ด ๋น„๊ตฌ์กฐ์ ์ด๋ฉฐ, ํ™˜๊ฒฝ ๋ณ€ํ™”์— ์ทจ์•ฝํ•œ ๋‹จ์ ์œผ๋กœ ์ด์–ด์ง„๋‹ค. TSLEC์€ ๋‘ ๊ฐ€์ง€ ํ•ต์‹ฌ ๋ฉ”์ปค๋‹ˆ์ฆ˜์„ ๋„์ž…ํ•œ๋‹ค. ์ฒซ์งธ, ๊ต์‚ฌโ€‘ํ•™์ƒ ๋ฉ”์ปค๋‹ˆ์ฆ˜ ์„ ํ†ตํ•ด ์—์ด์ „ํŠธ๊ฐ€ ์ž์‹ ์˜ ์„ฑ๊ณต์ ์ธ ํ–‰๋™โ€‘์‹ ํ˜ธ ๋งคํ•‘์„ ๋‹ค๋ฅธ ์—์ด์ „

Learning
MultiGA: Leveraging Multi-Source Seeding in Genetic Algorithms

MultiGA: Leveraging Multi-Source Seeding in Genetic Algorithms

๋ณธ ๋…ผ๋ฌธ์ด ์ œ์‹œํ•˜๋Š” MultiGA๋Š” ๊ธฐ์กด LLM ํ™œ์šฉ ๋ฐฉ์‹์— ์ค‘์š”ํ•œ ๋ณ€ํ™”๋ฅผ ๋„์ž…ํ•œ๋‹ค. ์ „ํ†ต์ ์œผ๋กœ ํ•˜๋‚˜์˜ ์‚ฌ์ „ ํ•™์Šต๋œ ๋ชจ๋ธ์„ ์„ ํƒํ•˜๊ณ , ํ•„์š”์— ๋”ฐ๋ผ ํŒŒ์ธํŠœ๋‹ํ•˜๊ฑฐ๋‚˜ ํ”„๋กฌํ”„ํŠธ ์—”์ง€๋‹ˆ์–ด๋ง์„ ์ ์šฉํ•ด ์„ฑ๋Šฅ์„ ๋Œ์–ด์˜ฌ๋ฆฌ๋Š” ๊ฒƒ์ด ์ผ๋ฐ˜์ ์ด์—ˆ๋‹ค. ๊ทธ๋Ÿฌ๋‚˜ ํŒŒ์ธํŠœ๋‹์€ ๋Œ€๊ทœ๋ชจ ๋ฐ์ดํ„ฐ์™€ ์—ฐ์‚ฐ ๋น„์šฉ์ด ์š”๊ตฌ๋˜๋ฉฐ, ํ”„๋กฌํ”„ํŠธ ์„ค๊ณ„๋Š” ์ „๋ฌธ๊ฐ€ ์ˆ˜์ค€์˜ ๋…ธํ•˜์šฐ๊ฐ€ ํ•„์š”ํ•˜๋‹ค. ์ด์— ๋น„ํ•ด MultiGA๋Š” โ€œ๋‹ค์ค‘ ์†Œ์Šค ์‹œ๋”ฉโ€์ด๋ผ๋Š” ์•„์ด๋””์–ด๋ฅผ ํ†ตํ•ด ์—ฌ๋Ÿฌ LLM์˜ ์ถœ๋ ฅ์„ ๋™์‹œ์— ํ™œ์šฉํ•œ๋‹ค๋Š” ์ ์—์„œ ํ˜์‹ ์ ์ด๋‹ค. ์ดˆ๊ธฐ ์ง‘๋‹จ์„ ๋‹ค์–‘ํ•œ ๋ชจ๋ธ์—์„œ ์ถ”์ถœํ•จ์œผ๋กœ์จ, ๊ฐ ๋ชจ๋ธ์ด ๊ฐ€์ง„ ๊ณ ์œ ํ•œ ๊ฐ•์ (์˜ˆ:

Quantum Private Information Retrieval with Sublinear Communication   Complexity

Quantum Private Information Retrieval with Sublinear Communication Complexity

๋ณธ ๋…ผ๋ฌธ์€ ์–‘์ž ๊ฐœ์ธ ์ •๋ณด ๊ฒ€์ƒ‰ ํ”„๋กœํ† ์ฝœ ์— ๋Œ€ํ•œ ์‹ฌ๋„ ์žˆ๋Š” ๋ถ„์„์„ ์ œ๊ณตํ•ฉ๋‹ˆ๋‹ค. ์ด๋Š” ์„œ๋ฒ„๋กœ๋ถ€ํ„ฐ ๋ฐ์ดํ„ฐ๋ฒ ์ด์Šค ํ•ญ๋ชฉ์„ ๋น„๊ณต๊ฐœ๋กœ ๊ฒ€์ƒ‰ํ•˜๋Š” ๋ฐฉ๋ฒ•์œผ๋กœ, Chor, Kushilevitz, Goldreich ๋ฐ Sudan์˜ ์—ฐ๊ตฌ์—์„œ ์‹œ์ž‘๋œ ๋ถ„์•ผ์ž…๋‹ˆ๋‹ค. ๋ณธ ๋…ผ๋ฌธ์€ ๊ณต๊ฐœ ๋ฐ์ดํ„ฐ๋ฒ ์ด์Šค๊ฐ€ ๋ณดํŽธํ™”๋จ์— ๋”ฐ๋ผ ๋”์šฑ ์ค‘์š”ํ•ด์ง„ ์ด ์ฃผ์ œ๋ฅผ ๋‹ค๋ฃน๋‹ˆ๋‹ค. 1. ๊ฐœ์ธ ์ •๋ณด ๊ฒ€์ƒ‰ ํ”„๋กœํ† ์ฝœ์˜ ๋ฐฐ๊ฒฝ ๋ณธ ๋…ผ๋ฌธ์€ Chor, Kushilevitz, Goldreich ๋ฐ Sudan์˜ ์—ฐ๊ตฌ์—์„œ ์‹œ์ž‘๋œ ๊ฐœ์ธ ์ •๋ณด ๊ฒ€์ƒ‰ ๋ถ„์•ผ๋ฅผ ์†Œ๊ฐœํ•ฉ๋‹ˆ๋‹ค. ์ด๋Š” ์„œ๋ฒ„๋กœ๋ถ€ํ„ฐ ๋ฐ์ดํ„ฐ๋ฒ ์ด์Šค ํ•ญ๋ชฉ์„ ๋น„๊ณต๊ฐœ๋กœ

Computational Complexity Quantum Physics Computer Science Cryptography and Security
Discovery of High-Energy and Very High-Energy Gamma-Ray Emission from   the Blazar RBS 0413

Discovery of High-Energy and Very High-Energy Gamma-Ray Emission from the Blazar RBS 0413

: ์ด ๋…ผ๋ฌธ์€ ๊ณ ์—๋„ˆ์ง€ ์ฒœ์ฒด๋ฌผ๋ฆฌํ•™์—์„œ ์ค‘์š”ํ•œ ๋ฐœ๊ฒฌ ์ค‘ ํ•˜๋‚˜์ธ RBS 0413์—์„œ์˜ ๊ฐ๋งˆ์„  ๋ฐฉ์ถœ์— ๋Œ€ํ•ด ์ž์„ธํžˆ ์„ค๋ช…ํ•˜๊ณ  ์žˆ์Šต๋‹ˆ๋‹ค. RBS 0413์€ BL ๋ผ์ผ€ํƒ€๋กœ ๋ถ„๋ฅ˜๋˜๋ฉฐ, ์ด๋Š” ํ™œ๋™ ์€ํ•˜ํ•ต(AGN) ์ค‘ ํ•˜๋‚˜๋กœ ๊ด€์ฐฐ์ž์˜ ์ถ• ๋ฐฉํ–ฅ์— ๋Œ€ํ•ด ์ž‘์€ ๊ฐ๋„๋กœ ์ œํŠธ ์ถ•์ด ๊ธฐ์šธ์–ด์ ธ ์žˆ๋Š” ์ฒœ์ฒด์ž…๋‹ˆ๋‹ค. ์ด๋Ÿฌํ•œ ํŠน์„ฑ ๋•Œ๋ฌธ์— RBS 0413์€ ๋ธ”์ž๋ฅด๋กœ ๋ถ„๋ฅ˜๋˜๋ฉฐ, ์ด๋Š” ๊ณ ์—๋„ˆ์ง€ ๊ฐ๋งˆ์„  ๋ฐฉ์ถœ์„ ํฌํ•จํ•œ ๋‹ค์–‘ํ•œ ์—๋„ˆ์ง€ ๋ฒ”์œ„์—์„œ์˜ ๋ณต์žกํ•œ ์ŠคํŽ™ํŠธ๋Ÿผ์„ ๋ณด์—ฌ์ค๋‹ˆ๋‹ค. ๋…ผ๋ฌธ์—์„œ๋Š” VERITAS์™€ Fermi LAT ๋‘ ๊ฐ€์ง€ ๊ด€์ธก ์žฅ๋น„๋ฅผ ์‚ฌ์šฉํ•˜์—ฌ RBS 0413์˜ ์—๋„ˆ์ง€ ๋ถ„ํฌ

Astrophysics
Discovery of very-high-energy gamma-ray emission from the vicinity of   PSR J1831-952 with H.E.S.S

Discovery of very-high-energy gamma-ray emission from the vicinity of PSR J1831-952 with H.E.S.S

: 1. ์—ฐ๊ตฌ ๋ฐฐ๊ฒฝ ๋ฐ ๋ชฉ์  H.E.S.S. (High Energy Stereoscopic System)์€ ๋งค์šฐ ๋†’์€ ์—๋„ˆ์ง€(VHE) ๊ฐ๋งˆ์„  ๋ฐฉ์ถœ์›์„ ํƒ์ƒ‰ํ•˜๋Š” ๋ฐ ์ค‘์š”ํ•œ ์—ญํ• ์„ ํ•˜๋Š” ์ฒจ๋‹จ ๋ง์›๊ฒฝ ๋ฐฐ์—ด์ž…๋‹ˆ๋‹ค. ์ด ์‹œ์Šคํ…œ์€ ์€ํ•˜๊ณ„ ํ‰๋ฉด ์กฐ์‚ฌ๋ฅผ ํ†ตํ•ด 60๊ฐœ ์ด์ƒ์˜ ๊ณ ์—๋„ˆ์ง€ ๊ฐ๋งˆ์„  ์›์ฒœ์„ ๋ฐœ๊ฒฌํ•ด ์™”์Šต๋‹ˆ๋‹ค. ํŠนํžˆ, GPS ํ•ต์‹ฌ ์ง€์—ญ์—์„œ Crab ๋„ค๋ถ€๋ณด๋‹ค 2% ์ด์ƒ ๋†’์€ ๊ฐ๋„์„ฑ์„ ๋‹ฌ์„ฑํ•œ ๊ฒƒ์€ H.E.S.S.์˜ ์„ฑ๋Šฅ์„ ์ž…์ฆํ•˜๋Š” ์ค‘์š”ํ•œ ๊ฒฐ๊ณผ์ž…๋‹ˆ๋‹ค. 2. ๋ฐ์ดํ„ฐ ์ˆ˜์ง‘ ๋ฐ ๋ถ„์„ ๋ฐฉ๋ฒ• HESS J1831 098์— ๋Œ€ํ•œ ๋ฐ์ดํ„ฐ๋Š” ๋‹ค์–‘ํ•œ ์‹œ๊ฐ„๋Œ€์— ์ˆ˜์ง‘๋˜์—ˆ

Astrophysics
Observations of the Crab pulsar with the MAGIC telescopes

Observations of the Crab pulsar with the MAGIC telescopes

: ๊ฒŒ์ผ๋ก  ํŽ„์‚ฌ์˜ ์—๋„ˆ์ง€ ์ŠคํŽ™ํŠธ๋Ÿผ ๋ถ„์„์€ ์ฒœ๋ฌธํ•™์—์„œ ์ค‘์š”ํ•œ ์ด์Šˆ ์ค‘ ํ•˜๋‚˜์ž…๋‹ˆ๋‹ค. ํŠนํžˆ, ๊ณ ์—๋„ˆ์ง€ ๊ฐ๋งˆ์„  ์˜์—ญ์—์„œ์˜ ๊ด€์ธก์€ ํŽ„์‚ฌ ๋ฐฉ์ถœ ๋ฉ”์ปค๋‹ˆ์ฆ˜์„ ์ดํ•ดํ•˜๋Š” ๋ฐ ๊ฒฐ์ •์ ์ธ ์—ญํ• ์„ ํ•ฉ๋‹ˆ๋‹ค. ๋ณธ ์—ฐ๊ตฌ์—์„œ๋Š” MAGIC ๋ง์›๊ฒฝ๊ณผ Fermi LAT ์œ„์„ฑ ๊ธฐ๋ฐ˜ ๊ฐ์ง€๊ธฐ๋ฅผ ์ด์šฉํ•ด ๊ฒŒ์ผ๋ก  ํŽ„์‚ฌ์˜ ์—๋„ˆ์ง€ ์ŠคํŽ™ํŠธ๋Ÿผ์„ ๋ถ„์„ํ•˜๊ณ , ์ด๋ฅผ ํ†ตํ•ด ๋‹ค์–‘ํ•œ ํŽ„์‚ฌ ๋ฐฉ์ถœ ๋ชจ๋ธ์„ ๊ฒ€์ฆํ–ˆ์Šต๋‹ˆ๋‹ค. ๊ฒŒ์ผ๋ก  ํŽ„์‚ฌ๋Š” 1054๋…„ A.D.์— ๋ฐœ์ƒํ•œ ์ดˆ์‹ ์„ฑ ํญ๋ฐœ ์ดํ›„ ๋‚จ์•„์žˆ๋Š” ์ฒœ์ฒด๋กœ, ์ค‘์‹ฌ์—๋Š” B0531+21์ด๋ผ๋Š” ๊ฐ•๋ ฅํ•œ ํŽ„์‚ฌ๊ฐ€ ์œ„์น˜ํ•˜๊ณ  ์žˆ์Šต๋‹ˆ๋‹ค. ์ด ํŽ„์‚ฌ๋Š” ๋ผ๋””์˜คํŒŒ๋ถ€ํ„ฐ ๊ณ ์—๋„ˆ์ง€ ๊ฐ๋งˆ์„ ๊นŒ์ง€

Astrophysics

< Category Statistics (Total: 626) >

Electrical Engineering and Systems Science
7
General
192
General Relativity
7
HEP-EX
5
HEP-PH
11
HEP-TH
5
MATH-PH
3
NUCL-TH
1
Quantum Physics
9

Start searching

Enter keywords to search articles

โ†‘โ†“
โ†ต
ESC
โŒ˜K Shortcut